微等离子体射频治疗创伤后色素沉积的临床疗效:VISIA定量分析。

IF 2.8 3区 医学 Q1 Pharmacology, Toxicology and Pharmaceutics
Therapeutics and Clinical Risk Management Pub Date : 2025-04-28 eCollection Date: 2025-01-01 DOI:10.2147/TCRM.S508522
Yan Xu, Yan Yin, Zai-Quan Yang, Jing Li, Li-Na Guo, Chao Ma
{"title":"微等离子体射频治疗创伤后色素沉积的临床疗效:VISIA定量分析。","authors":"Yan Xu, Yan Yin, Zai-Quan Yang, Jing Li, Li-Na Guo, Chao Ma","doi":"10.2147/TCRM.S508522","DOIUrl":null,"url":null,"abstract":"<p><strong>Objective: </strong>To observe the clinical efficacy of microplasma radiofrequency in treating post-traumatic pigmentary deposition using VISIA quantitative analysis, an innovative approach not previously emphasized in microplasma radiofrequency studies.</p><p><strong>Methods: </strong>Twenty patients with post-traumatic pigmentary deposition, treated at Cangzhou Central Hospital between July 2022 and December 2022, were selected. Pigmented areas were divided into four regions (A: control; B, C, D: treated with increasing energy parameters). Adverse effects (erythema, edema, micro-crusts, pruritus) were monitored at 2, 4, and 6 weeks post-treatment using CTCAE v5.0 criteria. Pigmentary deposition scores and VISIA parameters (spots, ultraviolet spots, red areas, brown spots) were evaluated.</p><p><strong>Results: </strong>At 2, 4, and 6 weeks, Groups B, C, D showed significant reductions in pigment scores and VISIA parameters vs Group A (P < 0.05), with Group D (highest energy) achieving maximal improvement. Transient mild-moderate erythema (60-100%), edema (40-80%), and micro-crusts (20-60%) occurred in treated groups, resolving spontaneously within 14 days; no severe adverse events were observed.</p><p><strong>Conclusion: </strong>Microplasma radiofrequency significantly improves post-traumatic pigmentary deposition, with energy-dependent efficacy. Despite transient side effects at higher energies, its favorable safety profile supports clinical adoption. VISIA quantitative analysis provides robust objective evaluation, advancing standardization in pigment management.</p>","PeriodicalId":22977,"journal":{"name":"Therapeutics and Clinical Risk Management","volume":"21 ","pages":"575-582"},"PeriodicalIF":2.8000,"publicationDate":"2025-04-28","publicationTypes":"Journal Article","fieldsOfStudy":null,"isOpenAccess":false,"openAccessPdf":"https://www.ncbi.nlm.nih.gov/pmc/articles/PMC12048295/pdf/","citationCount":"0","resultStr":"{\"title\":\"Clinical Efficacy of Microplasma Radiofrequency in Treating Post-Traumatic Pigmentary Deposition: A VISIA Quantitative Analysis.\",\"authors\":\"Yan Xu, Yan Yin, Zai-Quan Yang, Jing Li, Li-Na Guo, Chao Ma\",\"doi\":\"10.2147/TCRM.S508522\",\"DOIUrl\":null,\"url\":null,\"abstract\":\"<p><strong>Objective: </strong>To observe the clinical efficacy of microplasma radiofrequency in treating post-traumatic pigmentary deposition using VISIA quantitative analysis, an innovative approach not previously emphasized in microplasma radiofrequency studies.</p><p><strong>Methods: </strong>Twenty patients with post-traumatic pigmentary deposition, treated at Cangzhou Central Hospital between July 2022 and December 2022, were selected. Pigmented areas were divided into four regions (A: control; B, C, D: treated with increasing energy parameters). Adverse effects (erythema, edema, micro-crusts, pruritus) were monitored at 2, 4, and 6 weeks post-treatment using CTCAE v5.0 criteria. Pigmentary deposition scores and VISIA parameters (spots, ultraviolet spots, red areas, brown spots) were evaluated.</p><p><strong>Results: </strong>At 2, 4, and 6 weeks, Groups B, C, D showed significant reductions in pigment scores and VISIA parameters vs Group A (P < 0.05), with Group D (highest energy) achieving maximal improvement. Transient mild-moderate erythema (60-100%), edema (40-80%), and micro-crusts (20-60%) occurred in treated groups, resolving spontaneously within 14 days; no severe adverse events were observed.</p><p><strong>Conclusion: </strong>Microplasma radiofrequency significantly improves post-traumatic pigmentary deposition, with energy-dependent efficacy. Despite transient side effects at higher energies, its favorable safety profile supports clinical adoption. VISIA quantitative analysis provides robust objective evaluation, advancing standardization in pigment management.</p>\",\"PeriodicalId\":22977,\"journal\":{\"name\":\"Therapeutics and Clinical Risk Management\",\"volume\":\"21 \",\"pages\":\"575-582\"},\"PeriodicalIF\":2.8000,\"publicationDate\":\"2025-04-28\",\"publicationTypes\":\"Journal Article\",\"fieldsOfStudy\":null,\"isOpenAccess\":false,\"openAccessPdf\":\"https://www.ncbi.nlm.nih.gov/pmc/articles/PMC12048295/pdf/\",\"citationCount\":\"0\",\"resultStr\":null,\"platform\":\"Semanticscholar\",\"paperid\":null,\"PeriodicalName\":\"Therapeutics and Clinical Risk Management\",\"FirstCategoryId\":\"3\",\"ListUrlMain\":\"https://doi.org/10.2147/TCRM.S508522\",\"RegionNum\":3,\"RegionCategory\":\"医学\",\"ArticlePicture\":[],\"TitleCN\":null,\"AbstractTextCN\":null,\"PMCID\":null,\"EPubDate\":\"2025/1/1 0:00:00\",\"PubModel\":\"eCollection\",\"JCR\":\"Q1\",\"JCRName\":\"Pharmacology, Toxicology and Pharmaceutics\",\"Score\":null,\"Total\":0}","platform":"Semanticscholar","paperid":null,"PeriodicalName":"Therapeutics and Clinical Risk Management","FirstCategoryId":"3","ListUrlMain":"https://doi.org/10.2147/TCRM.S508522","RegionNum":3,"RegionCategory":"医学","ArticlePicture":[],"TitleCN":null,"AbstractTextCN":null,"PMCID":null,"EPubDate":"2025/1/1 0:00:00","PubModel":"eCollection","JCR":"Q1","JCRName":"Pharmacology, Toxicology and Pharmaceutics","Score":null,"Total":0}
引用次数: 0

摘要

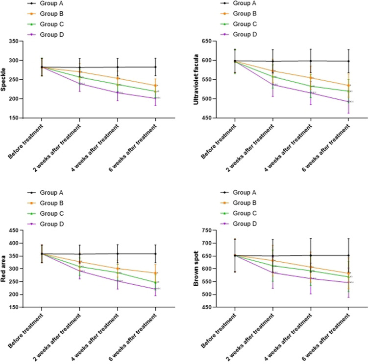
目的:观察微等离子体射频治疗创伤后色素沉积的临床疗效,采用VISIA定量分析,这是微等离子体射频研究中未被重视的一种创新方法。方法:选择2022年7月~ 2022年12月沧州市中心医院外伤后色素沉积患者20例。色素区分为4个区域(A:对照;B、C、D:增加能量参数处理)。不良反应(红斑、水肿、微痂、瘙痒)在治疗后2周、4周和6周采用CTCAE v5.0标准监测。评估色素沉积评分和VISIA参数(斑点、紫外线斑点、红色区域、棕色斑点)。结果:在第2、4、6周时,B、C、D组色素评分和VISIA参数均较A组显著降低(P < 0.05),其中D组(能量最高)改善最大。治疗组出现一过性轻中度红斑(60-100%)、水肿(40-80%)和微结皮(20-60%),14天内自行消退;未观察到严重的不良事件。结论:微等离子体射频治疗可显著改善创伤后色素沉积,其疗效具有能量依赖性。尽管在高能量时有短暂的副作用,但其良好的安全性支持临床应用。VISIA定量分析提供了可靠的客观评价,促进了颜料管理的标准化。
本文章由计算机程序翻译,如有差异,请以英文原文为准。

Clinical Efficacy of Microplasma Radiofrequency in Treating Post-Traumatic Pigmentary Deposition: A VISIA Quantitative Analysis.

Clinical Efficacy of Microplasma Radiofrequency in Treating Post-Traumatic Pigmentary Deposition: A VISIA Quantitative Analysis.

Objective: To observe the clinical efficacy of microplasma radiofrequency in treating post-traumatic pigmentary deposition using VISIA quantitative analysis, an innovative approach not previously emphasized in microplasma radiofrequency studies.

Methods: Twenty patients with post-traumatic pigmentary deposition, treated at Cangzhou Central Hospital between July 2022 and December 2022, were selected. Pigmented areas were divided into four regions (A: control; B, C, D: treated with increasing energy parameters). Adverse effects (erythema, edema, micro-crusts, pruritus) were monitored at 2, 4, and 6 weeks post-treatment using CTCAE v5.0 criteria. Pigmentary deposition scores and VISIA parameters (spots, ultraviolet spots, red areas, brown spots) were evaluated.

Results: At 2, 4, and 6 weeks, Groups B, C, D showed significant reductions in pigment scores and VISIA parameters vs Group A (P < 0.05), with Group D (highest energy) achieving maximal improvement. Transient mild-moderate erythema (60-100%), edema (40-80%), and micro-crusts (20-60%) occurred in treated groups, resolving spontaneously within 14 days; no severe adverse events were observed.

Conclusion: Microplasma radiofrequency significantly improves post-traumatic pigmentary deposition, with energy-dependent efficacy. Despite transient side effects at higher energies, its favorable safety profile supports clinical adoption. VISIA quantitative analysis provides robust objective evaluation, advancing standardization in pigment management.

求助全文
通过发布文献求助,成功后即可免费获取论文全文。 去求助
来源期刊
Therapeutics and Clinical Risk Management
Therapeutics and Clinical Risk Management HEALTH CARE SCIENCES & SERVICES-
CiteScore
5.30
自引率
3.60%
发文量
139
审稿时长
16 weeks
期刊介绍: Therapeutics and Clinical Risk Management is an international, peer-reviewed journal of clinical therapeutics and risk management, focusing on concise rapid reporting of clinical studies in all therapeutic areas, outcomes, safety, and programs for the effective, safe, and sustained use of medicines, therapeutic and surgical interventions in all clinical areas. The journal welcomes submissions covering original research, clinical and epidemiological studies, reviews, guidelines, expert opinion and commentary. The journal will consider case reports but only if they make a valuable and original contribution to the literature. As of 18th March 2019, Therapeutics and Clinical Risk Management will no longer consider meta-analyses for publication. The journal does not accept study protocols, animal-based or cell line-based studies.
×
引用
GB/T 7714-2015
复制
MLA
复制
APA
复制
导出至
BibTeX EndNote RefMan NoteFirst NoteExpress
×
提示
您的信息不完整,为了账户安全,请先补充。
现在去补充
×
提示
您因"违规操作"
具体请查看互助需知
我知道了
×
提示
确定
请完成安全验证×
copy
已复制链接
快去分享给好友吧!
我知道了
右上角分享
点击右上角分享
0
联系我们:info@booksci.cn Book学术提供免费学术资源搜索服务,方便国内外学者检索中英文文献。致力于提供最便捷和优质的服务体验。 Copyright © 2023 布克学术 All rights reserved.
京ICP备2023020795号-1
ghs 京公网安备 11010802042870号
Book学术文献互助
Book学术文献互助群
群 号:604180095
Book学术官方微信