乳腺癌患者的心血管疾病:2013- 2020年全国真实世界证据研究

European heart journal open Pub Date : 2025-04-23 eCollection Date: 2025-05-01 DOI:10.1093/ehjopen/oeaf043
Ingrid Engebretsen, Francisco Oteiza, Elisabeth Floberghagen Birkelund, Signe Marie Brandal, Christoffer Bugge, Sigrun Halvorsen
{"title":"乳腺癌患者的心血管疾病:2013- 2020年全国真实世界证据研究","authors":"Ingrid Engebretsen, Francisco Oteiza, Elisabeth Floberghagen Birkelund, Signe Marie Brandal, Christoffer Bugge, Sigrun Halvorsen","doi":"10.1093/ehjopen/oeaf043","DOIUrl":null,"url":null,"abstract":"<p><strong>Aims: </strong>Various measures have been implemented in clinical practice to reduce the risk of cardiovascular complications during breast cancer (BC) treatment. The aim of this study was to investigate whether women diagnosed with BC exhibit a higher incidence of cardiovascular disease (CVD).</p><p><strong>Methods and results: </strong>Matched cohort study. Using data from the Cancer Registry of Norway and the Norwegian Patient Registry, we created a nationwide cohort of women diagnosed with BC between 2013 and 2020 and age-matched controls (matching ratio 1:10). For BC patients, the index date was the date of their BC diagnosis. For controls, the index date was a random date within the index year of the matched BC patient. For eight selected CVDs, we compared the prevalence before BC diagnosis between cases and controls, as well as the overall incidence, hazard ratios (HRs), and cumulative incidences post BC diagnosis. Follow-up was through 2021. Our study population consisted of 27 526 BC patients and 269 904 matched controls. Among the subset of patients without CVD prior to index, BC patients had significantly increased overall and cumulative risk of pulmonary embolism (HR = 3.00, 95% CI: [2.51-3.59]), atrial fibrillation (1.53 [1.38-1.70]), other cardiac arrhythmias (1.43 [1.27-1.61]), heart failure (1.93 [1.33-2.80]), hypertensive heart disease (1.79 [1.67-1.91]), and heart valve disease (2.02 [1.79-2.27]).</p><p><strong>Conclusion: </strong>In this contemporary cohort, BC patients still had an increased risk of several CVDs compared to age-matched controls. Further research is needed to determine the causes of this increased risk, but clinicians should be aware and optimize therapy accordingly.</p>","PeriodicalId":93995,"journal":{"name":"European heart journal open","volume":"5 3","pages":"oeaf043"},"PeriodicalIF":0.0000,"publicationDate":"2025-04-23","publicationTypes":"Journal Article","fieldsOfStudy":null,"isOpenAccess":false,"openAccessPdf":"https://www.ncbi.nlm.nih.gov/pmc/articles/PMC12042752/pdf/","citationCount":"0","resultStr":"{\"title\":\"Cardiovascular disease in breast cancer patients: a nationwide real-world evidence study 2013-20.\",\"authors\":\"Ingrid Engebretsen, Francisco Oteiza, Elisabeth Floberghagen Birkelund, Signe Marie Brandal, Christoffer Bugge, Sigrun Halvorsen\",\"doi\":\"10.1093/ehjopen/oeaf043\",\"DOIUrl\":null,\"url\":null,\"abstract\":\"<p><strong>Aims: </strong>Various measures have been implemented in clinical practice to reduce the risk of cardiovascular complications during breast cancer (BC) treatment. The aim of this study was to investigate whether women diagnosed with BC exhibit a higher incidence of cardiovascular disease (CVD).</p><p><strong>Methods and results: </strong>Matched cohort study. Using data from the Cancer Registry of Norway and the Norwegian Patient Registry, we created a nationwide cohort of women diagnosed with BC between 2013 and 2020 and age-matched controls (matching ratio 1:10). For BC patients, the index date was the date of their BC diagnosis. For controls, the index date was a random date within the index year of the matched BC patient. For eight selected CVDs, we compared the prevalence before BC diagnosis between cases and controls, as well as the overall incidence, hazard ratios (HRs), and cumulative incidences post BC diagnosis. Follow-up was through 2021. Our study population consisted of 27 526 BC patients and 269 904 matched controls. Among the subset of patients without CVD prior to index, BC patients had significantly increased overall and cumulative risk of pulmonary embolism (HR = 3.00, 95% CI: [2.51-3.59]), atrial fibrillation (1.53 [1.38-1.70]), other cardiac arrhythmias (1.43 [1.27-1.61]), heart failure (1.93 [1.33-2.80]), hypertensive heart disease (1.79 [1.67-1.91]), and heart valve disease (2.02 [1.79-2.27]).</p><p><strong>Conclusion: </strong>In this contemporary cohort, BC patients still had an increased risk of several CVDs compared to age-matched controls. Further research is needed to determine the causes of this increased risk, but clinicians should be aware and optimize therapy accordingly.</p>\",\"PeriodicalId\":93995,\"journal\":{\"name\":\"European heart journal open\",\"volume\":\"5 3\",\"pages\":\"oeaf043\"},\"PeriodicalIF\":0.0000,\"publicationDate\":\"2025-04-23\",\"publicationTypes\":\"Journal Article\",\"fieldsOfStudy\":null,\"isOpenAccess\":false,\"openAccessPdf\":\"https://www.ncbi.nlm.nih.gov/pmc/articles/PMC12042752/pdf/\",\"citationCount\":\"0\",\"resultStr\":null,\"platform\":\"Semanticscholar\",\"paperid\":null,\"PeriodicalName\":\"European heart journal open\",\"FirstCategoryId\":\"1085\",\"ListUrlMain\":\"https://doi.org/10.1093/ehjopen/oeaf043\",\"RegionNum\":0,\"RegionCategory\":null,\"ArticlePicture\":[],\"TitleCN\":null,\"AbstractTextCN\":null,\"PMCID\":null,\"EPubDate\":\"2025/5/1 0:00:00\",\"PubModel\":\"eCollection\",\"JCR\":\"\",\"JCRName\":\"\",\"Score\":null,\"Total\":0}","platform":"Semanticscholar","paperid":null,"PeriodicalName":"European heart journal open","FirstCategoryId":"1085","ListUrlMain":"https://doi.org/10.1093/ehjopen/oeaf043","RegionNum":0,"RegionCategory":null,"ArticlePicture":[],"TitleCN":null,"AbstractTextCN":null,"PMCID":null,"EPubDate":"2025/5/1 0:00:00","PubModel":"eCollection","JCR":"","JCRName":"","Score":null,"Total":0}
引用次数: 0

摘要

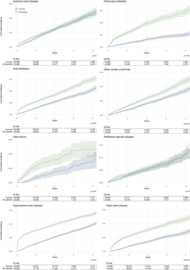
目的:在临床实践中已经实施了各种措施来降低乳腺癌治疗期间心血管并发症的风险。本研究的目的是调查被诊断为BC的女性是否表现出更高的心血管疾病(CVD)发病率。方法和结果:配对队列研究。使用挪威癌症登记处和挪威患者登记处的数据,我们创建了一个2013年至2020年间诊断为BC的全国女性队列和年龄匹配的对照组(匹配比1:10)。对于BC患者,索引日期是他们的BC诊断日期。对于对照组,索引日期是匹配的BC患者索引年内的随机日期。对于8种选定的心血管疾病,我们比较了病例和对照组在BC诊断前的患病率,以及BC诊断后的总发病率、危险比(hr)和累积发病率。随访持续到2021年。我们的研究人群包括27526名BC患者和269904名匹配的对照组。在指标前无CVD的患者亚组中,BC患者肺栓塞(HR = 3.00, 95% CI:[2.51-3.59])、房颤(1.53[1.38-1.70])、其他心律失常(1.43[1.27-1.61])、心力衰竭(1.93[1.33-2.80])、高血压心脏病(1.79[1.67-1.91])和心脏瓣膜疾病(2.02[1.79-2.27])的总体和累积风险显著增加。结论:在这个当代队列中,与年龄匹配的对照组相比,BC患者仍有几种心血管疾病的风险增加。需要进一步的研究来确定这种风险增加的原因,但临床医生应该意识到并相应地优化治疗。
本文章由计算机程序翻译,如有差异,请以英文原文为准。

Cardiovascular disease in breast cancer patients: a nationwide real-world evidence study 2013-20.

Cardiovascular disease in breast cancer patients: a nationwide real-world evidence study 2013-20.

Cardiovascular disease in breast cancer patients: a nationwide real-world evidence study 2013-20.

Cardiovascular disease in breast cancer patients: a nationwide real-world evidence study 2013-20.

Aims: Various measures have been implemented in clinical practice to reduce the risk of cardiovascular complications during breast cancer (BC) treatment. The aim of this study was to investigate whether women diagnosed with BC exhibit a higher incidence of cardiovascular disease (CVD).

Methods and results: Matched cohort study. Using data from the Cancer Registry of Norway and the Norwegian Patient Registry, we created a nationwide cohort of women diagnosed with BC between 2013 and 2020 and age-matched controls (matching ratio 1:10). For BC patients, the index date was the date of their BC diagnosis. For controls, the index date was a random date within the index year of the matched BC patient. For eight selected CVDs, we compared the prevalence before BC diagnosis between cases and controls, as well as the overall incidence, hazard ratios (HRs), and cumulative incidences post BC diagnosis. Follow-up was through 2021. Our study population consisted of 27 526 BC patients and 269 904 matched controls. Among the subset of patients without CVD prior to index, BC patients had significantly increased overall and cumulative risk of pulmonary embolism (HR = 3.00, 95% CI: [2.51-3.59]), atrial fibrillation (1.53 [1.38-1.70]), other cardiac arrhythmias (1.43 [1.27-1.61]), heart failure (1.93 [1.33-2.80]), hypertensive heart disease (1.79 [1.67-1.91]), and heart valve disease (2.02 [1.79-2.27]).

Conclusion: In this contemporary cohort, BC patients still had an increased risk of several CVDs compared to age-matched controls. Further research is needed to determine the causes of this increased risk, but clinicians should be aware and optimize therapy accordingly.

求助全文
通过发布文献求助,成功后即可免费获取论文全文。 去求助
来源期刊
CiteScore
2.80
自引率
0.00%
发文量
0
×
引用
GB/T 7714-2015
复制
MLA
复制
APA
复制
导出至
BibTeX EndNote RefMan NoteFirst NoteExpress
×
提示
您的信息不完整,为了账户安全,请先补充。
现在去补充
×
提示
您因"违规操作"
具体请查看互助需知
我知道了
×
提示
确定
请完成安全验证×
copy
已复制链接
快去分享给好友吧!
我知道了
右上角分享
点击右上角分享
0
联系我们:info@booksci.cn Book学术提供免费学术资源搜索服务,方便国内外学者检索中英文文献。致力于提供最便捷和优质的服务体验。 Copyright © 2023 布克学术 All rights reserved.
京ICP备2023020795号-1
ghs 京公网安备 11010802042870号
Book学术文献互助
Book学术文献互助群
群 号:604180095
Book学术官方微信