网格蛋白末端结构域-两性蛋白-蛋白相互作用的抑制。探测Pitstop®2芳香部分。

IF 3.4 4区 医学 Q2 CHEMISTRY, MEDICINAL
ChemMedChem Pub Date : 2025-06-02 DOI:10.1002/cmdc.202500321
Kate Prichard, Mark J. Robertson, Ngoc Chau, Jing Xue, Martin Neuenschwander, Uwe Fink, Andre Horatscheck, Marc Nazare, Phillip J. Robinson, Volker Haucke, Adam McCluskey
{"title":"网格蛋白末端结构域-两性蛋白-蛋白相互作用的抑制。探测Pitstop®2芳香部分。","authors":"Kate Prichard,&nbsp;Mark J. Robertson,&nbsp;Ngoc Chau,&nbsp;Jing Xue,&nbsp;Martin Neuenschwander,&nbsp;Uwe Fink,&nbsp;Andre Horatscheck,&nbsp;Marc Nazare,&nbsp;Phillip J. Robinson,&nbsp;Volker Haucke,&nbsp;Adam McCluskey","doi":"10.1002/cmdc.202500321","DOIUrl":null,"url":null,"abstract":"<p>Pitstop 2, (<i>Z</i>)-<i>N</i>-(5-(4-bromenzylidene)-4-oxo-4,5-dihydrothiazol-2-yl)naphthalene-1-sulfonamide (<b>1</b>) inhibits the clathrin terminal domain–amphiphysin interaction (NTD-PPI) and has been widely used to investigate endocytosis. Herein, the synthesis of 56 novel Pitstop 2 analogues via four discrete focused libraries is reported. Specific modification to the 4-bromonenzylidene moiety is explored, and their ability to inhibit the NTD-PPI interaction is examined by ELISA. In cell endocytosis, effects are measured for selective analogues as is the inhibition of dynamin, another protein involved in the endocytosis process. The most NTD-PPI active analogues retain 2- and 4-disposed substituents on the aromatic head, with 2,3,4-trihydroxy (<b>28</b>) the most active (IC<sub>50</sub> 0.94 μ<span>m</span>). Catechol-free 2,3-dihydroxybenzo[<i>b</i>][1,4]dioxone (<b>54</b>) is a more promising lead with an NTD-PPI IC<sub>50</sub> = 1.16 μ<span>m</span>. The corresponding benzo[<i>d</i>][1,3]dioxole (<b>53</b>) is threefold less active suggesting ring size preference at this position. Nine analogues show improved or comparable NTD-PPI activity to Pitstop 2 with IC<sub>50</sub> values from 0.94 to 2.1 μM. Heterocyclic analogues are well tolerated and potent inhibitors of CME in U2OS cells, in particular, benzofuran <b>67</b> (NTD-PPI IC<sub>50</sub> 1.5 μ<span>m</span> and CME IC<sub>50</sub> 6.8 ± 2.7 μ<span>m</span>). This positions <b>67</b> as one of the most cell active inhibitors of clathrin-mediated endocytosis yet reported.</p>","PeriodicalId":147,"journal":{"name":"ChemMedChem","volume":"20 16","pages":""},"PeriodicalIF":3.4000,"publicationDate":"2025-06-02","publicationTypes":"Journal Article","fieldsOfStudy":null,"isOpenAccess":false,"openAccessPdf":"https://chemistry-europe.onlinelibrary.wiley.com/doi/epdf/10.1002/cmdc.202500321","citationCount":"0","resultStr":"{\"title\":\"Inhibition of the Clathrin Terminal Domain—Amphiphysin Protein–Protein Interaction. Probing the Pitstop 2 Aromatic Moiety\",\"authors\":\"Kate Prichard,&nbsp;Mark J. Robertson,&nbsp;Ngoc Chau,&nbsp;Jing Xue,&nbsp;Martin Neuenschwander,&nbsp;Uwe Fink,&nbsp;Andre Horatscheck,&nbsp;Marc Nazare,&nbsp;Phillip J. Robinson,&nbsp;Volker Haucke,&nbsp;Adam McCluskey\",\"doi\":\"10.1002/cmdc.202500321\",\"DOIUrl\":null,\"url\":null,\"abstract\":\"<p>Pitstop 2, (<i>Z</i>)-<i>N</i>-(5-(4-bromenzylidene)-4-oxo-4,5-dihydrothiazol-2-yl)naphthalene-1-sulfonamide (<b>1</b>) inhibits the clathrin terminal domain–amphiphysin interaction (NTD-PPI) and has been widely used to investigate endocytosis. Herein, the synthesis of 56 novel Pitstop 2 analogues via four discrete focused libraries is reported. Specific modification to the 4-bromonenzylidene moiety is explored, and their ability to inhibit the NTD-PPI interaction is examined by ELISA. In cell endocytosis, effects are measured for selective analogues as is the inhibition of dynamin, another protein involved in the endocytosis process. The most NTD-PPI active analogues retain 2- and 4-disposed substituents on the aromatic head, with 2,3,4-trihydroxy (<b>28</b>) the most active (IC<sub>50</sub> 0.94 μ<span>m</span>). Catechol-free 2,3-dihydroxybenzo[<i>b</i>][1,4]dioxone (<b>54</b>) is a more promising lead with an NTD-PPI IC<sub>50</sub> = 1.16 μ<span>m</span>. The corresponding benzo[<i>d</i>][1,3]dioxole (<b>53</b>) is threefold less active suggesting ring size preference at this position. Nine analogues show improved or comparable NTD-PPI activity to Pitstop 2 with IC<sub>50</sub> values from 0.94 to 2.1 μM. Heterocyclic analogues are well tolerated and potent inhibitors of CME in U2OS cells, in particular, benzofuran <b>67</b> (NTD-PPI IC<sub>50</sub> 1.5 μ<span>m</span> and CME IC<sub>50</sub> 6.8 ± 2.7 μ<span>m</span>). This positions <b>67</b> as one of the most cell active inhibitors of clathrin-mediated endocytosis yet reported.</p>\",\"PeriodicalId\":147,\"journal\":{\"name\":\"ChemMedChem\",\"volume\":\"20 16\",\"pages\":\"\"},\"PeriodicalIF\":3.4000,\"publicationDate\":\"2025-06-02\",\"publicationTypes\":\"Journal Article\",\"fieldsOfStudy\":null,\"isOpenAccess\":false,\"openAccessPdf\":\"https://chemistry-europe.onlinelibrary.wiley.com/doi/epdf/10.1002/cmdc.202500321\",\"citationCount\":\"0\",\"resultStr\":null,\"platform\":\"Semanticscholar\",\"paperid\":null,\"PeriodicalName\":\"ChemMedChem\",\"FirstCategoryId\":\"3\",\"ListUrlMain\":\"https://chemistry-europe.onlinelibrary.wiley.com/doi/10.1002/cmdc.202500321\",\"RegionNum\":4,\"RegionCategory\":\"医学\",\"ArticlePicture\":[],\"TitleCN\":null,\"AbstractTextCN\":null,\"PMCID\":null,\"EPubDate\":\"\",\"PubModel\":\"\",\"JCR\":\"Q2\",\"JCRName\":\"CHEMISTRY, MEDICINAL\",\"Score\":null,\"Total\":0}","platform":"Semanticscholar","paperid":null,"PeriodicalName":"ChemMedChem","FirstCategoryId":"3","ListUrlMain":"https://chemistry-europe.onlinelibrary.wiley.com/doi/10.1002/cmdc.202500321","RegionNum":4,"RegionCategory":"医学","ArticlePicture":[],"TitleCN":null,"AbstractTextCN":null,"PMCID":null,"EPubDate":"","PubModel":"","JCR":"Q2","JCRName":"CHEMISTRY, MEDICINAL","Score":null,"Total":0}
引用次数: 0

摘要

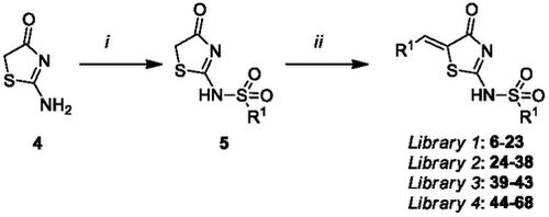
Pitstop 2, (Z)- n-(5-(4-溴代苄基)-4-氧-4,5-二氢噻唑-2-基)萘-1-磺酰胺(1),抑制网格蛋白末端结构域- amphiphysin相互作用(NTD-PPI),被广泛用于研究胞吞作用。在这项工作中,我们报告了56个新颖的Pitstop 2类似物的合成通过四个离散的集中库。研究了对4-溴酶段的特异性修饰,并通过ELISA检测了它们抑制NTD-PPI相互作用的能力。在细胞内吞作用中,测量了选择的类似物对动力蛋白的抑制作用,动力蛋白是另一种参与内吞过程的蛋白质。NTD-PPI活性最高的类似物在芳香头部保留了2位和4位取代基,其中2,3,4-三羟基(28)活性最高(IC50为0.94 μM)。不含儿茶酚的2,3-二羟基苯并[b][1,4]二恶酮(54)是一种更有前途的引线,ndt - ppi IC50 = 1.16 μM。相应的苯并[d][1,3]二恶唑(53)活性低3倍,表明该位置的环尺寸偏好。9个类似物的NTD-PPI活性比Pitstop 2有所提高或相当,IC50值在0.94 ~ 2.1µM之间。杂环类似物在U2OS细胞中具有良好的耐受性和有效的CME抑制剂,特别是苯并呋喃67 (NTD-PPI IC50为1.5 μM, CME IC50为6.8±2.7 μM)。这使得67成为迄今为止报道的网格蛋白介导内吞作用中最具细胞活性的抑制剂之一。
本文章由计算机程序翻译,如有差异,请以英文原文为准。

Inhibition of the Clathrin Terminal Domain—Amphiphysin Protein–Protein Interaction. Probing the Pitstop 2 Aromatic Moiety

Inhibition of the Clathrin Terminal Domain—Amphiphysin Protein–Protein Interaction. Probing the Pitstop 2 Aromatic Moiety

Inhibition of the Clathrin Terminal Domain—Amphiphysin Protein–Protein Interaction. Probing the Pitstop 2 Aromatic Moiety

Inhibition of the Clathrin Terminal Domain—Amphiphysin Protein–Protein Interaction. Probing the Pitstop 2 Aromatic Moiety

Inhibition of the Clathrin Terminal Domain—Amphiphysin Protein–Protein Interaction. Probing the Pitstop 2 Aromatic Moiety

Pitstop 2, (Z)-N-(5-(4-bromenzylidene)-4-oxo-4,5-dihydrothiazol-2-yl)naphthalene-1-sulfonamide (1) inhibits the clathrin terminal domain–amphiphysin interaction (NTD-PPI) and has been widely used to investigate endocytosis. Herein, the synthesis of 56 novel Pitstop 2 analogues via four discrete focused libraries is reported. Specific modification to the 4-bromonenzylidene moiety is explored, and their ability to inhibit the NTD-PPI interaction is examined by ELISA. In cell endocytosis, effects are measured for selective analogues as is the inhibition of dynamin, another protein involved in the endocytosis process. The most NTD-PPI active analogues retain 2- and 4-disposed substituents on the aromatic head, with 2,3,4-trihydroxy (28) the most active (IC50 0.94 μm). Catechol-free 2,3-dihydroxybenzo[b][1,4]dioxone (54) is a more promising lead with an NTD-PPI IC50 = 1.16 μm. The corresponding benzo[d][1,3]dioxole (53) is threefold less active suggesting ring size preference at this position. Nine analogues show improved or comparable NTD-PPI activity to Pitstop 2 with IC50 values from 0.94 to 2.1 μM. Heterocyclic analogues are well tolerated and potent inhibitors of CME in U2OS cells, in particular, benzofuran 67 (NTD-PPI IC50 1.5 μm and CME IC50 6.8 ± 2.7 μm). This positions 67 as one of the most cell active inhibitors of clathrin-mediated endocytosis yet reported.

求助全文
通过发布文献求助,成功后即可免费获取论文全文。 去求助
来源期刊
ChemMedChem
ChemMedChem 医学-药学
CiteScore
6.70
自引率
2.90%
发文量
280
审稿时长
1 months
期刊介绍: Quality research. Outstanding publications. With an impact factor of 3.124 (2019), ChemMedChem is a top journal for research at the interface of chemistry, biology and medicine. It is published on behalf of Chemistry Europe, an association of 16 European chemical societies. ChemMedChem publishes primary as well as critical secondary and tertiary information from authors across and for the world. Its mission is to integrate the wide and flourishing field of medicinal and pharmaceutical sciences, ranging from drug design and discovery to drug development and delivery, from molecular modeling to combinatorial chemistry, from target validation to lead generation and ADMET studies. ChemMedChem typically covers topics on small molecules, therapeutic macromolecules, peptides, peptidomimetics, and aptamers, protein-drug conjugates, nucleic acid therapies, and beginning 2017, nanomedicine, particularly 1) targeted nanodelivery, 2) theranostic nanoparticles, and 3) nanodrugs. Contents ChemMedChem publishes an attractive mixture of: Full Papers and Communications Reviews and Minireviews Patent Reviews Highlights and Concepts Book and Multimedia Reviews.
×
引用
GB/T 7714-2015
复制
MLA
复制
APA
复制
导出至
BibTeX EndNote RefMan NoteFirst NoteExpress
×
提示
您的信息不完整,为了账户安全,请先补充。
现在去补充
×
提示
您因"违规操作"
具体请查看互助需知
我知道了
×
提示
确定
请完成安全验证×
copy
已复制链接
快去分享给好友吧!
我知道了
右上角分享
点击右上角分享
0
联系我们:info@booksci.cn Book学术提供免费学术资源搜索服务,方便国内外学者检索中英文文献。致力于提供最便捷和优质的服务体验。 Copyright © 2023 布克学术 All rights reserved.
京ICP备2023020795号-1
ghs 京公网安备 11010802042870号
Book学术文献互助
Book学术文献互助群
群 号:604180095
Book学术官方微信