一项随机、双盲、安慰剂对照的1期研究,旨在研究健康志愿者口服速释氯胺酮胶囊的安全性、耐受性、药代动力学和药效学。

IF 5.5 3区 医学 Q1 CLINICAL NEUROLOGY
Journal of Psychopharmacology Pub Date : 2025-06-01 Epub Date: 2025-06-20 DOI:10.1177/02698811251340925
Mutahira Qureshi, Daniel Silman, Romayne Gadelrab, Hans-Christian Stein, Pietro Carmellini, Graeme Duncan, Mitul A Mehta, Allan H Young, Carmel Reilly, Mario F Juruena
{"title":"一项随机、双盲、安慰剂对照的1期研究,旨在研究健康志愿者口服速释氯胺酮胶囊的安全性、耐受性、药代动力学和药效学。","authors":"Mutahira Qureshi, Daniel Silman, Romayne Gadelrab, Hans-Christian Stein, Pietro Carmellini, Graeme Duncan, Mitul A Mehta, Allan H Young, Carmel Reilly, Mario F Juruena","doi":"10.1177/02698811251340925","DOIUrl":null,"url":null,"abstract":"<p><strong>Background: </strong>Ketamine, a rapid-acting N-methyl-D-aspartate receptor antagonist used as a therapeutic for treatment-resistant depression (TRD), is usually administered intravenously or intranasally.</p><p><strong>Aims: </strong>This randomized, double-blind, placebo-controlled, Phase 1 study investigated safety and tolerability (primary endpoint), pharmacokinetics (PK) and pharmacodynamics (PD) of an immediate-release oral ketamine.</p><p><strong>Methods: </strong>Healthy volunteers (18-55 years) were randomized to each receive two single doses of oral ketamine (40-240 mg) and one oral placebo dose. Treatment-emergent adverse events (TEAEs) and PK and PD assessments (e.g., Bond and Lader visual analogue scale, Modified Observer's Assessment of Alertness/Sedation Scale) were assessed up to 24 h after dosing. Descriptive statistics were used.</p><p><strong>Results: </strong>Nineteen participants were randomized (mean age: 31 years; male, 68%); 18 completed the study. Eighty mild or moderate TEAEs were reported following oral ketamine (40-240 mg) and five following placebo. There were no TEAE-related discontinuations. Most TEAEs (86%) were considered probably related to study drug. The most common TEAEs with oral ketamine were dissociation (26 events), dizziness (nine events) and headache (nine events). A positive relationship between increasing ketamine doses and dissociation events was observed. PK parameters (<i>C</i><sub>max</sub>, AUC<sub>inf</sub>) of oral ketamine and its primary metabolites (2S,6S;2R,6R-hydroxynorketamine, R/S-norketamine) were dose proportional. Transient changes in mood and dissociation were detected 1 h postdose with a return to predose values after ~4 h.</p><p><strong>Conclusions: </strong>There were no unexpected safety signals with oral ketamine. PK properties were consistent with those reported for other rapid-acting formulations. These findings warrant further investigation of oral ketamine capsules in TRD (EudraCT No. 2019-001019-22).</p>","PeriodicalId":16892,"journal":{"name":"Journal of Psychopharmacology","volume":" ","pages":"545-558"},"PeriodicalIF":5.5000,"publicationDate":"2025-06-01","publicationTypes":"Journal Article","fieldsOfStudy":null,"isOpenAccess":false,"openAccessPdf":"https://www.ncbi.nlm.nih.gov/pmc/articles/PMC12205163/pdf/","citationCount":"0","resultStr":"{\"title\":\"A randomized, double-blind, placebo-controlled, Phase 1 study to investigate the safety, tolerability, pharmacokinetics and pharmacodynamics of an immediate-release oral ketamine capsule in healthy volunteers.\",\"authors\":\"Mutahira Qureshi, Daniel Silman, Romayne Gadelrab, Hans-Christian Stein, Pietro Carmellini, Graeme Duncan, Mitul A Mehta, Allan H Young, Carmel Reilly, Mario F Juruena\",\"doi\":\"10.1177/02698811251340925\",\"DOIUrl\":null,\"url\":null,\"abstract\":\"<p><strong>Background: </strong>Ketamine, a rapid-acting N-methyl-D-aspartate receptor antagonist used as a therapeutic for treatment-resistant depression (TRD), is usually administered intravenously or intranasally.</p><p><strong>Aims: </strong>This randomized, double-blind, placebo-controlled, Phase 1 study investigated safety and tolerability (primary endpoint), pharmacokinetics (PK) and pharmacodynamics (PD) of an immediate-release oral ketamine.</p><p><strong>Methods: </strong>Healthy volunteers (18-55 years) were randomized to each receive two single doses of oral ketamine (40-240 mg) and one oral placebo dose. Treatment-emergent adverse events (TEAEs) and PK and PD assessments (e.g., Bond and Lader visual analogue scale, Modified Observer's Assessment of Alertness/Sedation Scale) were assessed up to 24 h after dosing. Descriptive statistics were used.</p><p><strong>Results: </strong>Nineteen participants were randomized (mean age: 31 years; male, 68%); 18 completed the study. Eighty mild or moderate TEAEs were reported following oral ketamine (40-240 mg) and five following placebo. There were no TEAE-related discontinuations. Most TEAEs (86%) were considered probably related to study drug. The most common TEAEs with oral ketamine were dissociation (26 events), dizziness (nine events) and headache (nine events). A positive relationship between increasing ketamine doses and dissociation events was observed. PK parameters (<i>C</i><sub>max</sub>, AUC<sub>inf</sub>) of oral ketamine and its primary metabolites (2S,6S;2R,6R-hydroxynorketamine, R/S-norketamine) were dose proportional. Transient changes in mood and dissociation were detected 1 h postdose with a return to predose values after ~4 h.</p><p><strong>Conclusions: </strong>There were no unexpected safety signals with oral ketamine. PK properties were consistent with those reported for other rapid-acting formulations. These findings warrant further investigation of oral ketamine capsules in TRD (EudraCT No. 2019-001019-22).</p>\",\"PeriodicalId\":16892,\"journal\":{\"name\":\"Journal of Psychopharmacology\",\"volume\":\" \",\"pages\":\"545-558\"},\"PeriodicalIF\":5.5000,\"publicationDate\":\"2025-06-01\",\"publicationTypes\":\"Journal Article\",\"fieldsOfStudy\":null,\"isOpenAccess\":false,\"openAccessPdf\":\"https://www.ncbi.nlm.nih.gov/pmc/articles/PMC12205163/pdf/\",\"citationCount\":\"0\",\"resultStr\":null,\"platform\":\"Semanticscholar\",\"paperid\":null,\"PeriodicalName\":\"Journal of Psychopharmacology\",\"FirstCategoryId\":\"3\",\"ListUrlMain\":\"https://doi.org/10.1177/02698811251340925\",\"RegionNum\":3,\"RegionCategory\":\"医学\",\"ArticlePicture\":[],\"TitleCN\":null,\"AbstractTextCN\":null,\"PMCID\":null,\"EPubDate\":\"2025/6/20 0:00:00\",\"PubModel\":\"Epub\",\"JCR\":\"Q1\",\"JCRName\":\"CLINICAL NEUROLOGY\",\"Score\":null,\"Total\":0}","platform":"Semanticscholar","paperid":null,"PeriodicalName":"Journal of Psychopharmacology","FirstCategoryId":"3","ListUrlMain":"https://doi.org/10.1177/02698811251340925","RegionNum":3,"RegionCategory":"医学","ArticlePicture":[],"TitleCN":null,"AbstractTextCN":null,"PMCID":null,"EPubDate":"2025/6/20 0:00:00","PubModel":"Epub","JCR":"Q1","JCRName":"CLINICAL NEUROLOGY","Score":null,"Total":0}
引用次数: 0

摘要

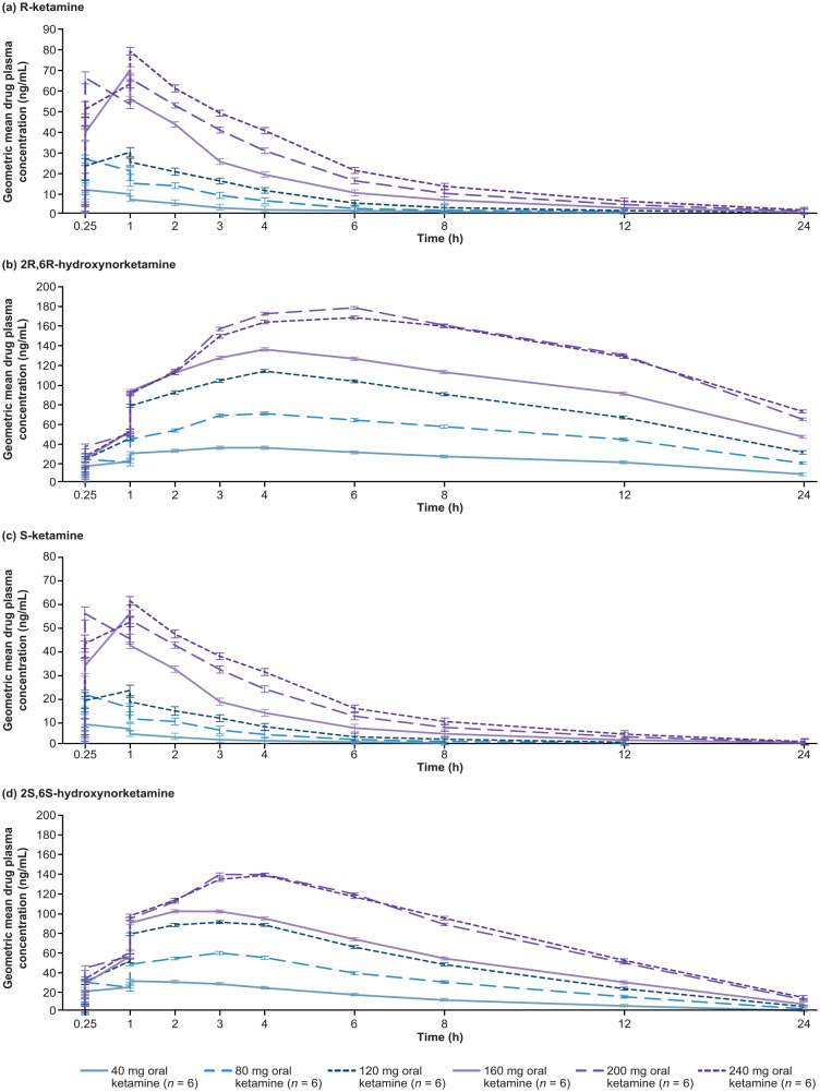
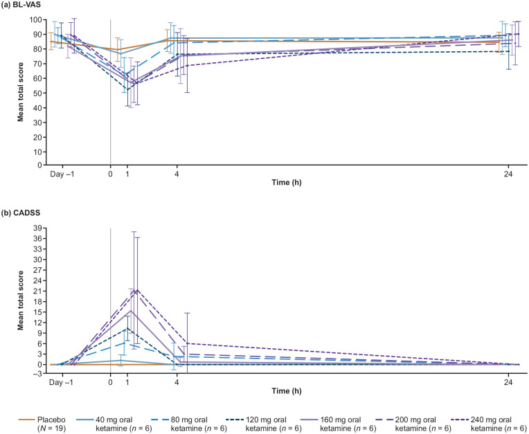
背景:氯胺酮是一种速效n -甲基- d-天冬氨酸受体拮抗剂,用于治疗难治性抑郁症(TRD),通常通过静脉或鼻内给药。目的:这项随机、双盲、安慰剂对照的1期研究调查了一种速释口服氯胺酮的安全性和耐受性(主要终点)、药代动力学(PK)和药效学(PD)。方法:健康志愿者(18-55岁)随机接受2次单剂量口服氯胺酮(40-240 mg)和1次口服安慰剂。治疗后出现的不良事件(teae)和PK和PD评估(例如Bond和Lader视觉模拟量表,改进的观察者警觉性/镇静评估量表)在给药后24小时进行评估。采用描述性统计。结果:19名参与者被随机化(平均年龄:31岁;男性,68%);18人完成了这项研究。据报道,口服氯胺酮(40-240毫克)组有80例轻度或中度teae,安慰剂组有5例。没有与teae相关的停药。大多数teae(86%)被认为可能与研究药物有关。口服氯胺酮最常见的teae是精神分离(26次)、头晕(9次)和头痛(9次)。观察到氯胺酮剂量增加与解离事件呈正相关。口服氯胺酮及其主要代谢物(2S、6S、2R、6r -羟诺氯胺酮、R/ s -诺氯胺酮)的PK参数(Cmax、AUCinf)呈剂量正比关系。在给药后1小时检测到情绪和解离的短暂变化,并在4小时后恢复到给药前的值。结论:口服氯胺酮无意外安全信号。PK性质与其他速效制剂的报道一致。这些发现为进一步研究口服氯胺酮胶囊在TRD中的应用提供了依据(eudraft No. 2019-001019-22)。
本文章由计算机程序翻译,如有差异,请以英文原文为准。

A randomized, double-blind, placebo-controlled, Phase 1 study to investigate the safety, tolerability, pharmacokinetics and pharmacodynamics of an immediate-release oral ketamine capsule in healthy volunteers.

A randomized, double-blind, placebo-controlled, Phase 1 study to investigate the safety, tolerability, pharmacokinetics and pharmacodynamics of an immediate-release oral ketamine capsule in healthy volunteers.

A randomized, double-blind, placebo-controlled, Phase 1 study to investigate the safety, tolerability, pharmacokinetics and pharmacodynamics of an immediate-release oral ketamine capsule in healthy volunteers.

A randomized, double-blind, placebo-controlled, Phase 1 study to investigate the safety, tolerability, pharmacokinetics and pharmacodynamics of an immediate-release oral ketamine capsule in healthy volunteers.

Background: Ketamine, a rapid-acting N-methyl-D-aspartate receptor antagonist used as a therapeutic for treatment-resistant depression (TRD), is usually administered intravenously or intranasally.

Aims: This randomized, double-blind, placebo-controlled, Phase 1 study investigated safety and tolerability (primary endpoint), pharmacokinetics (PK) and pharmacodynamics (PD) of an immediate-release oral ketamine.

Methods: Healthy volunteers (18-55 years) were randomized to each receive two single doses of oral ketamine (40-240 mg) and one oral placebo dose. Treatment-emergent adverse events (TEAEs) and PK and PD assessments (e.g., Bond and Lader visual analogue scale, Modified Observer's Assessment of Alertness/Sedation Scale) were assessed up to 24 h after dosing. Descriptive statistics were used.

Results: Nineteen participants were randomized (mean age: 31 years; male, 68%); 18 completed the study. Eighty mild or moderate TEAEs were reported following oral ketamine (40-240 mg) and five following placebo. There were no TEAE-related discontinuations. Most TEAEs (86%) were considered probably related to study drug. The most common TEAEs with oral ketamine were dissociation (26 events), dizziness (nine events) and headache (nine events). A positive relationship between increasing ketamine doses and dissociation events was observed. PK parameters (Cmax, AUCinf) of oral ketamine and its primary metabolites (2S,6S;2R,6R-hydroxynorketamine, R/S-norketamine) were dose proportional. Transient changes in mood and dissociation were detected 1 h postdose with a return to predose values after ~4 h.

Conclusions: There were no unexpected safety signals with oral ketamine. PK properties were consistent with those reported for other rapid-acting formulations. These findings warrant further investigation of oral ketamine capsules in TRD (EudraCT No. 2019-001019-22).

求助全文
通过发布文献求助,成功后即可免费获取论文全文。 去求助
来源期刊
Journal of Psychopharmacology
Journal of Psychopharmacology 医学-精神病学
CiteScore
8.60
自引率
4.90%
发文量
126
审稿时长
3-8 weeks
期刊介绍: The Journal of Psychopharmacology is a fully peer-reviewed, international journal that publishes original research and review articles on preclinical and clinical aspects of psychopharmacology. The journal provides an essential forum for researchers and practicing clinicians on the effects of drugs on animal and human behavior, and the mechanisms underlying these effects. The Journal of Psychopharmacology is truly international in scope and readership.
×
引用
GB/T 7714-2015
复制
MLA
复制
APA
复制
导出至
BibTeX EndNote RefMan NoteFirst NoteExpress
×
提示
您的信息不完整,为了账户安全,请先补充。
现在去补充
×
提示
您因"违规操作"
具体请查看互助需知
我知道了
×
提示
确定
请完成安全验证×
copy
已复制链接
快去分享给好友吧!
我知道了
右上角分享
点击右上角分享
0
联系我们:info@booksci.cn Book学术提供免费学术资源搜索服务,方便国内外学者检索中英文文献。致力于提供最便捷和优质的服务体验。 Copyright © 2023 布克学术 All rights reserved.
京ICP备2023020795号-1
ghs 京公网安备 11010802042870号
Book学术文献互助
Book学术文献互助群
群 号:604180095
Book学术官方微信