2012-2019年至2020-2021年期间中国流感相关超额死亡率的变化:一项基于人群的统计模型研究

IF 5.5 1区 医学
Xiaowei Deng, Jiangmei Liu, Minghan Wang, Nana Chen, Feiran Hao, Juan Yang, Maigeng Zhou, Hongjie Yu
{"title":"2012-2019年至2020-2021年期间中国流感相关超额死亡率的变化:一项基于人群的统计模型研究","authors":"Xiaowei Deng, Jiangmei Liu, Minghan Wang, Nana Chen, Feiran Hao, Juan Yang, Maigeng Zhou, Hongjie Yu","doi":"10.1186/s40249-025-01323-7","DOIUrl":null,"url":null,"abstract":"<p><strong>Background: </strong>The seasonal cycle of the influenza virus causes substantial morbidity and mortality globally. The impact of severe acute respiratory syndrome coronavirus 2 (SARS-CoV-2) on the circulation of influenza viruses can influence influenza-associated excess mortality. Given the few studies that have explored this topic, the objective of this study was to evaluate influenza-associated excess mortality in the Chinese mainland from 2012 to 2021 and quantify the changes from 2020 to 2021 compared with 2012-2019.</p><p><strong>Methods: </strong>Using data from national influenza surveillance report and disease surveillance points, we fitted a generalized additive model on all-cause (AC), pneumonia & influenza (P&I), and respiratory (R) mortality rates. In this model, we included data of influenza activity (A/H1N1, A/H3N2 and B), temperature, absolute humidity, the COVID-19 pandemic, and time trends. The excess mortality was estimated by subtracting the fitted baseline mortality from the predicted mortality, which set influenza activity to zero.</p><p><strong>Results: </strong>The respiratory mortality model explained more than 90% of the variance, indicating the good performance. We found that the influenza-associated mortality was generally decreasing from 2020 to 2021, for instance, influenza A/H1N1-associated excess respiratory mortality (ERM) decreased from 2.62 per 100,000 persons (95% confidence interval: 0.16-5.21) to 0.31 (0.02-0.60) in the northern region and from 3.79 (0.09-7.05) to 0.24 (0.02-0.46) in the southern region between 2012-2019 and 2020-2021. A similar pattern was observed for A/H3N2-associated ERM. While the influenza B remained similar scale, for instance, the ERM was 2.90 (0.72-4.3) and 2.26 (1.76-2.76) in the southern region between 2012-2019 and 2020-2021, respectively. Distinct pattern was observed for the AC and P&I outcomes.</p><p><strong>Conclusions: </strong>The COVID-19 pandemic has reduced influenza-associated excess mortality, which may be a result of the reduced activity of the influenza virus caused by nonpharmaceutical interventions. Different patterns of regional differences differed for influenza-associated AC, P&I and R mortality. It should be noticed that the contribution of influenza B was generally similar when comparing 2012-2019 and 2020-2021, which highlighted the attention on the influenza B activity. Additional studies are needed to explore the changes in influenza-associated excess mortality afterwards.</p>","PeriodicalId":48820,"journal":{"name":"Infectious Diseases of Poverty","volume":"14 1","pages":"52"},"PeriodicalIF":5.5000,"publicationDate":"2025-06-20","publicationTypes":"Journal Article","fieldsOfStudy":null,"isOpenAccess":false,"openAccessPdf":"https://www.ncbi.nlm.nih.gov/pmc/articles/PMC12180205/pdf/","citationCount":"0","resultStr":"{\"title\":\"Changes in influenza-associated excess mortality in China between 2012-2019 and 2020-2021: a population-based statistical modelling study.\",\"authors\":\"Xiaowei Deng, Jiangmei Liu, Minghan Wang, Nana Chen, Feiran Hao, Juan Yang, Maigeng Zhou, Hongjie Yu\",\"doi\":\"10.1186/s40249-025-01323-7\",\"DOIUrl\":null,\"url\":null,\"abstract\":\"<p><strong>Background: </strong>The seasonal cycle of the influenza virus causes substantial morbidity and mortality globally. The impact of severe acute respiratory syndrome coronavirus 2 (SARS-CoV-2) on the circulation of influenza viruses can influence influenza-associated excess mortality. Given the few studies that have explored this topic, the objective of this study was to evaluate influenza-associated excess mortality in the Chinese mainland from 2012 to 2021 and quantify the changes from 2020 to 2021 compared with 2012-2019.</p><p><strong>Methods: </strong>Using data from national influenza surveillance report and disease surveillance points, we fitted a generalized additive model on all-cause (AC), pneumonia & influenza (P&I), and respiratory (R) mortality rates. In this model, we included data of influenza activity (A/H1N1, A/H3N2 and B), temperature, absolute humidity, the COVID-19 pandemic, and time trends. The excess mortality was estimated by subtracting the fitted baseline mortality from the predicted mortality, which set influenza activity to zero.</p><p><strong>Results: </strong>The respiratory mortality model explained more than 90% of the variance, indicating the good performance. We found that the influenza-associated mortality was generally decreasing from 2020 to 2021, for instance, influenza A/H1N1-associated excess respiratory mortality (ERM) decreased from 2.62 per 100,000 persons (95% confidence interval: 0.16-5.21) to 0.31 (0.02-0.60) in the northern region and from 3.79 (0.09-7.05) to 0.24 (0.02-0.46) in the southern region between 2012-2019 and 2020-2021. A similar pattern was observed for A/H3N2-associated ERM. While the influenza B remained similar scale, for instance, the ERM was 2.90 (0.72-4.3) and 2.26 (1.76-2.76) in the southern region between 2012-2019 and 2020-2021, respectively. Distinct pattern was observed for the AC and P&I outcomes.</p><p><strong>Conclusions: </strong>The COVID-19 pandemic has reduced influenza-associated excess mortality, which may be a result of the reduced activity of the influenza virus caused by nonpharmaceutical interventions. Different patterns of regional differences differed for influenza-associated AC, P&I and R mortality. It should be noticed that the contribution of influenza B was generally similar when comparing 2012-2019 and 2020-2021, which highlighted the attention on the influenza B activity. Additional studies are needed to explore the changes in influenza-associated excess mortality afterwards.</p>\",\"PeriodicalId\":48820,\"journal\":{\"name\":\"Infectious Diseases of Poverty\",\"volume\":\"14 1\",\"pages\":\"52\"},\"PeriodicalIF\":5.5000,\"publicationDate\":\"2025-06-20\",\"publicationTypes\":\"Journal Article\",\"fieldsOfStudy\":null,\"isOpenAccess\":false,\"openAccessPdf\":\"https://www.ncbi.nlm.nih.gov/pmc/articles/PMC12180205/pdf/\",\"citationCount\":\"0\",\"resultStr\":null,\"platform\":\"Semanticscholar\",\"paperid\":null,\"PeriodicalName\":\"Infectious Diseases of Poverty\",\"FirstCategoryId\":\"3\",\"ListUrlMain\":\"https://doi.org/10.1186/s40249-025-01323-7\",\"RegionNum\":1,\"RegionCategory\":\"医学\",\"ArticlePicture\":[],\"TitleCN\":null,\"AbstractTextCN\":null,\"PMCID\":null,\"EPubDate\":\"\",\"PubModel\":\"\",\"JCR\":\"\",\"JCRName\":\"\",\"Score\":null,\"Total\":0}","platform":"Semanticscholar","paperid":null,"PeriodicalName":"Infectious Diseases of Poverty","FirstCategoryId":"3","ListUrlMain":"https://doi.org/10.1186/s40249-025-01323-7","RegionNum":1,"RegionCategory":"医学","ArticlePicture":[],"TitleCN":null,"AbstractTextCN":null,"PMCID":null,"EPubDate":"","PubModel":"","JCR":"","JCRName":"","Score":null,"Total":0}
引用次数: 0

摘要

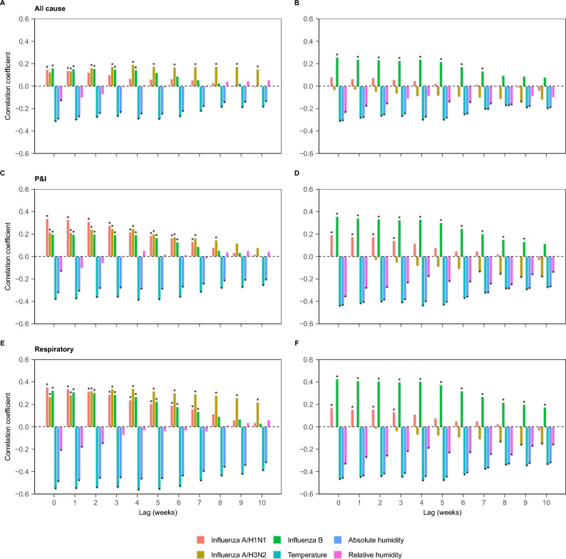
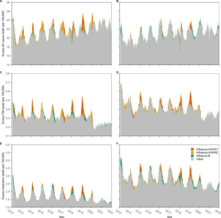
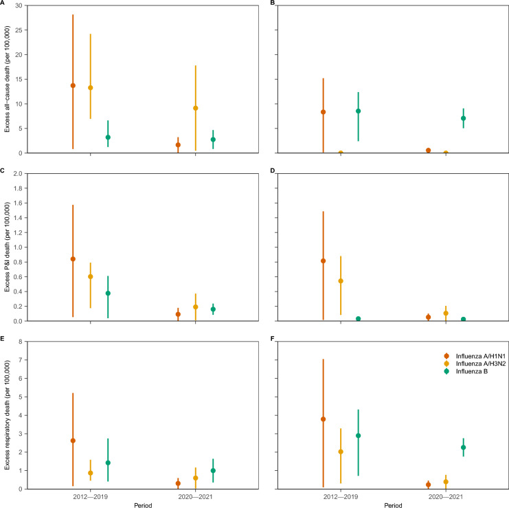
背景:流感病毒的季节性周期在全球范围内导致大量发病率和死亡率。严重急性呼吸综合征冠状病毒2 (SARS-CoV-2)对流感病毒传播的影响可影响流感相关的超额死亡率。鉴于很少有研究探讨这一主题,本研究的目的是评估2012年至2021年中国大陆流感相关的超额死亡率,并量化2020年至2021年与2012年至2019年相比的变化。方法:利用国家流感监测报告和疾病监测点的数据,拟合全因(AC)、肺炎和流感(P&I)和呼吸道(R)死亡率的广义加性模型。在该模型中,我们纳入了流感活动性(A/H1N1、A/H3N2和B)、温度、绝对湿度、COVID-19大流行和时间趋势的数据。通过从预测死亡率中减去拟合的基线死亡率来估计超额死亡率,从而将流感活动设定为零。结果:呼吸死亡率模型解释了90%以上的方差,表明该模型具有良好的性能。研究发现,2020-2021年流感相关死亡率总体呈下降趋势,例如,2012-2019年和2020-2021年期间,北部地区甲型h1n1流感相关超额呼吸道死亡率(ERM)从2.62 / 10万人(95%可信区间:0.16-5.21)下降到0.31(0.02-0.60),南部地区从3.79(0.09-7.05)下降到0.24(0.02-0.46)。在A/ h3n2相关的ERM中也观察到类似的模式。以乙型流感为例,2012-2019年和2020-2021年期间,南部地区的ERM分别为2.90(0.72-4.3)和2.26(1.76-2.76)。在AC和P&I结果中观察到不同的模式。结论:2019冠状病毒病大流行降低了流感相关的超额死亡率,这可能是由于非药物干预措施导致流感病毒活性降低。与流感相关的AC、P&I和R死亡率存在不同的区域差异模式。值得注意的是,2012-2019年与2020-2021年相比,乙型流感的贡献大致相似,这凸显了对乙型流感活动的关注。需要进一步的研究来探索流感相关的超额死亡率的变化。
本文章由计算机程序翻译,如有差异,请以英文原文为准。

Changes in influenza-associated excess mortality in China between 2012-2019 and 2020-2021: a population-based statistical modelling study.

Changes in influenza-associated excess mortality in China between 2012-2019 and 2020-2021: a population-based statistical modelling study.

Changes in influenza-associated excess mortality in China between 2012-2019 and 2020-2021: a population-based statistical modelling study.

Changes in influenza-associated excess mortality in China between 2012-2019 and 2020-2021: a population-based statistical modelling study.

Background: The seasonal cycle of the influenza virus causes substantial morbidity and mortality globally. The impact of severe acute respiratory syndrome coronavirus 2 (SARS-CoV-2) on the circulation of influenza viruses can influence influenza-associated excess mortality. Given the few studies that have explored this topic, the objective of this study was to evaluate influenza-associated excess mortality in the Chinese mainland from 2012 to 2021 and quantify the changes from 2020 to 2021 compared with 2012-2019.

Methods: Using data from national influenza surveillance report and disease surveillance points, we fitted a generalized additive model on all-cause (AC), pneumonia & influenza (P&I), and respiratory (R) mortality rates. In this model, we included data of influenza activity (A/H1N1, A/H3N2 and B), temperature, absolute humidity, the COVID-19 pandemic, and time trends. The excess mortality was estimated by subtracting the fitted baseline mortality from the predicted mortality, which set influenza activity to zero.

Results: The respiratory mortality model explained more than 90% of the variance, indicating the good performance. We found that the influenza-associated mortality was generally decreasing from 2020 to 2021, for instance, influenza A/H1N1-associated excess respiratory mortality (ERM) decreased from 2.62 per 100,000 persons (95% confidence interval: 0.16-5.21) to 0.31 (0.02-0.60) in the northern region and from 3.79 (0.09-7.05) to 0.24 (0.02-0.46) in the southern region between 2012-2019 and 2020-2021. A similar pattern was observed for A/H3N2-associated ERM. While the influenza B remained similar scale, for instance, the ERM was 2.90 (0.72-4.3) and 2.26 (1.76-2.76) in the southern region between 2012-2019 and 2020-2021, respectively. Distinct pattern was observed for the AC and P&I outcomes.

Conclusions: The COVID-19 pandemic has reduced influenza-associated excess mortality, which may be a result of the reduced activity of the influenza virus caused by nonpharmaceutical interventions. Different patterns of regional differences differed for influenza-associated AC, P&I and R mortality. It should be noticed that the contribution of influenza B was generally similar when comparing 2012-2019 and 2020-2021, which highlighted the attention on the influenza B activity. Additional studies are needed to explore the changes in influenza-associated excess mortality afterwards.

求助全文
通过发布文献求助,成功后即可免费获取论文全文。 去求助
来源期刊
Infectious Diseases of Poverty
Infectious Diseases of Poverty INFECTIOUS DISEASES-
自引率
1.20%
发文量
368
期刊介绍: Infectious Diseases of Poverty is an open access, peer-reviewed journal that focuses on addressing essential public health questions related to infectious diseases of poverty. The journal covers a wide range of topics including the biology of pathogens and vectors, diagnosis and detection, treatment and case management, epidemiology and modeling, zoonotic hosts and animal reservoirs, control strategies and implementation, new technologies and application. It also considers the transdisciplinary or multisectoral effects on health systems, ecohealth, environmental management, and innovative technology. The journal aims to identify and assess research and information gaps that hinder progress towards new interventions for public health problems in the developing world. Additionally, it provides a platform for discussing these issues to advance research and evidence building for improved public health interventions in poor settings.
×
引用
GB/T 7714-2015
复制
MLA
复制
APA
复制
导出至
BibTeX EndNote RefMan NoteFirst NoteExpress
×
提示
您的信息不完整,为了账户安全,请先补充。
现在去补充
×
提示
您因"违规操作"
具体请查看互助需知
我知道了
×
提示
确定
请完成安全验证×
copy
已复制链接
快去分享给好友吧!
我知道了
右上角分享
点击右上角分享
0
联系我们:info@booksci.cn Book学术提供免费学术资源搜索服务,方便国内外学者检索中英文文献。致力于提供最便捷和优质的服务体验。 Copyright © 2023 布克学术 All rights reserved.
京ICP备2023020795号-1
ghs 京公网安备 11010802042870号
Book学术文献互助
Book学术文献互助群
群 号:604180095
Book学术官方微信