老年艾滋病毒感染者的艾滋病毒传播途径与认知能力之间是否存在关系?

IF 3.2 3区 医学 Q2 PUBLIC, ENVIRONMENTAL & OCCUPATIONAL HEALTH
Francesco Salis, Maristella Belfiori, Francesco Ortu, Paola Piano, Stefano Del Giacco, Antonella Mandas
{"title":"老年艾滋病毒感染者的艾滋病毒传播途径与认知能力之间是否存在关系?","authors":"Francesco Salis, Maristella Belfiori, Francesco Ortu, Paola Piano, Stefano Del Giacco, Antonella Mandas","doi":"10.1186/s13690-025-01657-6","DOIUrl":null,"url":null,"abstract":"<p><strong>Background: </strong>- HIV-related neurocognitive disorders are a growing public health issue, especially in older people living with HIV/AIDS (PLWHA). The aim of this study is to evaluate the relationship between cognitive performance and route of HIV transmission in an older group of PLWHA.</p><p><strong>Methods: </strong>- In this cross-sectional study, conducted between November 2022 and July 2023, we enrolled PLWHA aged 50 years or older, treated with highly active anti-retroviral therapy, and with a low/undetectable viral load. Cognitive assessment was performed with HIV Dementia Scale.</p><p><strong>Results: </strong>In total, 268 subjects were enrolled. Cognitive impairment was present in 20.9% of the participants. According to a logistic model, people who contracted HIV through sexual transmission had 74% lower odds of cognitive impairment compared to those who contracted HIV through intravenous substance use (OR: 0.26, 95%CI 0.12-0.56). The adjustment for confounders confirmed lower odds for sexual transmission (OR: 0.27, 95%CI 0.12-0.60).</p><p><strong>Conclusions: </strong>The route of HIV transmission is potentially associated with cognitive impairment in PLWHA, with patients infected via intravenous substance use being at higher risk.</p>","PeriodicalId":48578,"journal":{"name":"Archives of Public Health","volume":"83 1","pages":"161"},"PeriodicalIF":3.2000,"publicationDate":"2025-06-19","publicationTypes":"Journal Article","fieldsOfStudy":null,"isOpenAccess":false,"openAccessPdf":"https://www.ncbi.nlm.nih.gov/pmc/articles/PMC12178064/pdf/","citationCount":"0","resultStr":"{\"title\":\"Is there a relationship between the route of HIV transmission and cognitive performance in older individuals living with HIV?\",\"authors\":\"Francesco Salis, Maristella Belfiori, Francesco Ortu, Paola Piano, Stefano Del Giacco, Antonella Mandas\",\"doi\":\"10.1186/s13690-025-01657-6\",\"DOIUrl\":null,\"url\":null,\"abstract\":\"<p><strong>Background: </strong>- HIV-related neurocognitive disorders are a growing public health issue, especially in older people living with HIV/AIDS (PLWHA). The aim of this study is to evaluate the relationship between cognitive performance and route of HIV transmission in an older group of PLWHA.</p><p><strong>Methods: </strong>- In this cross-sectional study, conducted between November 2022 and July 2023, we enrolled PLWHA aged 50 years or older, treated with highly active anti-retroviral therapy, and with a low/undetectable viral load. Cognitive assessment was performed with HIV Dementia Scale.</p><p><strong>Results: </strong>In total, 268 subjects were enrolled. Cognitive impairment was present in 20.9% of the participants. According to a logistic model, people who contracted HIV through sexual transmission had 74% lower odds of cognitive impairment compared to those who contracted HIV through intravenous substance use (OR: 0.26, 95%CI 0.12-0.56). The adjustment for confounders confirmed lower odds for sexual transmission (OR: 0.27, 95%CI 0.12-0.60).</p><p><strong>Conclusions: </strong>The route of HIV transmission is potentially associated with cognitive impairment in PLWHA, with patients infected via intravenous substance use being at higher risk.</p>\",\"PeriodicalId\":48578,\"journal\":{\"name\":\"Archives of Public Health\",\"volume\":\"83 1\",\"pages\":\"161\"},\"PeriodicalIF\":3.2000,\"publicationDate\":\"2025-06-19\",\"publicationTypes\":\"Journal Article\",\"fieldsOfStudy\":null,\"isOpenAccess\":false,\"openAccessPdf\":\"https://www.ncbi.nlm.nih.gov/pmc/articles/PMC12178064/pdf/\",\"citationCount\":\"0\",\"resultStr\":null,\"platform\":\"Semanticscholar\",\"paperid\":null,\"PeriodicalName\":\"Archives of Public Health\",\"FirstCategoryId\":\"3\",\"ListUrlMain\":\"https://doi.org/10.1186/s13690-025-01657-6\",\"RegionNum\":3,\"RegionCategory\":\"医学\",\"ArticlePicture\":[],\"TitleCN\":null,\"AbstractTextCN\":null,\"PMCID\":null,\"EPubDate\":\"\",\"PubModel\":\"\",\"JCR\":\"Q2\",\"JCRName\":\"PUBLIC, ENVIRONMENTAL & OCCUPATIONAL HEALTH\",\"Score\":null,\"Total\":0}","platform":"Semanticscholar","paperid":null,"PeriodicalName":"Archives of Public Health","FirstCategoryId":"3","ListUrlMain":"https://doi.org/10.1186/s13690-025-01657-6","RegionNum":3,"RegionCategory":"医学","ArticlePicture":[],"TitleCN":null,"AbstractTextCN":null,"PMCID":null,"EPubDate":"","PubModel":"","JCR":"Q2","JCRName":"PUBLIC, ENVIRONMENTAL & OCCUPATIONAL HEALTH","Score":null,"Total":0}
引用次数: 0

摘要

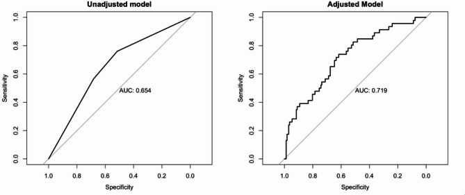
背景:-艾滋病毒相关的神经认知障碍是一个日益严重的公共卫生问题,特别是在老年艾滋病毒/艾滋病患者(PLWHA)中。本研究的目的是评估老年艾滋病感染者的认知能力与艾滋病毒传播途径之间的关系。方法:在2022年11月至2023年7月期间进行的这项横断面研究中,我们招募了50岁或以上的感染者,接受高活性抗逆转录病毒治疗,病毒载量低/无法检测。认知能力评估采用HIV痴呆量表。结果:共纳入268名受试者。20.9%的参与者存在认知障碍。根据逻辑模型,通过性传播感染艾滋病毒的人与通过静脉注射药物感染艾滋病毒的人相比,认知障碍的几率低74% (OR: 0.26, 95%CI 0.12-0.56)。校正混杂因素证实性传播的几率较低(OR: 0.27, 95%CI 0.12-0.60)。结论:艾滋病毒的传播途径可能与艾滋病患者的认知障碍有关,通过静脉注射药物感染的患者风险更高。
本文章由计算机程序翻译,如有差异,请以英文原文为准。

Is there a relationship between the route of HIV transmission and cognitive performance in older individuals living with HIV?

Is there a relationship between the route of HIV transmission and cognitive performance in older individuals living with HIV?

Background: - HIV-related neurocognitive disorders are a growing public health issue, especially in older people living with HIV/AIDS (PLWHA). The aim of this study is to evaluate the relationship between cognitive performance and route of HIV transmission in an older group of PLWHA.

Methods: - In this cross-sectional study, conducted between November 2022 and July 2023, we enrolled PLWHA aged 50 years or older, treated with highly active anti-retroviral therapy, and with a low/undetectable viral load. Cognitive assessment was performed with HIV Dementia Scale.

Results: In total, 268 subjects were enrolled. Cognitive impairment was present in 20.9% of the participants. According to a logistic model, people who contracted HIV through sexual transmission had 74% lower odds of cognitive impairment compared to those who contracted HIV through intravenous substance use (OR: 0.26, 95%CI 0.12-0.56). The adjustment for confounders confirmed lower odds for sexual transmission (OR: 0.27, 95%CI 0.12-0.60).

Conclusions: The route of HIV transmission is potentially associated with cognitive impairment in PLWHA, with patients infected via intravenous substance use being at higher risk.

求助全文
通过发布文献求助,成功后即可免费获取论文全文。 去求助
来源期刊
Archives of Public Health
Archives of Public Health Medicine-Public Health, Environmental and Occupational Health
CiteScore
4.80
自引率
3.00%
发文量
244
审稿时长
16 weeks
期刊介绍: rchives of Public Health is a broad scope public health journal, dedicated to publishing all sound science in the field of public health. The journal aims to better the understanding of the health of populations. The journal contributes to public health knowledge, enhances the interaction between research, policy and practice and stimulates public health monitoring and indicator development. The journal considers submissions on health outcomes and their determinants, with clear statements about the public health and policy implications. Archives of Public Health welcomes methodological papers (e.g., on study design and bias), papers on health services research, health economics, community interventions, and epidemiological studies dealing with international comparisons, the determinants of inequality in health, and the environmental, behavioural, social, demographic and occupational correlates of health and diseases.
×
引用
GB/T 7714-2015
复制
MLA
复制
APA
复制
导出至
BibTeX EndNote RefMan NoteFirst NoteExpress
×
提示
您的信息不完整,为了账户安全,请先补充。
现在去补充
×
提示
您因"违规操作"
具体请查看互助需知
我知道了
×
提示
确定
请完成安全验证×
copy
已复制链接
快去分享给好友吧!
我知道了
右上角分享
点击右上角分享
0
联系我们:info@booksci.cn Book学术提供免费学术资源搜索服务,方便国内外学者检索中英文文献。致力于提供最便捷和优质的服务体验。 Copyright © 2023 布克学术 All rights reserved.
京ICP备2023020795号-1
ghs 京公网安备 11010802042870号
Book学术文献互助
Book学术文献互助群
群 号:604180095
Book学术官方微信