失眠增加特定自身免疫性疾病的风险:一项大规模回顾性队列研究

IF 3
Frontiers in network physiology Pub Date : 2025-04-10 eCollection Date: 2025-01-01 DOI:10.3389/fnetp.2025.1499297
Sarah Stenger, Artem Vorobyev, Katja Bieber, Tanja Lange, Ralf J Ludwig, Jennifer E Hundt
{"title":"失眠增加特定自身免疫性疾病的风险:一项大规模回顾性队列研究","authors":"Sarah Stenger, Artem Vorobyev, Katja Bieber, Tanja Lange, Ralf J Ludwig, Jennifer E Hundt","doi":"10.3389/fnetp.2025.1499297","DOIUrl":null,"url":null,"abstract":"<p><strong>Objective: </strong>The global rise of autoimmune diseases presents a significant medical challenge, with inadequate treatment options, high morbidity risks, and escalating healthcare costs. While the underlying mechanisms of autoimmune disease development are not fully understood, both genetic predispositions and lifestyle factors, particularly sleep, play critical roles. Insomnia and circadian rhythm sleep disorders not only impair sleep but also disrupt multi-organ interactions by dysregulating sympathetic nervous system activity, altering immune responses, and influencing neuroendocrine function. These disruptions can contribute to immune system dysregulation, increasing the risk of autoimmune disease development.</p><p><strong>Methods: </strong>To assess the impact of impaired sleep on the risk of developing autoimmune diseases, a global population-based retrospective cohort study was conducted using electronic health records from the TriNetX US Global Collaborative Network, including 351,366 subjects in each propensity score matched group. Twenty autoimmune diseases were examined, and propensity score matching was employed to reduce bias. Three sensitivity analyses were conducted to test the robustness of the results.</p><p><strong>Results: </strong>The study identified significantly increased risks for several autoimmune diseases associated with impaired sleep, likely mediated by dysregulated neuroimmune and autonomic interactions. Specifically, cutaneous lupus erythematosus [hazard ratio (HR) = 2.119; confidence interval (CI) 1.674-2.682; p < 0.0001], rheumatoid arthritis (HR = 1.404; CI 1.313-1.501; p < 0.0001), Sjögren syndrome (HR = 1.84; CI 1.64-2.066; p < 0.0001), and autoimmune thyroiditis (HR = 1.348; CI 1.246-1.458; p < 0.0001) showed significantly increased risks. No diseases demonstrated reduced risks, and 4 out of 20 tested diseases did not show significant HR increases in any analysis.</p><p><strong>Conclusion: </strong>This study highlights the integral role of sleep in maintaining immune homeostasis through multi-organ interactions involving the autonomic nervous system, immune signalling pathways, and endocrine regulation. Disruptions in these systems due to chronic sleep impairment may predispose individuals to autoimmune diseases by altering inflammatory responses and immune tolerance. These findings underscore the necessity of recognizing and treating sleep disorders not only for general wellbeing but also as a potential strategy to mitigate the long-term risk of autoimmune disease development.</p>","PeriodicalId":73092,"journal":{"name":"Frontiers in network physiology","volume":"5 ","pages":"1499297"},"PeriodicalIF":3.0000,"publicationDate":"2025-04-10","publicationTypes":"Journal Article","fieldsOfStudy":null,"isOpenAccess":false,"openAccessPdf":"https://www.ncbi.nlm.nih.gov/pmc/articles/PMC12018472/pdf/","citationCount":"0","resultStr":"{\"title\":\"Insomnia increases the risk for specific autoimmune diseases: a large-scale retrospective cohort study.\",\"authors\":\"Sarah Stenger, Artem Vorobyev, Katja Bieber, Tanja Lange, Ralf J Ludwig, Jennifer E Hundt\",\"doi\":\"10.3389/fnetp.2025.1499297\",\"DOIUrl\":null,\"url\":null,\"abstract\":\"<p><strong>Objective: </strong>The global rise of autoimmune diseases presents a significant medical challenge, with inadequate treatment options, high morbidity risks, and escalating healthcare costs. While the underlying mechanisms of autoimmune disease development are not fully understood, both genetic predispositions and lifestyle factors, particularly sleep, play critical roles. Insomnia and circadian rhythm sleep disorders not only impair sleep but also disrupt multi-organ interactions by dysregulating sympathetic nervous system activity, altering immune responses, and influencing neuroendocrine function. These disruptions can contribute to immune system dysregulation, increasing the risk of autoimmune disease development.</p><p><strong>Methods: </strong>To assess the impact of impaired sleep on the risk of developing autoimmune diseases, a global population-based retrospective cohort study was conducted using electronic health records from the TriNetX US Global Collaborative Network, including 351,366 subjects in each propensity score matched group. Twenty autoimmune diseases were examined, and propensity score matching was employed to reduce bias. Three sensitivity analyses were conducted to test the robustness of the results.</p><p><strong>Results: </strong>The study identified significantly increased risks for several autoimmune diseases associated with impaired sleep, likely mediated by dysregulated neuroimmune and autonomic interactions. Specifically, cutaneous lupus erythematosus [hazard ratio (HR) = 2.119; confidence interval (CI) 1.674-2.682; p < 0.0001], rheumatoid arthritis (HR = 1.404; CI 1.313-1.501; p < 0.0001), Sjögren syndrome (HR = 1.84; CI 1.64-2.066; p < 0.0001), and autoimmune thyroiditis (HR = 1.348; CI 1.246-1.458; p < 0.0001) showed significantly increased risks. No diseases demonstrated reduced risks, and 4 out of 20 tested diseases did not show significant HR increases in any analysis.</p><p><strong>Conclusion: </strong>This study highlights the integral role of sleep in maintaining immune homeostasis through multi-organ interactions involving the autonomic nervous system, immune signalling pathways, and endocrine regulation. Disruptions in these systems due to chronic sleep impairment may predispose individuals to autoimmune diseases by altering inflammatory responses and immune tolerance. These findings underscore the necessity of recognizing and treating sleep disorders not only for general wellbeing but also as a potential strategy to mitigate the long-term risk of autoimmune disease development.</p>\",\"PeriodicalId\":73092,\"journal\":{\"name\":\"Frontiers in network physiology\",\"volume\":\"5 \",\"pages\":\"1499297\"},\"PeriodicalIF\":3.0000,\"publicationDate\":\"2025-04-10\",\"publicationTypes\":\"Journal Article\",\"fieldsOfStudy\":null,\"isOpenAccess\":false,\"openAccessPdf\":\"https://www.ncbi.nlm.nih.gov/pmc/articles/PMC12018472/pdf/\",\"citationCount\":\"0\",\"resultStr\":null,\"platform\":\"Semanticscholar\",\"paperid\":null,\"PeriodicalName\":\"Frontiers in network physiology\",\"FirstCategoryId\":\"1085\",\"ListUrlMain\":\"https://doi.org/10.3389/fnetp.2025.1499297\",\"RegionNum\":0,\"RegionCategory\":null,\"ArticlePicture\":[],\"TitleCN\":null,\"AbstractTextCN\":null,\"PMCID\":null,\"EPubDate\":\"2025/1/1 0:00:00\",\"PubModel\":\"eCollection\",\"JCR\":\"\",\"JCRName\":\"\",\"Score\":null,\"Total\":0}","platform":"Semanticscholar","paperid":null,"PeriodicalName":"Frontiers in network physiology","FirstCategoryId":"1085","ListUrlMain":"https://doi.org/10.3389/fnetp.2025.1499297","RegionNum":0,"RegionCategory":null,"ArticlePicture":[],"TitleCN":null,"AbstractTextCN":null,"PMCID":null,"EPubDate":"2025/1/1 0:00:00","PubModel":"eCollection","JCR":"","JCRName":"","Score":null,"Total":0}
引用次数: 0

摘要

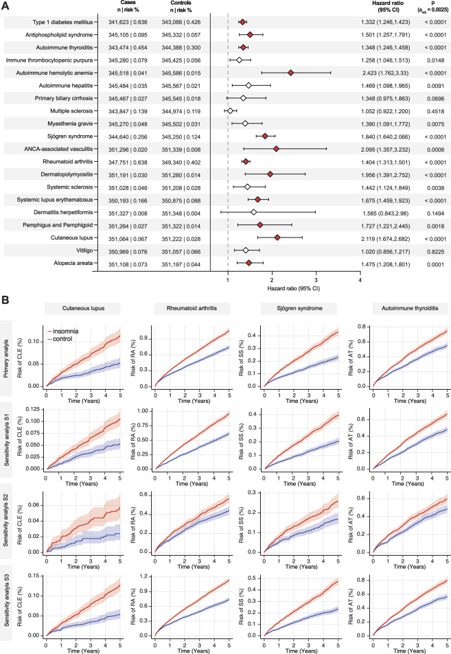
目的:全球自身免疫性疾病的增加带来了重大的医疗挑战,治疗方案不足,发病率高,医疗费用不断上升。虽然自身免疫性疾病发展的潜在机制尚不完全清楚,但遗传易感性和生活方式因素,特别是睡眠,都起着关键作用。失眠和昼夜节律睡眠障碍不仅损害睡眠,而且通过失调交感神经系统活动、改变免疫反应和影响神经内分泌功能扰乱多器官的相互作用。这些破坏会导致免疫系统失调,增加自身免疫性疾病发展的风险。方法:为了评估睡眠受损对自身免疫性疾病风险的影响,使用TriNetX美国全球协作网络的电子健康记录进行了一项基于全球人群的回顾性队列研究,包括每个倾向评分匹配组的351,366名受试者。研究了20种自身免疫性疾病,并采用倾向评分匹配来减少偏倚。进行了三次敏感性分析以检验结果的稳健性。结果:该研究发现,与睡眠受损相关的几种自身免疫性疾病的风险显著增加,可能是由神经免疫和自主神经相互作用失调介导的。其中,皮肤性红斑狼疮[危险比(HR) = 2.119;置信区间(CI) 1.674-2.682;p < 0.0001],类风湿关节炎(HR = 1.404;可信区间1.313 - -1.501;p < 0.0001), Sjögren综合征(HR = 1.84;可信区间1.64 - -2.066;p < 0.0001),自身免疫性甲状腺炎(HR = 1.348;可信区间1.246 - -1.458;P < 0.0001)显示风险显著增加。没有疾病显示出风险降低,在任何分析中,20种测试疾病中的4种没有显示出显着的HR增加。结论:本研究强调了睡眠通过自主神经系统、免疫信号通路和内分泌调节等多器官相互作用在维持免疫稳态中的整体作用。由于慢性睡眠障碍导致的这些系统的破坏可能通过改变炎症反应和免疫耐受性而使个体易患自身免疫性疾病。这些发现强调了认识和治疗睡眠障碍的必要性,不仅是为了一般的健康,而且是一种潜在的策略,以减轻自身免疫性疾病发展的长期风险。
本文章由计算机程序翻译,如有差异,请以英文原文为准。

Insomnia increases the risk for specific autoimmune diseases: a large-scale retrospective cohort study.

Insomnia increases the risk for specific autoimmune diseases: a large-scale retrospective cohort study.

Insomnia increases the risk for specific autoimmune diseases: a large-scale retrospective cohort study.

Objective: The global rise of autoimmune diseases presents a significant medical challenge, with inadequate treatment options, high morbidity risks, and escalating healthcare costs. While the underlying mechanisms of autoimmune disease development are not fully understood, both genetic predispositions and lifestyle factors, particularly sleep, play critical roles. Insomnia and circadian rhythm sleep disorders not only impair sleep but also disrupt multi-organ interactions by dysregulating sympathetic nervous system activity, altering immune responses, and influencing neuroendocrine function. These disruptions can contribute to immune system dysregulation, increasing the risk of autoimmune disease development.

Methods: To assess the impact of impaired sleep on the risk of developing autoimmune diseases, a global population-based retrospective cohort study was conducted using electronic health records from the TriNetX US Global Collaborative Network, including 351,366 subjects in each propensity score matched group. Twenty autoimmune diseases were examined, and propensity score matching was employed to reduce bias. Three sensitivity analyses were conducted to test the robustness of the results.

Results: The study identified significantly increased risks for several autoimmune diseases associated with impaired sleep, likely mediated by dysregulated neuroimmune and autonomic interactions. Specifically, cutaneous lupus erythematosus [hazard ratio (HR) = 2.119; confidence interval (CI) 1.674-2.682; p < 0.0001], rheumatoid arthritis (HR = 1.404; CI 1.313-1.501; p < 0.0001), Sjögren syndrome (HR = 1.84; CI 1.64-2.066; p < 0.0001), and autoimmune thyroiditis (HR = 1.348; CI 1.246-1.458; p < 0.0001) showed significantly increased risks. No diseases demonstrated reduced risks, and 4 out of 20 tested diseases did not show significant HR increases in any analysis.

Conclusion: This study highlights the integral role of sleep in maintaining immune homeostasis through multi-organ interactions involving the autonomic nervous system, immune signalling pathways, and endocrine regulation. Disruptions in these systems due to chronic sleep impairment may predispose individuals to autoimmune diseases by altering inflammatory responses and immune tolerance. These findings underscore the necessity of recognizing and treating sleep disorders not only for general wellbeing but also as a potential strategy to mitigate the long-term risk of autoimmune disease development.

求助全文
通过发布文献求助,成功后即可免费获取论文全文。 去求助
来源期刊
CiteScore
2.70
自引率
0.00%
发文量
0
×
引用
GB/T 7714-2015
复制
MLA
复制
APA
复制
导出至
BibTeX EndNote RefMan NoteFirst NoteExpress
×
提示
您的信息不完整,为了账户安全,请先补充。
现在去补充
×
提示
您因"违规操作"
具体请查看互助需知
我知道了
×
提示
确定
请完成安全验证×
copy
已复制链接
快去分享给好友吧!
我知道了
右上角分享
点击右上角分享
0
联系我们:info@booksci.cn Book学术提供免费学术资源搜索服务,方便国内外学者检索中英文文献。致力于提供最便捷和优质的服务体验。 Copyright © 2023 布克学术 All rights reserved.
京ICP备2023020795号-1
ghs 京公网安备 11010802042870号
Book学术文献互助
Book学术文献互助群
群 号:604180095
Book学术官方微信