老年与中年患者小流量麻醉的比较研究。

IF 0.9 Q3 ANESTHESIOLOGY
Sinan Ünsal, Gülay Erdoğan Kayhan, Meryem Onay, Mehmet Sacit Güleç
{"title":"老年与中年患者小流量麻醉的比较研究。","authors":"Sinan Ünsal, Gülay Erdoğan Kayhan, Meryem Onay, Mehmet Sacit Güleç","doi":"10.4274/TJAR.2025.241740","DOIUrl":null,"url":null,"abstract":"<p><strong>Objective: </strong>Minimal flow anaesthesia reduces costs and environmental pollution, and has a protective effect on the respiratory tract. This study aimed to compare the ease and tolerability of minimal flow anaesthesia in the geriatric and middle-aged patient populations.</p><p><strong>Methods: </strong>In this prospective study, we enrolled 40 patients between 18 and 50 years (Group Y) and 40 patients 65 years or older (Group E), scheduled for abdominal surgery under general anaesthesia. Following a period of high flow with desflurane in O<sub>2</sub>/air, the fresh gas flow was reduced to 350 mL min<sup>-1</sup>. Desflurane concentration was adjusted to maintain a bispectral index between 40 and 50. The oxygen concentration in fresh gas flow was titrated by ±10%. Throughout the surgery, gas concentrations, oxygenation parameters, hemodynamic data, and the depth of anaesthesia were monitored. The number of alterations in fresh gas oxygen and desflurane concentrations was recorded.</p><p><strong>Results: </strong>The depth of anaesthesia and oxygenation parameters were adequately sustained within safe limits among all patients, while the number of changes in the fresh gas flow oxygen levels was found to be significantly lower in geriatric patients. The increase in the number of oxygen level was 1.1±0.8 in Group E and 1.8±1.2 in Group Y (<i>P</i>=0.006). Total alteration in oxygen was 1.2±1 in Group E and 1.9±1.3 in Group Y (<i>P</i>=0.01). Oxygenation parameters consistently remained within clinically acceptable ranges in both groups, and the amount of change in desflurane concentration showed no intergroup difference.</p><p><strong>Conclusion: </strong>Administering minimal flow anaesthesia at a rate of 350 mL min<sup>-1</sup> in the geriatric population, compared to the younger population, can be performed requiring less manipulation, without inducing hypoxia or inadvertent awareness.</p>","PeriodicalId":23353,"journal":{"name":"Turkish journal of anaesthesiology and reanimation","volume":" ","pages":"147-156"},"PeriodicalIF":0.9000,"publicationDate":"2025-07-24","publicationTypes":"Journal Article","fieldsOfStudy":null,"isOpenAccess":false,"openAccessPdf":"https://www.ncbi.nlm.nih.gov/pmc/articles/PMC12288436/pdf/","citationCount":"0","resultStr":"{\"title\":\"A Comparative Study on Minimal Flow Anaesthesia in Geriatric and Middle-aged Patients.\",\"authors\":\"Sinan Ünsal, Gülay Erdoğan Kayhan, Meryem Onay, Mehmet Sacit Güleç\",\"doi\":\"10.4274/TJAR.2025.241740\",\"DOIUrl\":null,\"url\":null,\"abstract\":\"<p><strong>Objective: </strong>Minimal flow anaesthesia reduces costs and environmental pollution, and has a protective effect on the respiratory tract. This study aimed to compare the ease and tolerability of minimal flow anaesthesia in the geriatric and middle-aged patient populations.</p><p><strong>Methods: </strong>In this prospective study, we enrolled 40 patients between 18 and 50 years (Group Y) and 40 patients 65 years or older (Group E), scheduled for abdominal surgery under general anaesthesia. Following a period of high flow with desflurane in O<sub>2</sub>/air, the fresh gas flow was reduced to 350 mL min<sup>-1</sup>. Desflurane concentration was adjusted to maintain a bispectral index between 40 and 50. The oxygen concentration in fresh gas flow was titrated by ±10%. Throughout the surgery, gas concentrations, oxygenation parameters, hemodynamic data, and the depth of anaesthesia were monitored. The number of alterations in fresh gas oxygen and desflurane concentrations was recorded.</p><p><strong>Results: </strong>The depth of anaesthesia and oxygenation parameters were adequately sustained within safe limits among all patients, while the number of changes in the fresh gas flow oxygen levels was found to be significantly lower in geriatric patients. The increase in the number of oxygen level was 1.1±0.8 in Group E and 1.8±1.2 in Group Y (<i>P</i>=0.006). Total alteration in oxygen was 1.2±1 in Group E and 1.9±1.3 in Group Y (<i>P</i>=0.01). Oxygenation parameters consistently remained within clinically acceptable ranges in both groups, and the amount of change in desflurane concentration showed no intergroup difference.</p><p><strong>Conclusion: </strong>Administering minimal flow anaesthesia at a rate of 350 mL min<sup>-1</sup> in the geriatric population, compared to the younger population, can be performed requiring less manipulation, without inducing hypoxia or inadvertent awareness.</p>\",\"PeriodicalId\":23353,\"journal\":{\"name\":\"Turkish journal of anaesthesiology and reanimation\",\"volume\":\" \",\"pages\":\"147-156\"},\"PeriodicalIF\":0.9000,\"publicationDate\":\"2025-07-24\",\"publicationTypes\":\"Journal Article\",\"fieldsOfStudy\":null,\"isOpenAccess\":false,\"openAccessPdf\":\"https://www.ncbi.nlm.nih.gov/pmc/articles/PMC12288436/pdf/\",\"citationCount\":\"0\",\"resultStr\":null,\"platform\":\"Semanticscholar\",\"paperid\":null,\"PeriodicalName\":\"Turkish journal of anaesthesiology and reanimation\",\"FirstCategoryId\":\"1085\",\"ListUrlMain\":\"https://doi.org/10.4274/TJAR.2025.241740\",\"RegionNum\":0,\"RegionCategory\":null,\"ArticlePicture\":[],\"TitleCN\":null,\"AbstractTextCN\":null,\"PMCID\":null,\"EPubDate\":\"2025/5/14 0:00:00\",\"PubModel\":\"Epub\",\"JCR\":\"Q3\",\"JCRName\":\"ANESTHESIOLOGY\",\"Score\":null,\"Total\":0}","platform":"Semanticscholar","paperid":null,"PeriodicalName":"Turkish journal of anaesthesiology and reanimation","FirstCategoryId":"1085","ListUrlMain":"https://doi.org/10.4274/TJAR.2025.241740","RegionNum":0,"RegionCategory":null,"ArticlePicture":[],"TitleCN":null,"AbstractTextCN":null,"PMCID":null,"EPubDate":"2025/5/14 0:00:00","PubModel":"Epub","JCR":"Q3","JCRName":"ANESTHESIOLOGY","Score":null,"Total":0}
引用次数: 0

摘要

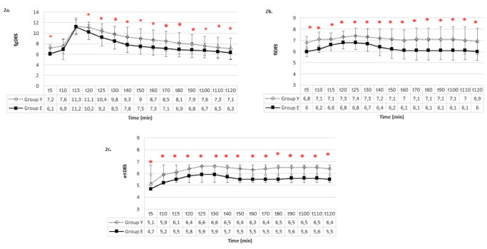
目的:小流量麻醉降低成本和环境污染,对呼吸道有保护作用。本研究旨在比较老年和中年患者人群中最小流量麻醉的易用性和耐受性。方法:在这项前瞻性研究中,我们招募了40名年龄在18 - 50岁之间的患者(Y组)和40名年龄在65岁或以上的患者(E组),计划在全身麻醉下进行腹部手术。地氟醚在O2/空气中高流量一段时间后,新鲜气体流量减少到350 mL min-1。调整地氟醚浓度,使双谱指数保持在40和50之间。将新鲜气流中的氧浓度滴定±10%。在整个手术过程中,监测气体浓度、氧合参数、血流动力学数据和麻醉深度。记录了新鲜气体氧和地氟醚浓度的变化次数。结果:所有患者的麻醉深度和氧合参数均在安全范围内得到充分维持,而老年患者的新鲜气体流量氧水平变化次数明显较低。E组血氧水平增加1.1±0.8个,Y组血氧水平增加1.8±1.2个(P=0.006)。E组总氧变化为1.2±1,Y组总氧变化为1.9±1.3 (P=0.01)。两组氧合参数均保持在临床可接受范围内,地氟醚浓度变化量无组间差异。结论:与年轻人群相比,在老年人群中以350 mL / 1的速度进行小流量麻醉,可以减少操作,不会引起缺氧或无意的意识。
本文章由计算机程序翻译,如有差异,请以英文原文为准。

A Comparative Study on Minimal Flow Anaesthesia in Geriatric and Middle-aged Patients.

A Comparative Study on Minimal Flow Anaesthesia in Geriatric and Middle-aged Patients.

A Comparative Study on Minimal Flow Anaesthesia in Geriatric and Middle-aged Patients.

A Comparative Study on Minimal Flow Anaesthesia in Geriatric and Middle-aged Patients.

Objective: Minimal flow anaesthesia reduces costs and environmental pollution, and has a protective effect on the respiratory tract. This study aimed to compare the ease and tolerability of minimal flow anaesthesia in the geriatric and middle-aged patient populations.

Methods: In this prospective study, we enrolled 40 patients between 18 and 50 years (Group Y) and 40 patients 65 years or older (Group E), scheduled for abdominal surgery under general anaesthesia. Following a period of high flow with desflurane in O2/air, the fresh gas flow was reduced to 350 mL min-1. Desflurane concentration was adjusted to maintain a bispectral index between 40 and 50. The oxygen concentration in fresh gas flow was titrated by ±10%. Throughout the surgery, gas concentrations, oxygenation parameters, hemodynamic data, and the depth of anaesthesia were monitored. The number of alterations in fresh gas oxygen and desflurane concentrations was recorded.

Results: The depth of anaesthesia and oxygenation parameters were adequately sustained within safe limits among all patients, while the number of changes in the fresh gas flow oxygen levels was found to be significantly lower in geriatric patients. The increase in the number of oxygen level was 1.1±0.8 in Group E and 1.8±1.2 in Group Y (P=0.006). Total alteration in oxygen was 1.2±1 in Group E and 1.9±1.3 in Group Y (P=0.01). Oxygenation parameters consistently remained within clinically acceptable ranges in both groups, and the amount of change in desflurane concentration showed no intergroup difference.

Conclusion: Administering minimal flow anaesthesia at a rate of 350 mL min-1 in the geriatric population, compared to the younger population, can be performed requiring less manipulation, without inducing hypoxia or inadvertent awareness.

求助全文
通过发布文献求助,成功后即可免费获取论文全文。 去求助
来源期刊
CiteScore
1.10
自引率
0.00%
发文量
0
×
引用
GB/T 7714-2015
复制
MLA
复制
APA
复制
导出至
BibTeX EndNote RefMan NoteFirst NoteExpress
×
提示
您的信息不完整,为了账户安全,请先补充。
现在去补充
×
提示
您因"违规操作"
具体请查看互助需知
我知道了
×
提示
确定
请完成安全验证×
copy
已复制链接
快去分享给好友吧!
我知道了
右上角分享
点击右上角分享
0
联系我们:info@booksci.cn Book学术提供免费学术资源搜索服务,方便国内外学者检索中英文文献。致力于提供最便捷和优质的服务体验。 Copyright © 2023 布克学术 All rights reserved.
京ICP备2023020795号-1
ghs 京公网安备 11010802042870号
Book学术文献互助
Book学术文献互助群
群 号:604180095
Book学术官方微信