手指关节活动的单摄像头运动捕捉作为类风湿关节炎疾病活动的数字生物标志物。

IF 2.1 Q3 RHEUMATOLOGY
Rheumatology Advances in Practice Pub Date : 2025-04-18 eCollection Date: 2025-01-01 DOI:10.1093/rap/rkae143
Vincenzo Venerito, Tobias Manigold, Marco Capodiferro, Deborah Markham, Marc Blanchard, Florenzo Iannone, Thomas Hügle
{"title":"手指关节活动的单摄像头运动捕捉作为类风湿关节炎疾病活动的数字生物标志物。","authors":"Vincenzo Venerito, Tobias Manigold, Marco Capodiferro, Deborah Markham, Marc Blanchard, Florenzo Iannone, Thomas Hügle","doi":"10.1093/rap/rkae143","DOIUrl":null,"url":null,"abstract":"<p><strong>Objective: </strong>To investigate the association between hand motion tracking features obtained through computer vision from smartphone cameras and disease activity in patients with RA.</p><p><strong>Methods: </strong>The PyPI package of MediaPipe (version 0.9.0.1) was used for key landmark detection. Finger joint angles were calculated in each frame using the normalized dot product of the vectors (equations). RA patients were instructed to perform a rapid repetition of five fist closures. Hand movements were captured using standard smartphone cameras. Kinetic features time to maximum flexion for MCP, PIP and DIP joints were correlated with RA disease activity and disability outcomes. Logistic regression was used to investigate associations of range of motion and kinetic features with 28-joint DAS (DAS28) low disease activity/remission.</p><p><strong>Results: </strong>Our model showed promising performance in predicting low disease activity/remission in RA patients. Internal validation using 5-fold cross-validation on the training dataset (<i>n</i> = 81) yielded a mean accuracy of 0.72 (s.d. 0.09), specificity of 0.65 (s.d. 0.17), recall of 0.86 (s.d. 0.05) and area under the receiver operating characteristics curve (AUROC) of 0.80 (s.d. 0.09). External validation on the test dataset (<i>n</i> = 19) demonstrated improved performance with an accuracy of 0.84, specificity of 0.75, recall of 0.91 and AUROC of 0.89. Greater PIP and DIP joint angle changes, along with faster time to maximal flexion, were associated with lower disease activity. Significant correlations were observed between kinetic metrics and standard clinical measures, including DAS28, swollen joint count, tender joint count and HAQ Disability Index.</p><p><strong>Conclusion: </strong>Single-camera motion capture of repeated fist closure may serve as an accessible digital biomarker for disease activity in RA.</p>","PeriodicalId":21350,"journal":{"name":"Rheumatology Advances in Practice","volume":"9 2","pages":"rkae143"},"PeriodicalIF":2.1000,"publicationDate":"2025-04-18","publicationTypes":"Journal Article","fieldsOfStudy":null,"isOpenAccess":false,"openAccessPdf":"https://www.ncbi.nlm.nih.gov/pmc/articles/PMC12007596/pdf/","citationCount":"0","resultStr":"{\"title\":\"Single-camera motion capture of finger joint mobility as a digital biomarker for disease activity in rheumatoid arthritis.\",\"authors\":\"Vincenzo Venerito, Tobias Manigold, Marco Capodiferro, Deborah Markham, Marc Blanchard, Florenzo Iannone, Thomas Hügle\",\"doi\":\"10.1093/rap/rkae143\",\"DOIUrl\":null,\"url\":null,\"abstract\":\"<p><strong>Objective: </strong>To investigate the association between hand motion tracking features obtained through computer vision from smartphone cameras and disease activity in patients with RA.</p><p><strong>Methods: </strong>The PyPI package of MediaPipe (version 0.9.0.1) was used for key landmark detection. Finger joint angles were calculated in each frame using the normalized dot product of the vectors (equations). RA patients were instructed to perform a rapid repetition of five fist closures. Hand movements were captured using standard smartphone cameras. Kinetic features time to maximum flexion for MCP, PIP and DIP joints were correlated with RA disease activity and disability outcomes. Logistic regression was used to investigate associations of range of motion and kinetic features with 28-joint DAS (DAS28) low disease activity/remission.</p><p><strong>Results: </strong>Our model showed promising performance in predicting low disease activity/remission in RA patients. Internal validation using 5-fold cross-validation on the training dataset (<i>n</i> = 81) yielded a mean accuracy of 0.72 (s.d. 0.09), specificity of 0.65 (s.d. 0.17), recall of 0.86 (s.d. 0.05) and area under the receiver operating characteristics curve (AUROC) of 0.80 (s.d. 0.09). External validation on the test dataset (<i>n</i> = 19) demonstrated improved performance with an accuracy of 0.84, specificity of 0.75, recall of 0.91 and AUROC of 0.89. Greater PIP and DIP joint angle changes, along with faster time to maximal flexion, were associated with lower disease activity. Significant correlations were observed between kinetic metrics and standard clinical measures, including DAS28, swollen joint count, tender joint count and HAQ Disability Index.</p><p><strong>Conclusion: </strong>Single-camera motion capture of repeated fist closure may serve as an accessible digital biomarker for disease activity in RA.</p>\",\"PeriodicalId\":21350,\"journal\":{\"name\":\"Rheumatology Advances in Practice\",\"volume\":\"9 2\",\"pages\":\"rkae143\"},\"PeriodicalIF\":2.1000,\"publicationDate\":\"2025-04-18\",\"publicationTypes\":\"Journal Article\",\"fieldsOfStudy\":null,\"isOpenAccess\":false,\"openAccessPdf\":\"https://www.ncbi.nlm.nih.gov/pmc/articles/PMC12007596/pdf/\",\"citationCount\":\"0\",\"resultStr\":null,\"platform\":\"Semanticscholar\",\"paperid\":null,\"PeriodicalName\":\"Rheumatology Advances in Practice\",\"FirstCategoryId\":\"1085\",\"ListUrlMain\":\"https://doi.org/10.1093/rap/rkae143\",\"RegionNum\":0,\"RegionCategory\":null,\"ArticlePicture\":[],\"TitleCN\":null,\"AbstractTextCN\":null,\"PMCID\":null,\"EPubDate\":\"2025/1/1 0:00:00\",\"PubModel\":\"eCollection\",\"JCR\":\"Q3\",\"JCRName\":\"RHEUMATOLOGY\",\"Score\":null,\"Total\":0}","platform":"Semanticscholar","paperid":null,"PeriodicalName":"Rheumatology Advances in Practice","FirstCategoryId":"1085","ListUrlMain":"https://doi.org/10.1093/rap/rkae143","RegionNum":0,"RegionCategory":null,"ArticlePicture":[],"TitleCN":null,"AbstractTextCN":null,"PMCID":null,"EPubDate":"2025/1/1 0:00:00","PubModel":"eCollection","JCR":"Q3","JCRName":"RHEUMATOLOGY","Score":null,"Total":0}
引用次数: 0

摘要

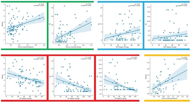
目的:探讨智能手机相机计算机视觉获取的手部运动跟踪特征与RA患者疾病活动的关系。方法:使用MediaPipe软件0.9.0.1版本的PyPI包进行关键地标检测。在每一帧中使用向量(方程)的归一化点积计算手指关节角度。RA患者被指示快速重复五次拳头闭合。他们用标准的智能手机摄像头捕捉手部动作。MCP、PIP和DIP关节的动力学特征与RA疾病活动性和残疾结局相关。采用Logistic回归研究活动范围和动力学特征与28关节DAS (DAS28)低疾病活动性/缓解的关系。结果:我们的模型在预测RA患者的低疾病活动性/缓解方面表现良好。在训练数据集(n = 81)上使用5倍交叉验证进行内部验证,平均准确率为0.72 (s.d. 0.09),特异性为0.65 (s.d. 0.17),召回率为0.86 (s.d. 0.05),受试者工作特征曲线下面积(AUROC)为0.80 (s.d. 0.09)。在测试数据集(n = 19)上进行的外部验证表明,该方法的准确性为0.84,特异性为0.75,召回率为0.91,AUROC为0.89。PIP和DIP关节角度变化越大,达到最大屈曲的时间越短,疾病活动度越低。动力学指标与标准临床指标之间存在显著相关性,包括DAS28、肿胀关节计数、压痛关节计数和HAQ残疾指数。结论:单镜头运动捕捉可作为RA疾病活动性的数字生物标志物。
本文章由计算机程序翻译,如有差异,请以英文原文为准。

Single-camera motion capture of finger joint mobility as a digital biomarker for disease activity in rheumatoid arthritis.

Single-camera motion capture of finger joint mobility as a digital biomarker for disease activity in rheumatoid arthritis.

Single-camera motion capture of finger joint mobility as a digital biomarker for disease activity in rheumatoid arthritis.

Single-camera motion capture of finger joint mobility as a digital biomarker for disease activity in rheumatoid arthritis.

Objective: To investigate the association between hand motion tracking features obtained through computer vision from smartphone cameras and disease activity in patients with RA.

Methods: The PyPI package of MediaPipe (version 0.9.0.1) was used for key landmark detection. Finger joint angles were calculated in each frame using the normalized dot product of the vectors (equations). RA patients were instructed to perform a rapid repetition of five fist closures. Hand movements were captured using standard smartphone cameras. Kinetic features time to maximum flexion for MCP, PIP and DIP joints were correlated with RA disease activity and disability outcomes. Logistic regression was used to investigate associations of range of motion and kinetic features with 28-joint DAS (DAS28) low disease activity/remission.

Results: Our model showed promising performance in predicting low disease activity/remission in RA patients. Internal validation using 5-fold cross-validation on the training dataset (n = 81) yielded a mean accuracy of 0.72 (s.d. 0.09), specificity of 0.65 (s.d. 0.17), recall of 0.86 (s.d. 0.05) and area under the receiver operating characteristics curve (AUROC) of 0.80 (s.d. 0.09). External validation on the test dataset (n = 19) demonstrated improved performance with an accuracy of 0.84, specificity of 0.75, recall of 0.91 and AUROC of 0.89. Greater PIP and DIP joint angle changes, along with faster time to maximal flexion, were associated with lower disease activity. Significant correlations were observed between kinetic metrics and standard clinical measures, including DAS28, swollen joint count, tender joint count and HAQ Disability Index.

Conclusion: Single-camera motion capture of repeated fist closure may serve as an accessible digital biomarker for disease activity in RA.

求助全文
通过发布文献求助,成功后即可免费获取论文全文。 去求助
来源期刊
Rheumatology Advances in Practice
Rheumatology Advances in Practice Medicine-Rheumatology
CiteScore
3.60
自引率
3.20%
发文量
197
审稿时长
11 weeks
×
引用
GB/T 7714-2015
复制
MLA
复制
APA
复制
导出至
BibTeX EndNote RefMan NoteFirst NoteExpress
×
提示
您的信息不完整,为了账户安全,请先补充。
现在去补充
×
提示
您因"违规操作"
具体请查看互助需知
我知道了
×
提示
确定
请完成安全验证×
copy
已复制链接
快去分享给好友吧!
我知道了
右上角分享
点击右上角分享
0
联系我们:info@booksci.cn Book学术提供免费学术资源搜索服务,方便国内外学者检索中英文文献。致力于提供最便捷和优质的服务体验。 Copyright © 2023 布克学术 All rights reserved.
京ICP备2023020795号-1
ghs 京公网安备 11010802042870号
Book学术文献互助
Book学术文献互助群
群 号:604180095
Book学术官方微信