瑞典70岁慢性疾病患者自我管理量表(PRISM-CC)的结构效度和重测信度

IF 2.9 Q2 HEALTH CARE SCIENCES & SERVICES
Ingrid Olsson, George Kephart, Tanya Packer, Sabine Björk, Ulf Isaksson, Yu-Ting Chen, Anna Nordström, Åsa Audulv
{"title":"瑞典70岁慢性疾病患者自我管理量表(PRISM-CC)的结构效度和重测信度","authors":"Ingrid Olsson, George Kephart, Tanya Packer, Sabine Björk, Ulf Isaksson, Yu-Ting Chen, Anna Nordström, Åsa Audulv","doi":"10.1186/s41687-025-00892-3","DOIUrl":null,"url":null,"abstract":"<p><strong>Background: </strong>Self-management is internationally recognized as important to maintain independence, quality of life and to minimize the risk of poor health outcomes, especially among persons with multi-morbidity. Self-management can be especially challenging for older adults, who have higher rates of multi-morbidity and experience diverse impacts of long-term health conditions on everyday life. Good measures of self-management are currently lacking. The Patient Reported Inventory of Self-Management of Chronic Conditions (PRISM-CC) is a new, generic, multidimensional measure of self-perceived ease or difficulty with self-management, that overcomes many of the limitations of existing measures.</p><p><strong>Objectives: </strong>To test the structural validity and test-retest reliability of the Swedish version of the PRISM-CC among seventy-year-olds with long-term health conditions.</p><p><strong>Methods: </strong>Translation of PRISM-CC items into Swedish followed the Patient-Reported Outcome (PRO) Consortium process. Survey data (n = 516 Swedish seventy-year-olds with ≥1 long-term health condition) was used to assess structural validity of the 36-item PRISM-CC using multidimensional item response theory (IRT) models. Test-retest reliability was assessed on a subsample of 58 individuals using intra-class correlation coefficient (ICC) and Bland-Altman Plots.</p><p><strong>Results: </strong>The Swedish PRISM-CC demonstrated good internal consistency with Cronbach's alpha >0.8 for all domains, and good fit to a graded response IRT model (RMSEA 0.034, SRMSR 0.050, CFI 0.952 and TLI 0.945). All 36 items had standardized loadings >0.7. ICC showed moderate to good test-retest reliability for all seven domains. The Bland-Altman plots showed minimal bias and good test-retest agreement for all domains.</p><p><strong>Conclusion: </strong>The Swedish PRISM-CC showed good structural validity and test-retest reliability in this sample of relatively healthy seventy-year-olds with long-term health condition(s). Further validation in a population with more severe health issues is needed.</p>","PeriodicalId":36660,"journal":{"name":"Journal of Patient-Reported Outcomes","volume":"9 1","pages":"59"},"PeriodicalIF":2.9000,"publicationDate":"2025-05-28","publicationTypes":"Journal Article","fieldsOfStudy":null,"isOpenAccess":false,"openAccessPdf":"https://www.ncbi.nlm.nih.gov/pmc/articles/PMC12119446/pdf/","citationCount":"0","resultStr":"{\"title\":\"Structural validity and test-retest reliability of the Patient Reported Inventory of Self-Management of Chronic Conditions (PRISM-CC) in a Swedish population of seventy-year-olds with long-term health conditions.\",\"authors\":\"Ingrid Olsson, George Kephart, Tanya Packer, Sabine Björk, Ulf Isaksson, Yu-Ting Chen, Anna Nordström, Åsa Audulv\",\"doi\":\"10.1186/s41687-025-00892-3\",\"DOIUrl\":null,\"url\":null,\"abstract\":\"<p><strong>Background: </strong>Self-management is internationally recognized as important to maintain independence, quality of life and to minimize the risk of poor health outcomes, especially among persons with multi-morbidity. Self-management can be especially challenging for older adults, who have higher rates of multi-morbidity and experience diverse impacts of long-term health conditions on everyday life. Good measures of self-management are currently lacking. The Patient Reported Inventory of Self-Management of Chronic Conditions (PRISM-CC) is a new, generic, multidimensional measure of self-perceived ease or difficulty with self-management, that overcomes many of the limitations of existing measures.</p><p><strong>Objectives: </strong>To test the structural validity and test-retest reliability of the Swedish version of the PRISM-CC among seventy-year-olds with long-term health conditions.</p><p><strong>Methods: </strong>Translation of PRISM-CC items into Swedish followed the Patient-Reported Outcome (PRO) Consortium process. Survey data (n = 516 Swedish seventy-year-olds with ≥1 long-term health condition) was used to assess structural validity of the 36-item PRISM-CC using multidimensional item response theory (IRT) models. Test-retest reliability was assessed on a subsample of 58 individuals using intra-class correlation coefficient (ICC) and Bland-Altman Plots.</p><p><strong>Results: </strong>The Swedish PRISM-CC demonstrated good internal consistency with Cronbach's alpha >0.8 for all domains, and good fit to a graded response IRT model (RMSEA 0.034, SRMSR 0.050, CFI 0.952 and TLI 0.945). All 36 items had standardized loadings >0.7. ICC showed moderate to good test-retest reliability for all seven domains. The Bland-Altman plots showed minimal bias and good test-retest agreement for all domains.</p><p><strong>Conclusion: </strong>The Swedish PRISM-CC showed good structural validity and test-retest reliability in this sample of relatively healthy seventy-year-olds with long-term health condition(s). Further validation in a population with more severe health issues is needed.</p>\",\"PeriodicalId\":36660,\"journal\":{\"name\":\"Journal of Patient-Reported Outcomes\",\"volume\":\"9 1\",\"pages\":\"59\"},\"PeriodicalIF\":2.9000,\"publicationDate\":\"2025-05-28\",\"publicationTypes\":\"Journal Article\",\"fieldsOfStudy\":null,\"isOpenAccess\":false,\"openAccessPdf\":\"https://www.ncbi.nlm.nih.gov/pmc/articles/PMC12119446/pdf/\",\"citationCount\":\"0\",\"resultStr\":null,\"platform\":\"Semanticscholar\",\"paperid\":null,\"PeriodicalName\":\"Journal of Patient-Reported Outcomes\",\"FirstCategoryId\":\"1085\",\"ListUrlMain\":\"https://doi.org/10.1186/s41687-025-00892-3\",\"RegionNum\":0,\"RegionCategory\":null,\"ArticlePicture\":[],\"TitleCN\":null,\"AbstractTextCN\":null,\"PMCID\":null,\"EPubDate\":\"\",\"PubModel\":\"\",\"JCR\":\"Q2\",\"JCRName\":\"HEALTH CARE SCIENCES & SERVICES\",\"Score\":null,\"Total\":0}","platform":"Semanticscholar","paperid":null,"PeriodicalName":"Journal of Patient-Reported Outcomes","FirstCategoryId":"1085","ListUrlMain":"https://doi.org/10.1186/s41687-025-00892-3","RegionNum":0,"RegionCategory":null,"ArticlePicture":[],"TitleCN":null,"AbstractTextCN":null,"PMCID":null,"EPubDate":"","PubModel":"","JCR":"Q2","JCRName":"HEALTH CARE SCIENCES & SERVICES","Score":null,"Total":0}
引用次数: 0

摘要

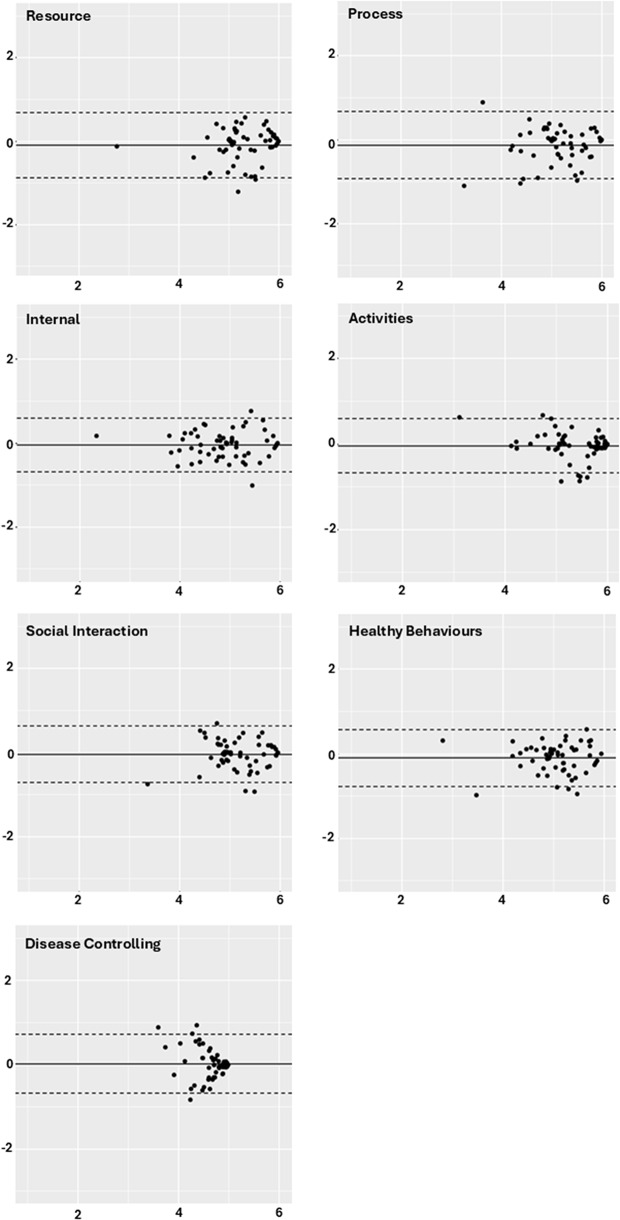
背景:国际上公认自我管理对于保持独立性、生活质量和尽量减少不良健康结果的风险非常重要,特别是对于患有多种疾病的人而言。自我管理对老年人来说尤其具有挑战性,因为他们的多种疾病发病率更高,长期健康状况对日常生活的影响也更大。目前缺乏良好的自我管理措施。慢性疾病自我管理患者报告清单(PRISM-CC)是一种新的、通用的、多维度的自我感知的自我管理容易或困难的测量方法,它克服了现有测量方法的许多局限性。目的:检验瑞典版PRISM-CC量表在70岁长期健康状况患者中的结构效度和重测信度。方法:按照患者报告结果(PRO)联盟程序将PRISM-CC项目翻译成瑞典语。采用多维项目反应理论(IRT)模型对PRISM-CC的36项结构效度进行评估,调查数据为516名长期健康状况≥1项的瑞典70岁老年人。采用类内相关系数(ICC)和Bland-Altman图对58个个体的子样本进行重测信度评估。结果:瑞典PRISM-CC在所有领域与Cronbach's alpha >.8具有良好的内部一致性,并且与分级反应IRT模型具有良好的拟合性(RMSEA 0.034, SRMSR 0.050, CFI 0.952和TLI 0.945)。所有36个项目都有标准化加载>.7。ICC在所有七个领域显示中等到良好的重测信度。Bland-Altman图在所有领域显示最小的偏倚和良好的测试-重测试一致性。结论:瑞典PRISM-CC量表在具有长期健康状况的70岁老年人中具有良好的结构效度和重测信度。需要在有更严重健康问题的人群中进一步验证。
本文章由计算机程序翻译,如有差异,请以英文原文为准。

Structural validity and test-retest reliability of the Patient Reported Inventory of Self-Management of Chronic Conditions (PRISM-CC) in a Swedish population of seventy-year-olds with long-term health conditions.

Structural validity and test-retest reliability of the Patient Reported Inventory of Self-Management of Chronic Conditions (PRISM-CC) in a Swedish population of seventy-year-olds with long-term health conditions.

Structural validity and test-retest reliability of the Patient Reported Inventory of Self-Management of Chronic Conditions (PRISM-CC) in a Swedish population of seventy-year-olds with long-term health conditions.

Background: Self-management is internationally recognized as important to maintain independence, quality of life and to minimize the risk of poor health outcomes, especially among persons with multi-morbidity. Self-management can be especially challenging for older adults, who have higher rates of multi-morbidity and experience diverse impacts of long-term health conditions on everyday life. Good measures of self-management are currently lacking. The Patient Reported Inventory of Self-Management of Chronic Conditions (PRISM-CC) is a new, generic, multidimensional measure of self-perceived ease or difficulty with self-management, that overcomes many of the limitations of existing measures.

Objectives: To test the structural validity and test-retest reliability of the Swedish version of the PRISM-CC among seventy-year-olds with long-term health conditions.

Methods: Translation of PRISM-CC items into Swedish followed the Patient-Reported Outcome (PRO) Consortium process. Survey data (n = 516 Swedish seventy-year-olds with ≥1 long-term health condition) was used to assess structural validity of the 36-item PRISM-CC using multidimensional item response theory (IRT) models. Test-retest reliability was assessed on a subsample of 58 individuals using intra-class correlation coefficient (ICC) and Bland-Altman Plots.

Results: The Swedish PRISM-CC demonstrated good internal consistency with Cronbach's alpha >0.8 for all domains, and good fit to a graded response IRT model (RMSEA 0.034, SRMSR 0.050, CFI 0.952 and TLI 0.945). All 36 items had standardized loadings >0.7. ICC showed moderate to good test-retest reliability for all seven domains. The Bland-Altman plots showed minimal bias and good test-retest agreement for all domains.

Conclusion: The Swedish PRISM-CC showed good structural validity and test-retest reliability in this sample of relatively healthy seventy-year-olds with long-term health condition(s). Further validation in a population with more severe health issues is needed.

求助全文
通过发布文献求助,成功后即可免费获取论文全文。 去求助
来源期刊
Journal of Patient-Reported Outcomes
Journal of Patient-Reported Outcomes Health Professions-Health Information Management
CiteScore
3.80
自引率
7.40%
发文量
120
审稿时长
20 weeks
×
引用
GB/T 7714-2015
复制
MLA
复制
APA
复制
导出至
BibTeX EndNote RefMan NoteFirst NoteExpress
×
提示
您的信息不完整,为了账户安全,请先补充。
现在去补充
×
提示
您因"违规操作"
具体请查看互助需知
我知道了
×
提示
确定
请完成安全验证×
copy
已复制链接
快去分享给好友吧!
我知道了
右上角分享
点击右上角分享
0
联系我们:info@booksci.cn Book学术提供免费学术资源搜索服务,方便国内外学者检索中英文文献。致力于提供最便捷和优质的服务体验。 Copyright © 2023 布克学术 All rights reserved.
京ICP备2023020795号-1
ghs 京公网安备 11010802042870号
Book学术文献互助
Book学术文献互助群
群 号:604180095
Book学术官方微信