跟踪偏心率对多词正字法信息整合的影响。

IF 2.3 Q1 Psychology
Journal of Cognition Pub Date : 2025-04-28 eCollection Date: 2025-01-01 DOI:10.5334/joc.446
Christophe Cauchi, Martijn Meeter
{"title":"跟踪偏心率对多词正字法信息整合的影响。","authors":"Christophe Cauchi, Martijn Meeter","doi":"10.5334/joc.446","DOIUrl":null,"url":null,"abstract":"<p><p>In adult readers, the perceptual span is approximately 14-15 characters to the right of the fixated word, corresponding to approximately 5° of visual angle. However, the extent of information processing within this area remains unclear. In the present study, we address this question using a novel adaptation of the flankers task in which the eccentricity of the flankers with respect to the central target word is increased. Fifty-four participants performed a lexical decision task on a central four-letter word flanked by two words of equal length. The flankers were either orthographically related (rock - rock) or unrelated (path - rock) to the target, and their eccentricity varied from 1.65° to 4.29° (center-to-center) in 0.33° steps. Participants' fixation was controlled by an eye-tracker using the fixation point as a trigger, and stimuli were displayed for 170 ms to avoid any eye movement. Results showed that the effect of unrelated flankers decreased with increasing eccentricity, while there was no effect of eccentricity of related flankers. In particular, the unrelated flankers affected central word processing up to the end of the parafovea. This observation provides evidence that the outer limits of the parafovea are engaged beyond prelexical processing. Lexical frequency influenced the magnitude of both reaction times (RTs) and accuracy rates, but did not interact with any variables. This novel adaptation of the flankers task has potential advantages for investigating the spatial integration of orthographic information across the perceptual span.</p>","PeriodicalId":32728,"journal":{"name":"Journal of Cognition","volume":"8 1","pages":"35"},"PeriodicalIF":2.3000,"publicationDate":"2025-04-28","publicationTypes":"Journal Article","fieldsOfStudy":null,"isOpenAccess":false,"openAccessPdf":"https://www.ncbi.nlm.nih.gov/pmc/articles/PMC12047632/pdf/","citationCount":"0","resultStr":"{\"title\":\"Tracking the Effects of Eccentricity on the Integration of Orthographic Information From Multiple Words.\",\"authors\":\"Christophe Cauchi, Martijn Meeter\",\"doi\":\"10.5334/joc.446\",\"DOIUrl\":null,\"url\":null,\"abstract\":\"<p><p>In adult readers, the perceptual span is approximately 14-15 characters to the right of the fixated word, corresponding to approximately 5° of visual angle. However, the extent of information processing within this area remains unclear. In the present study, we address this question using a novel adaptation of the flankers task in which the eccentricity of the flankers with respect to the central target word is increased. Fifty-four participants performed a lexical decision task on a central four-letter word flanked by two words of equal length. The flankers were either orthographically related (rock - rock) or unrelated (path - rock) to the target, and their eccentricity varied from 1.65° to 4.29° (center-to-center) in 0.33° steps. Participants' fixation was controlled by an eye-tracker using the fixation point as a trigger, and stimuli were displayed for 170 ms to avoid any eye movement. Results showed that the effect of unrelated flankers decreased with increasing eccentricity, while there was no effect of eccentricity of related flankers. In particular, the unrelated flankers affected central word processing up to the end of the parafovea. This observation provides evidence that the outer limits of the parafovea are engaged beyond prelexical processing. Lexical frequency influenced the magnitude of both reaction times (RTs) and accuracy rates, but did not interact with any variables. This novel adaptation of the flankers task has potential advantages for investigating the spatial integration of orthographic information across the perceptual span.</p>\",\"PeriodicalId\":32728,\"journal\":{\"name\":\"Journal of Cognition\",\"volume\":\"8 1\",\"pages\":\"35\"},\"PeriodicalIF\":2.3000,\"publicationDate\":\"2025-04-28\",\"publicationTypes\":\"Journal Article\",\"fieldsOfStudy\":null,\"isOpenAccess\":false,\"openAccessPdf\":\"https://www.ncbi.nlm.nih.gov/pmc/articles/PMC12047632/pdf/\",\"citationCount\":\"0\",\"resultStr\":null,\"platform\":\"Semanticscholar\",\"paperid\":null,\"PeriodicalName\":\"Journal of Cognition\",\"FirstCategoryId\":\"1085\",\"ListUrlMain\":\"https://doi.org/10.5334/joc.446\",\"RegionNum\":0,\"RegionCategory\":null,\"ArticlePicture\":[],\"TitleCN\":null,\"AbstractTextCN\":null,\"PMCID\":null,\"EPubDate\":\"2025/1/1 0:00:00\",\"PubModel\":\"eCollection\",\"JCR\":\"Q1\",\"JCRName\":\"Psychology\",\"Score\":null,\"Total\":0}","platform":"Semanticscholar","paperid":null,"PeriodicalName":"Journal of Cognition","FirstCategoryId":"1085","ListUrlMain":"https://doi.org/10.5334/joc.446","RegionNum":0,"RegionCategory":null,"ArticlePicture":[],"TitleCN":null,"AbstractTextCN":null,"PMCID":null,"EPubDate":"2025/1/1 0:00:00","PubModel":"eCollection","JCR":"Q1","JCRName":"Psychology","Score":null,"Total":0}
引用次数: 0

摘要

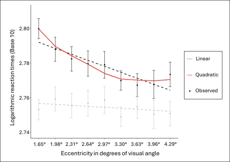
成人读者的感知广度约为注视词右侧14-15个字符,对应的视角约为5°。然而,这一区域的信息处理程度仍不清楚。在本研究中,我们使用一种新的侧翼任务来解决这个问题,其中侧翼任务相对于中心目标词的偏心率增加。54名参与者在一个中心的四个字母的单词和两个长度相等的单词之间进行词汇决策任务。侧翼与目标在正字法上相关(岩石-岩石)或不相关(路径-岩石),它们的偏心在0.33°的台阶上从1.65°到4.29°(中心到中心)不等。参与者的注视由眼动仪控制,以注视点为触发点,并显示170毫秒的刺激以避免任何眼球运动。结果表明,不相关侧板的影响随偏心率的增大而减小,而相关侧板的影响不存在。特别是,不相关的侧翼者影响了中央文字处理,直到副中央的末尾。这一观察结果提供了证据,表明副中央的外部边界参与了词汇前加工之外的活动。词汇频率影响反应时间(RTs)和准确率的大小,但不与任何变量相互作用。这种对侧翼任务的新适应对于研究正字法信息在知觉范围内的空间整合具有潜在的优势。
本文章由计算机程序翻译,如有差异,请以英文原文为准。

Tracking the Effects of Eccentricity on the Integration of Orthographic Information From Multiple Words.

Tracking the Effects of Eccentricity on the Integration of Orthographic Information From Multiple Words.

Tracking the Effects of Eccentricity on the Integration of Orthographic Information From Multiple Words.

Tracking the Effects of Eccentricity on the Integration of Orthographic Information From Multiple Words.

In adult readers, the perceptual span is approximately 14-15 characters to the right of the fixated word, corresponding to approximately 5° of visual angle. However, the extent of information processing within this area remains unclear. In the present study, we address this question using a novel adaptation of the flankers task in which the eccentricity of the flankers with respect to the central target word is increased. Fifty-four participants performed a lexical decision task on a central four-letter word flanked by two words of equal length. The flankers were either orthographically related (rock - rock) or unrelated (path - rock) to the target, and their eccentricity varied from 1.65° to 4.29° (center-to-center) in 0.33° steps. Participants' fixation was controlled by an eye-tracker using the fixation point as a trigger, and stimuli were displayed for 170 ms to avoid any eye movement. Results showed that the effect of unrelated flankers decreased with increasing eccentricity, while there was no effect of eccentricity of related flankers. In particular, the unrelated flankers affected central word processing up to the end of the parafovea. This observation provides evidence that the outer limits of the parafovea are engaged beyond prelexical processing. Lexical frequency influenced the magnitude of both reaction times (RTs) and accuracy rates, but did not interact with any variables. This novel adaptation of the flankers task has potential advantages for investigating the spatial integration of orthographic information across the perceptual span.

求助全文
通过发布文献求助,成功后即可免费获取论文全文。 去求助
来源期刊
Journal of Cognition
Journal of Cognition Psychology-Experimental and Cognitive Psychology
CiteScore
4.50
自引率
0.00%
发文量
43
审稿时长
6 weeks
×
引用
GB/T 7714-2015
复制
MLA
复制
APA
复制
导出至
BibTeX EndNote RefMan NoteFirst NoteExpress
×
提示
您的信息不完整,为了账户安全,请先补充。
现在去补充
×
提示
您因"违规操作"
具体请查看互助需知
我知道了
×
提示
确定
请完成安全验证×
copy
已复制链接
快去分享给好友吧!
我知道了
右上角分享
点击右上角分享
0
联系我们:info@booksci.cn Book学术提供免费学术资源搜索服务,方便国内外学者检索中英文文献。致力于提供最便捷和优质的服务体验。 Copyright © 2023 布克学术 All rights reserved.
京ICP备2023020795号-1
ghs 京公网安备 11010802042870号
Book学术文献互助
Book学术文献互助群
群 号:604180095
Book学术官方微信