亚临床甲状腺功能减退,集中于腕管综合征和腓骨头腓神经病变:一项前瞻性病例对照研究。

IF 1.6 4区 医学 Q2 MEDICINE, GENERAL & INTERNAL
Sao Paulo Medical Journal Pub Date : 2025-06-02 eCollection Date: 2025-01-01 DOI:10.1590/1516-3180.2024.0280.R1.07032025
Yunus Coşkun, Halit Fidanci
{"title":"亚临床甲状腺功能减退,集中于腕管综合征和腓骨头腓神经病变:一项前瞻性病例对照研究。","authors":"Yunus Coşkun, Halit Fidanci","doi":"10.1590/1516-3180.2024.0280.R1.07032025","DOIUrl":null,"url":null,"abstract":"<p><strong>Background: </strong>Peripheral nerves may be affected in subclinical hypothyroidism (SH).</p><p><strong>Objectives: </strong>This study aimed to investigate the presence of common entrapment mononeuropathies in patients with SH.</p><p><strong>Design and setting: </strong>A prospective case-control study conducted between September 2022 and November 2023 at Adana City Training and Research Hospital, Adana, Türkiye.</p><p><strong>Methods: </strong>SH patients without neurological complaints and healthy individuals over the age of 18 were included. Serum levels of free T3, free T4, thyroid-stimulating hormone (TSH), thyroid peroxidase (TPO) antibody, and creatine kinase (CK) were measured. All participants underwent nerve conduction studies of the upper and lower extremities.</p><p><strong>Results: </strong>Thirty patients with SH and 40 healthy individuals were included in the study. The percentage reduction in compound muscle action potential (CMAP) amplitude across the knee segment was 2.8 ± 3.5% in healthy individuals and 6.7 ± 6.6% in SH patients (P = 0.017). Apart from this significant difference, other nerve conduction study findings did not differ between the two groups. A positive correlation was observed between CK levels and the percentage reduction in peroneal nerve CMAP amplitude across the knee segment (P = 0.021, r = 0.421). Additionally, there was a positive correlation between TPO antibody levels and F-wave latency in both the median and ulnar nerves (P = 0.028 r = 0.400/P = 0.005 r = 0.501). Electrodiagnostic evaluations revealed carpal tunnel syndrome (CTS) in four patients, peroneal neuropathy at the fibular head (PNFH) in four patients, and ulnar neuropathy at the elbow (UNE) in one patient.</p><p><strong>Conclusion: </strong>This study suggests that patients with SH may develop subclinical CTS and PNFH, but not UNE. Accordingly, it highlights the importance of avoiding risk factors that may contribute to the development of CTS and PNFH. Serum CK and TPO antibody levels may be useful in monitoring subclinical neuropathy in SH.</p>","PeriodicalId":49574,"journal":{"name":"Sao Paulo Medical Journal","volume":"143 4","pages":"e2024280"},"PeriodicalIF":1.6000,"publicationDate":"2025-06-02","publicationTypes":"Journal Article","fieldsOfStudy":null,"isOpenAccess":false,"openAccessPdf":"https://www.ncbi.nlm.nih.gov/pmc/articles/PMC12131942/pdf/","citationCount":"0","resultStr":"{\"title\":\"Subclinical hypothyroidism, focusing on carpal tunnel syndrome and peroneal neuropathy at the fibular head: a prospective case-control study.\",\"authors\":\"Yunus Coşkun, Halit Fidanci\",\"doi\":\"10.1590/1516-3180.2024.0280.R1.07032025\",\"DOIUrl\":null,\"url\":null,\"abstract\":\"<p><strong>Background: </strong>Peripheral nerves may be affected in subclinical hypothyroidism (SH).</p><p><strong>Objectives: </strong>This study aimed to investigate the presence of common entrapment mononeuropathies in patients with SH.</p><p><strong>Design and setting: </strong>A prospective case-control study conducted between September 2022 and November 2023 at Adana City Training and Research Hospital, Adana, Türkiye.</p><p><strong>Methods: </strong>SH patients without neurological complaints and healthy individuals over the age of 18 were included. Serum levels of free T3, free T4, thyroid-stimulating hormone (TSH), thyroid peroxidase (TPO) antibody, and creatine kinase (CK) were measured. All participants underwent nerve conduction studies of the upper and lower extremities.</p><p><strong>Results: </strong>Thirty patients with SH and 40 healthy individuals were included in the study. The percentage reduction in compound muscle action potential (CMAP) amplitude across the knee segment was 2.8 ± 3.5% in healthy individuals and 6.7 ± 6.6% in SH patients (P = 0.017). Apart from this significant difference, other nerve conduction study findings did not differ between the two groups. A positive correlation was observed between CK levels and the percentage reduction in peroneal nerve CMAP amplitude across the knee segment (P = 0.021, r = 0.421). Additionally, there was a positive correlation between TPO antibody levels and F-wave latency in both the median and ulnar nerves (P = 0.028 r = 0.400/P = 0.005 r = 0.501). Electrodiagnostic evaluations revealed carpal tunnel syndrome (CTS) in four patients, peroneal neuropathy at the fibular head (PNFH) in four patients, and ulnar neuropathy at the elbow (UNE) in one patient.</p><p><strong>Conclusion: </strong>This study suggests that patients with SH may develop subclinical CTS and PNFH, but not UNE. Accordingly, it highlights the importance of avoiding risk factors that may contribute to the development of CTS and PNFH. Serum CK and TPO antibody levels may be useful in monitoring subclinical neuropathy in SH.</p>\",\"PeriodicalId\":49574,\"journal\":{\"name\":\"Sao Paulo Medical Journal\",\"volume\":\"143 4\",\"pages\":\"e2024280\"},\"PeriodicalIF\":1.6000,\"publicationDate\":\"2025-06-02\",\"publicationTypes\":\"Journal Article\",\"fieldsOfStudy\":null,\"isOpenAccess\":false,\"openAccessPdf\":\"https://www.ncbi.nlm.nih.gov/pmc/articles/PMC12131942/pdf/\",\"citationCount\":\"0\",\"resultStr\":null,\"platform\":\"Semanticscholar\",\"paperid\":null,\"PeriodicalName\":\"Sao Paulo Medical Journal\",\"FirstCategoryId\":\"3\",\"ListUrlMain\":\"https://doi.org/10.1590/1516-3180.2024.0280.R1.07032025\",\"RegionNum\":4,\"RegionCategory\":\"医学\",\"ArticlePicture\":[],\"TitleCN\":null,\"AbstractTextCN\":null,\"PMCID\":null,\"EPubDate\":\"2025/1/1 0:00:00\",\"PubModel\":\"eCollection\",\"JCR\":\"Q2\",\"JCRName\":\"MEDICINE, GENERAL & INTERNAL\",\"Score\":null,\"Total\":0}","platform":"Semanticscholar","paperid":null,"PeriodicalName":"Sao Paulo Medical Journal","FirstCategoryId":"3","ListUrlMain":"https://doi.org/10.1590/1516-3180.2024.0280.R1.07032025","RegionNum":4,"RegionCategory":"医学","ArticlePicture":[],"TitleCN":null,"AbstractTextCN":null,"PMCID":null,"EPubDate":"2025/1/1 0:00:00","PubModel":"eCollection","JCR":"Q2","JCRName":"MEDICINE, GENERAL & INTERNAL","Score":null,"Total":0}
引用次数: 0

摘要

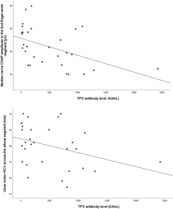
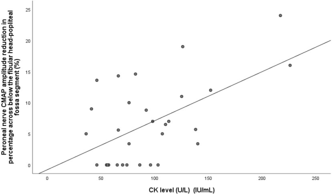
背景:亚临床甲状腺功能减退症(SH)可能会影响周围神经。目的:本研究旨在调查sh患者中常见的夹带性单神经病变的存在。设计和环境:2022年9月至2023年11月在 rkiye Adana市培训和研究医院进行的一项前瞻性病例对照研究。方法:纳入无神经系统疾患的SH患者和年龄在18岁以上的健康个体。测定血清游离T3、游离T4、促甲状腺激素(TSH)、甲状腺过氧化物酶(TPO)抗体、肌酸激酶(CK)水平。所有的参与者都接受了上肢和下肢的神经传导研究。结果:30例SH患者和40例健康人纳入研究。健康人膝关节段复合肌动作电位(CMAP)幅度下降的百分比为2.8±3.5%,SH患者为6.7±6.6% (P = 0.017)。除了这一显著差异外,其他神经传导研究结果在两组之间没有差异。CK水平与腓神经膝关节段CMAP振幅下降百分比呈正相关(P = 0.021, r = 0.421)。TPO抗体水平与正中神经和尺神经f波潜伏期呈正相关(P = 0.028 r = 0.400/P = 0.005 r = 0.501)。电诊断结果显示4例患者为腕管综合征(CTS), 4例腓骨头腓神经病变(PNFH), 1例肘部尺神经病变(UNE)。结论:本研究提示SH患者可能发生亚临床CTS和PNFH,但不会发生UNE。因此,它强调了避免可能导致CTS和PNFH发展的危险因素的重要性。血清CK和TPO抗体水平可用于监测SH的亚临床神经病变。
本文章由计算机程序翻译,如有差异,请以英文原文为准。

Subclinical hypothyroidism, focusing on carpal tunnel syndrome and peroneal neuropathy at the fibular head: a prospective case-control study.

Subclinical hypothyroidism, focusing on carpal tunnel syndrome and peroneal neuropathy at the fibular head: a prospective case-control study.

Subclinical hypothyroidism, focusing on carpal tunnel syndrome and peroneal neuropathy at the fibular head: a prospective case-control study.

Subclinical hypothyroidism, focusing on carpal tunnel syndrome and peroneal neuropathy at the fibular head: a prospective case-control study.

Background: Peripheral nerves may be affected in subclinical hypothyroidism (SH).

Objectives: This study aimed to investigate the presence of common entrapment mononeuropathies in patients with SH.

Design and setting: A prospective case-control study conducted between September 2022 and November 2023 at Adana City Training and Research Hospital, Adana, Türkiye.

Methods: SH patients without neurological complaints and healthy individuals over the age of 18 were included. Serum levels of free T3, free T4, thyroid-stimulating hormone (TSH), thyroid peroxidase (TPO) antibody, and creatine kinase (CK) were measured. All participants underwent nerve conduction studies of the upper and lower extremities.

Results: Thirty patients with SH and 40 healthy individuals were included in the study. The percentage reduction in compound muscle action potential (CMAP) amplitude across the knee segment was 2.8 ± 3.5% in healthy individuals and 6.7 ± 6.6% in SH patients (P = 0.017). Apart from this significant difference, other nerve conduction study findings did not differ between the two groups. A positive correlation was observed between CK levels and the percentage reduction in peroneal nerve CMAP amplitude across the knee segment (P = 0.021, r = 0.421). Additionally, there was a positive correlation between TPO antibody levels and F-wave latency in both the median and ulnar nerves (P = 0.028 r = 0.400/P = 0.005 r = 0.501). Electrodiagnostic evaluations revealed carpal tunnel syndrome (CTS) in four patients, peroneal neuropathy at the fibular head (PNFH) in four patients, and ulnar neuropathy at the elbow (UNE) in one patient.

Conclusion: This study suggests that patients with SH may develop subclinical CTS and PNFH, but not UNE. Accordingly, it highlights the importance of avoiding risk factors that may contribute to the development of CTS and PNFH. Serum CK and TPO antibody levels may be useful in monitoring subclinical neuropathy in SH.

求助全文
通过发布文献求助,成功后即可免费获取论文全文。 去求助
来源期刊
Sao Paulo Medical Journal
Sao Paulo Medical Journal 医学-医学:内科
CiteScore
2.20
自引率
7.10%
发文量
210
审稿时长
6-12 weeks
期刊介绍: Published bimonthly by the Associação Paulista de Medicina, the journal accepts articles in the fields of clinical health science (internal medicine, gynecology and obstetrics, mental health, surgery, pediatrics and public health). Articles will be accepted in the form of original articles (clinical trials, cohort, case-control, prevalence, incidence, accuracy and cost-effectiveness studies and systematic reviews with or without meta-analysis), narrative reviews of the literature, case reports, short communications and letters to the editor. Papers with a commercial objective will not be accepted.
×
引用
GB/T 7714-2015
复制
MLA
复制
APA
复制
导出至
BibTeX EndNote RefMan NoteFirst NoteExpress
×
提示
您的信息不完整,为了账户安全,请先补充。
现在去补充
×
提示
您因"违规操作"
具体请查看互助需知
我知道了
×
提示
确定
请完成安全验证×
copy
已复制链接
快去分享给好友吧!
我知道了
右上角分享
点击右上角分享
0
联系我们:info@booksci.cn Book学术提供免费学术资源搜索服务,方便国内外学者检索中英文文献。致力于提供最便捷和优质的服务体验。 Copyright © 2023 布克学术 All rights reserved.
京ICP备2023020795号-1
ghs 京公网安备 11010802042870号
Book学术文献互助
Book学术文献互助群
群 号:604180095
Book学术官方微信