结直肠癌患者随机对照试验中饮食干预对身体活动的溢出效应

IF 5.5 1区 医学 Q1 NUTRITION & DIETETICS
Hege Berg Henriksen, Åshild Kolle, Andreas Stenling, Ingvild Paur, Siv Kjølsrud Bøhn, Pernille Brøto, Tuva Syrdal Tronstad, Rune Blomhoff, Sveinung Berntsen
{"title":"结直肠癌患者随机对照试验中饮食干预对身体活动的溢出效应","authors":"Hege Berg Henriksen, Åshild Kolle, Andreas Stenling, Ingvild Paur, Siv Kjølsrud Bøhn, Pernille Brøto, Tuva Syrdal Tronstad, Rune Blomhoff, Sveinung Berntsen","doi":"10.1186/s12966-025-01757-0","DOIUrl":null,"url":null,"abstract":"<p><strong>Background: </strong>Randomized controlled studies (RCTs) targeting dietary changes may also lead to other, untargeted changes in lifestyle habits, as spillover effects. In particular, the isolated impact of the dietary intervention may be difficult to separate due to spillover effects from changes in physical activity and physical function. Therefore, the aim of this study was to investigate the spillover effect of a one-year dietary intervention in post-surgery colorectal cancer patients by comparing the changes in physical activity and physical function between the diet intervention group and the control group in a randomized controlled trial, called the CRC-NORDIET study.</p><p><strong>Methods: </strong>Men and women, aged 50-80 years were randomized into either the intervention group (n = 240) or the control group (n = 229). Both groups received similar incentives on physical activity. Activity sensors were used to collect data on physical activity at baseline, 6 months, and 12 months. Physical function was estimated by results from handgrip strength, 30 s sit-to-stand test and 6-min walking test. Anthropometric measurements and body composition were also measured.</p><p><strong>Results: </strong>We found a significantly higher increase in moderate-to-vigorous intensity physical activity (MVPA) of 0.18 h per day from baseline to 6 months in the diet intervention group compared to the control group, respectively. However, the spillover effect of the dietary intervention on physical activity diminished to 0.10 h per day at 12 months follow-up which was not statistically significantly different (p = 0.24) from the control group. All measures of physical function increased in both groups from baseline to 6 months with no further increase at the 12-month follow-up.</p><p><strong>Conclusions: </strong>The dietary intervention did not induce a significant spillover effect on physical activity after 12 months of baseline, which was the main timepoint of the intervention. Providing identical physical activity guidance to both study groups during the 12-month intensive dietary intervention period, ensured comparable levels of physical activity across both study groups. This approach facilitated the isolation and analysis of the dietary intervention's effects on primary endpoints, as well as effects of behaviour interventions in secondary preventions, such as the CRC-NORDIET study.</p><p><strong>Trial registration: </strong>The study is registered on the National Institutes of Health Clinical Trials website ( www.</p><p><strong>Clinicaltrials: </strong>gov ; Identifier: NCT01570010).</p>","PeriodicalId":50336,"journal":{"name":"International Journal of Behavioral Nutrition and Physical Activity","volume":"22 1","pages":"54"},"PeriodicalIF":5.5000,"publicationDate":"2025-05-09","publicationTypes":"Journal Article","fieldsOfStudy":null,"isOpenAccess":false,"openAccessPdf":"https://www.ncbi.nlm.nih.gov/pmc/articles/PMC12063259/pdf/","citationCount":"0","resultStr":"{\"title\":\"Spillover effect of a dietary intervention on physical activity in a randomized controlled trial with colorectal cancer patients.\",\"authors\":\"Hege Berg Henriksen, Åshild Kolle, Andreas Stenling, Ingvild Paur, Siv Kjølsrud Bøhn, Pernille Brøto, Tuva Syrdal Tronstad, Rune Blomhoff, Sveinung Berntsen\",\"doi\":\"10.1186/s12966-025-01757-0\",\"DOIUrl\":null,\"url\":null,\"abstract\":\"<p><strong>Background: </strong>Randomized controlled studies (RCTs) targeting dietary changes may also lead to other, untargeted changes in lifestyle habits, as spillover effects. In particular, the isolated impact of the dietary intervention may be difficult to separate due to spillover effects from changes in physical activity and physical function. Therefore, the aim of this study was to investigate the spillover effect of a one-year dietary intervention in post-surgery colorectal cancer patients by comparing the changes in physical activity and physical function between the diet intervention group and the control group in a randomized controlled trial, called the CRC-NORDIET study.</p><p><strong>Methods: </strong>Men and women, aged 50-80 years were randomized into either the intervention group (n = 240) or the control group (n = 229). Both groups received similar incentives on physical activity. Activity sensors were used to collect data on physical activity at baseline, 6 months, and 12 months. Physical function was estimated by results from handgrip strength, 30 s sit-to-stand test and 6-min walking test. Anthropometric measurements and body composition were also measured.</p><p><strong>Results: </strong>We found a significantly higher increase in moderate-to-vigorous intensity physical activity (MVPA) of 0.18 h per day from baseline to 6 months in the diet intervention group compared to the control group, respectively. However, the spillover effect of the dietary intervention on physical activity diminished to 0.10 h per day at 12 months follow-up which was not statistically significantly different (p = 0.24) from the control group. All measures of physical function increased in both groups from baseline to 6 months with no further increase at the 12-month follow-up.</p><p><strong>Conclusions: </strong>The dietary intervention did not induce a significant spillover effect on physical activity after 12 months of baseline, which was the main timepoint of the intervention. Providing identical physical activity guidance to both study groups during the 12-month intensive dietary intervention period, ensured comparable levels of physical activity across both study groups. This approach facilitated the isolation and analysis of the dietary intervention's effects on primary endpoints, as well as effects of behaviour interventions in secondary preventions, such as the CRC-NORDIET study.</p><p><strong>Trial registration: </strong>The study is registered on the National Institutes of Health Clinical Trials website ( www.</p><p><strong>Clinicaltrials: </strong>gov ; Identifier: NCT01570010).</p>\",\"PeriodicalId\":50336,\"journal\":{\"name\":\"International Journal of Behavioral Nutrition and Physical Activity\",\"volume\":\"22 1\",\"pages\":\"54\"},\"PeriodicalIF\":5.5000,\"publicationDate\":\"2025-05-09\",\"publicationTypes\":\"Journal Article\",\"fieldsOfStudy\":null,\"isOpenAccess\":false,\"openAccessPdf\":\"https://www.ncbi.nlm.nih.gov/pmc/articles/PMC12063259/pdf/\",\"citationCount\":\"0\",\"resultStr\":null,\"platform\":\"Semanticscholar\",\"paperid\":null,\"PeriodicalName\":\"International Journal of Behavioral Nutrition and Physical Activity\",\"FirstCategoryId\":\"3\",\"ListUrlMain\":\"https://doi.org/10.1186/s12966-025-01757-0\",\"RegionNum\":1,\"RegionCategory\":\"医学\",\"ArticlePicture\":[],\"TitleCN\":null,\"AbstractTextCN\":null,\"PMCID\":null,\"EPubDate\":\"\",\"PubModel\":\"\",\"JCR\":\"Q1\",\"JCRName\":\"NUTRITION & DIETETICS\",\"Score\":null,\"Total\":0}","platform":"Semanticscholar","paperid":null,"PeriodicalName":"International Journal of Behavioral Nutrition and Physical Activity","FirstCategoryId":"3","ListUrlMain":"https://doi.org/10.1186/s12966-025-01757-0","RegionNum":1,"RegionCategory":"医学","ArticlePicture":[],"TitleCN":null,"AbstractTextCN":null,"PMCID":null,"EPubDate":"","PubModel":"","JCR":"Q1","JCRName":"NUTRITION & DIETETICS","Score":null,"Total":0}
引用次数: 0

摘要

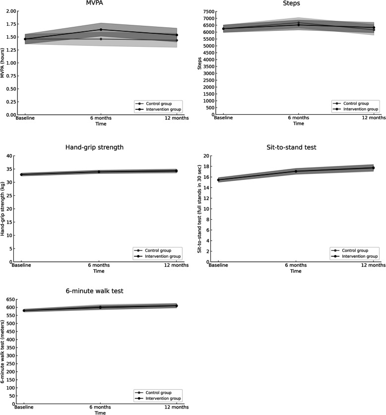
背景:以饮食改变为目标的随机对照研究(rct)也可能导致其他非目标的生活习惯改变,如溢出效应。特别是,由于身体活动和身体功能变化的溢出效应,饮食干预的孤立影响可能难以分离。因此,本研究的目的是通过一项随机对照试验CRC-NORDIET研究,通过比较饮食干预组与对照组在身体活动和身体功能方面的变化,探讨饮食干预对结直肠癌术后患者的溢出效应。方法:50 ~ 80岁的男性和女性随机分为干预组(n = 240)和对照组(n = 229)。两组人在体育锻炼方面都得到了类似的奖励。使用活动传感器收集基线、6个月和12个月时的身体活动数据。通过握力测试、30 s坐立测试和6 min步行测试来评估身体功能。还测量了人体测量值和身体成分。结果:我们发现,与对照组相比,饮食干预组在基线至6个月期间每天增加0.18小时的中等至高强度体力活动(MVPA)。然而,在12个月的随访中,饮食干预对身体活动的溢出效应减少到每天0.10小时,与对照组相比差异无统计学意义(p = 0.24)。从基线到6个月,两组的所有身体功能指标都有所增加,在12个月的随访中没有进一步增加。结论:饮食干预在基线12个月后没有对身体活动产生显著的溢出效应,这是干预的主要时间点。在12个月的强化饮食干预期间,为两个研究组提供相同的身体活动指导,确保两个研究组的身体活动水平相当。这种方法有助于分离和分析饮食干预对主要终点的影响,以及行为干预对二级预防的影响,如CRC-NORDIET研究。试验注册:该研究已在美国国立卫生研究院临床试验网站(www.Clinicaltrials: gov;标识符:NCT01570010)。
本文章由计算机程序翻译,如有差异,请以英文原文为准。

Spillover effect of a dietary intervention on physical activity in a randomized controlled trial with colorectal cancer patients.

Spillover effect of a dietary intervention on physical activity in a randomized controlled trial with colorectal cancer patients.

Spillover effect of a dietary intervention on physical activity in a randomized controlled trial with colorectal cancer patients.

Background: Randomized controlled studies (RCTs) targeting dietary changes may also lead to other, untargeted changes in lifestyle habits, as spillover effects. In particular, the isolated impact of the dietary intervention may be difficult to separate due to spillover effects from changes in physical activity and physical function. Therefore, the aim of this study was to investigate the spillover effect of a one-year dietary intervention in post-surgery colorectal cancer patients by comparing the changes in physical activity and physical function between the diet intervention group and the control group in a randomized controlled trial, called the CRC-NORDIET study.

Methods: Men and women, aged 50-80 years were randomized into either the intervention group (n = 240) or the control group (n = 229). Both groups received similar incentives on physical activity. Activity sensors were used to collect data on physical activity at baseline, 6 months, and 12 months. Physical function was estimated by results from handgrip strength, 30 s sit-to-stand test and 6-min walking test. Anthropometric measurements and body composition were also measured.

Results: We found a significantly higher increase in moderate-to-vigorous intensity physical activity (MVPA) of 0.18 h per day from baseline to 6 months in the diet intervention group compared to the control group, respectively. However, the spillover effect of the dietary intervention on physical activity diminished to 0.10 h per day at 12 months follow-up which was not statistically significantly different (p = 0.24) from the control group. All measures of physical function increased in both groups from baseline to 6 months with no further increase at the 12-month follow-up.

Conclusions: The dietary intervention did not induce a significant spillover effect on physical activity after 12 months of baseline, which was the main timepoint of the intervention. Providing identical physical activity guidance to both study groups during the 12-month intensive dietary intervention period, ensured comparable levels of physical activity across both study groups. This approach facilitated the isolation and analysis of the dietary intervention's effects on primary endpoints, as well as effects of behaviour interventions in secondary preventions, such as the CRC-NORDIET study.

Trial registration: The study is registered on the National Institutes of Health Clinical Trials website ( www.

Clinicaltrials: gov ; Identifier: NCT01570010).

求助全文
通过发布文献求助,成功后即可免费获取论文全文。 去求助
来源期刊
CiteScore
13.80
自引率
3.40%
发文量
138
审稿时长
4-8 weeks
期刊介绍: International Journal of Behavioral Nutrition and Physical Activity (IJBNPA) is an open access, peer-reviewed journal offering high quality articles, rapid publication and wide diffusion in the public domain. IJBNPA is devoted to furthering the understanding of the behavioral aspects of diet and physical activity and is unique in its inclusion of multiple levels of analysis, including populations, groups and individuals and its inclusion of epidemiology, and behavioral, theoretical and measurement research areas.
×
引用
GB/T 7714-2015
复制
MLA
复制
APA
复制
导出至
BibTeX EndNote RefMan NoteFirst NoteExpress
×
提示
您的信息不完整,为了账户安全,请先补充。
现在去补充
×
提示
您因"违规操作"
具体请查看互助需知
我知道了
×
提示
确定
请完成安全验证×
copy
已复制链接
快去分享给好友吧!
我知道了
右上角分享
点击右上角分享
0
联系我们:info@booksci.cn Book学术提供免费学术资源搜索服务,方便国内外学者检索中英文文献。致力于提供最便捷和优质的服务体验。 Copyright © 2023 布克学术 All rights reserved.
京ICP备2023020795号-1
ghs 京公网安备 11010802042870号
Book学术文献互助
Book学术文献互助群
群 号:604180095
Book学术官方微信