休闲和工作中的久坐行为和身体活动对睡眠时间的影响:NHANES 2017-2018的数据。

Luciene Teixeira Paixão, Layana Amaral Neves, Luiz Antônio Alves de Menezes-Júnior
{"title":"休闲和工作中的久坐行为和身体活动对睡眠时间的影响:NHANES 2017-2018的数据。","authors":"Luciene Teixeira Paixão, Layana Amaral Neves, Luiz Antônio Alves de Menezes-Júnior","doi":"10.1186/s44167-024-00067-3","DOIUrl":null,"url":null,"abstract":"<p><strong>Objective: </strong>To evaluate the association between sedentary behavior (SB), moderate to vigorous physical activity (MVPA), and sleep duration.</p><p><strong>Methods: </strong>Data from the 2017-2018 National Health and Nutrition Examination Survey (NHANES) was analyzed. SB was assessed based on the average daily sitting time, while MVPA was estimated by the frequency and duration of leisure and work-related activities. The ratio of time spent in MVPA to time in SB was analyzed, and a thresholds of ≥ 1.0, 2.5 and 10 min of MVPA per sedentary hour was used to determine sufficiency for mitigating the effects of a sedentary lifestyle. Sleep duration was measured by the average hours slept on weekdays and weekends, classified according to National Sleep Foundation guidelines. The measures of SB, MVPA, and sleep were self-reported. Descriptive statistics were used to characterize the sample, and multivariate logistic regression was applied to assess the associations between movement behaviors and sleep duration.</p><p><strong>Results: </strong>The study included 5,533 participants, with 51.8% women, predominantly aged 26-64 years (66.1%). Insufficient physical activity was reported by 59.6% at work and 62.5% during leisure time. Recommended sleep duration was observed in 84.4% of the sample. Adjusted multivariate analysis revealed that individuals engaging in ≥ 2.5 min of MVPA during leisure-time for each sedentary hour were 38.9% less likely to experience short-term sleep (OR:0.72;95%CI:0.53-0.97). Conversely, those who performed the same amount of MVPA at work were 57.0% more likely to have short-term sleep (OR:1.57;95%CI:1.16-2.12).</p><p><strong>Conclusion: </strong>Meeting the MVPA threshold during leisure-time reduces the likelihood of short-term sleep, while higher MVPA levels at work increase the likelihood of short-term sleep.</p>","PeriodicalId":73581,"journal":{"name":"Journal of activity, sedentary and sleep behaviors","volume":"3 1","pages":"26"},"PeriodicalIF":0.0000,"publicationDate":"2024-10-31","publicationTypes":"Journal Article","fieldsOfStudy":null,"isOpenAccess":false,"openAccessPdf":"https://www.ncbi.nlm.nih.gov/pmc/articles/PMC11960322/pdf/","citationCount":"0","resultStr":"{\"title\":\"Influence of sedentary behavior and physical activity in leisure and work on sleep duration: data from NHANES 2017-2018.\",\"authors\":\"Luciene Teixeira Paixão, Layana Amaral Neves, Luiz Antônio Alves de Menezes-Júnior\",\"doi\":\"10.1186/s44167-024-00067-3\",\"DOIUrl\":null,\"url\":null,\"abstract\":\"<p><strong>Objective: </strong>To evaluate the association between sedentary behavior (SB), moderate to vigorous physical activity (MVPA), and sleep duration.</p><p><strong>Methods: </strong>Data from the 2017-2018 National Health and Nutrition Examination Survey (NHANES) was analyzed. SB was assessed based on the average daily sitting time, while MVPA was estimated by the frequency and duration of leisure and work-related activities. The ratio of time spent in MVPA to time in SB was analyzed, and a thresholds of ≥ 1.0, 2.5 and 10 min of MVPA per sedentary hour was used to determine sufficiency for mitigating the effects of a sedentary lifestyle. Sleep duration was measured by the average hours slept on weekdays and weekends, classified according to National Sleep Foundation guidelines. The measures of SB, MVPA, and sleep were self-reported. Descriptive statistics were used to characterize the sample, and multivariate logistic regression was applied to assess the associations between movement behaviors and sleep duration.</p><p><strong>Results: </strong>The study included 5,533 participants, with 51.8% women, predominantly aged 26-64 years (66.1%). Insufficient physical activity was reported by 59.6% at work and 62.5% during leisure time. Recommended sleep duration was observed in 84.4% of the sample. Adjusted multivariate analysis revealed that individuals engaging in ≥ 2.5 min of MVPA during leisure-time for each sedentary hour were 38.9% less likely to experience short-term sleep (OR:0.72;95%CI:0.53-0.97). Conversely, those who performed the same amount of MVPA at work were 57.0% more likely to have short-term sleep (OR:1.57;95%CI:1.16-2.12).</p><p><strong>Conclusion: </strong>Meeting the MVPA threshold during leisure-time reduces the likelihood of short-term sleep, while higher MVPA levels at work increase the likelihood of short-term sleep.</p>\",\"PeriodicalId\":73581,\"journal\":{\"name\":\"Journal of activity, sedentary and sleep behaviors\",\"volume\":\"3 1\",\"pages\":\"26\"},\"PeriodicalIF\":0.0000,\"publicationDate\":\"2024-10-31\",\"publicationTypes\":\"Journal Article\",\"fieldsOfStudy\":null,\"isOpenAccess\":false,\"openAccessPdf\":\"https://www.ncbi.nlm.nih.gov/pmc/articles/PMC11960322/pdf/\",\"citationCount\":\"0\",\"resultStr\":null,\"platform\":\"Semanticscholar\",\"paperid\":null,\"PeriodicalName\":\"Journal of activity, sedentary and sleep behaviors\",\"FirstCategoryId\":\"1085\",\"ListUrlMain\":\"https://doi.org/10.1186/s44167-024-00067-3\",\"RegionNum\":0,\"RegionCategory\":null,\"ArticlePicture\":[],\"TitleCN\":null,\"AbstractTextCN\":null,\"PMCID\":null,\"EPubDate\":\"\",\"PubModel\":\"\",\"JCR\":\"\",\"JCRName\":\"\",\"Score\":null,\"Total\":0}","platform":"Semanticscholar","paperid":null,"PeriodicalName":"Journal of activity, sedentary and sleep behaviors","FirstCategoryId":"1085","ListUrlMain":"https://doi.org/10.1186/s44167-024-00067-3","RegionNum":0,"RegionCategory":null,"ArticlePicture":[],"TitleCN":null,"AbstractTextCN":null,"PMCID":null,"EPubDate":"","PubModel":"","JCR":"","JCRName":"","Score":null,"Total":0}
引用次数: 0

摘要

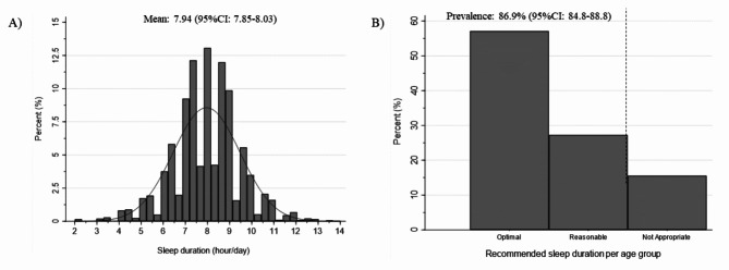
目的:探讨久坐行为(SB)、中高强度体力活动(MVPA)与睡眠时间的关系。方法:对2017-2018年全国健康与营养检查调查(NHANES)数据进行分析。SB是根据平均每天坐着的时间来评估的,而MVPA是根据休闲和工作相关活动的频率和持续时间来评估的。分析MVPA时间与SB时间之比,并采用每久坐小时MVPA≥1.0、2.5和10分钟的阈值来确定是否足以减轻久坐生活方式的影响。睡眠时间是根据工作日和周末的平均睡眠时间来衡量的,根据国家睡眠基金会的指导方针进行分类。SB、MVPA和睡眠测量均为自我报告。使用描述性统计来描述样本的特征,并使用多变量逻辑回归来评估运动行为与睡眠时间之间的关联。结果:该研究包括5533名参与者,其中51.8%为女性,主要年龄在26-64岁(66.1%)。59.6%的人在工作时间缺乏身体活动,62.5%的人在闲暇时间缺乏身体活动。84.4%的样本达到了建议的睡眠时间。调整后的多变量分析显示,在休闲时间每久坐一小时进行≥2.5分钟MVPA的个体,短期睡眠的可能性降低38.9% (OR:0.72;95%CI:0.53-0.97)。相反,那些在工作中进行相同量的MVPA的人有57.0%的可能性有短期睡眠(OR:1.57;95%CI:1.16-2.12)。结论:在休闲时间达到MVPA阈值会降低短期睡眠的可能性,而在工作时间达到较高的MVPA水平会增加短期睡眠的可能性。
本文章由计算机程序翻译,如有差异,请以英文原文为准。

Influence of sedentary behavior and physical activity in leisure and work on sleep duration: data from NHANES 2017-2018.

Influence of sedentary behavior and physical activity in leisure and work on sleep duration: data from NHANES 2017-2018.

Influence of sedentary behavior and physical activity in leisure and work on sleep duration: data from NHANES 2017-2018.

Influence of sedentary behavior and physical activity in leisure and work on sleep duration: data from NHANES 2017-2018.

Objective: To evaluate the association between sedentary behavior (SB), moderate to vigorous physical activity (MVPA), and sleep duration.

Methods: Data from the 2017-2018 National Health and Nutrition Examination Survey (NHANES) was analyzed. SB was assessed based on the average daily sitting time, while MVPA was estimated by the frequency and duration of leisure and work-related activities. The ratio of time spent in MVPA to time in SB was analyzed, and a thresholds of ≥ 1.0, 2.5 and 10 min of MVPA per sedentary hour was used to determine sufficiency for mitigating the effects of a sedentary lifestyle. Sleep duration was measured by the average hours slept on weekdays and weekends, classified according to National Sleep Foundation guidelines. The measures of SB, MVPA, and sleep were self-reported. Descriptive statistics were used to characterize the sample, and multivariate logistic regression was applied to assess the associations between movement behaviors and sleep duration.

Results: The study included 5,533 participants, with 51.8% women, predominantly aged 26-64 years (66.1%). Insufficient physical activity was reported by 59.6% at work and 62.5% during leisure time. Recommended sleep duration was observed in 84.4% of the sample. Adjusted multivariate analysis revealed that individuals engaging in ≥ 2.5 min of MVPA during leisure-time for each sedentary hour were 38.9% less likely to experience short-term sleep (OR:0.72;95%CI:0.53-0.97). Conversely, those who performed the same amount of MVPA at work were 57.0% more likely to have short-term sleep (OR:1.57;95%CI:1.16-2.12).

Conclusion: Meeting the MVPA threshold during leisure-time reduces the likelihood of short-term sleep, while higher MVPA levels at work increase the likelihood of short-term sleep.

求助全文
通过发布文献求助,成功后即可免费获取论文全文。 去求助
来源期刊
自引率
0.00%
发文量
0
×
引用
GB/T 7714-2015
复制
MLA
复制
APA
复制
导出至
BibTeX EndNote RefMan NoteFirst NoteExpress
×
提示
您的信息不完整,为了账户安全,请先补充。
现在去补充
×
提示
您因"违规操作"
具体请查看互助需知
我知道了
×
提示
确定
请完成安全验证×
copy
已复制链接
快去分享给好友吧!
我知道了
右上角分享
点击右上角分享
0
联系我们:info@booksci.cn Book学术提供免费学术资源搜索服务,方便国内外学者检索中英文文献。致力于提供最便捷和优质的服务体验。 Copyright © 2023 布克学术 All rights reserved.
京ICP备2023020795号-1
ghs 京公网安备 11010802042870号
Book学术文献互助
Book学术文献互助群
群 号:604180095
Book学术官方微信