从染色质结构修饰预测基因表达变化。

IF 3.5 2区 生物学 Q1 MATHEMATICAL & COMPUTATIONAL BIOLOGY
Swayamshree Senapati, Inayat Ullah Irshad, Ajeet K Sharma, Hemant Kumar
{"title":"从染色质结构修饰预测基因表达变化。","authors":"Swayamshree Senapati, Inayat Ullah Irshad, Ajeet K Sharma, Hemant Kumar","doi":"10.1038/s41540-025-00510-4","DOIUrl":null,"url":null,"abstract":"<p><p>Spatial organization of chromatin plays a critical role in gene transcription, but connecting population-averaged HiC data to functional outcomes remains a challenge. We present a computational framework linking HiC contact map to gene transcription. Utilizing a bead-spring polymer model informed by HiC contact maps, we generate an ensemble of 3D conformations for a given genomic locus. These conformations are then coupled to gene transcription levels through a Markov chain model, with transition rates derived from molecular dynamics simulations. The efficacy of this framework is demonstrated by simulating the perturbation of a CTCF-mediated TAD boundary, impacting the expression of sox9 and kcnj2. Our model quantitatively reproduces experimentally observed changes in gene expression, revealing that the increased kcnj2 transcription is a consequence of enhancers within the sox9 TAD becoming accessible upon boundary disruption. Quantifying enhancer impact, our model can also identify functional enhancers. This framework enhances our understanding of the relationship between chromosome spatial architecture and gene regulation.</p>","PeriodicalId":19345,"journal":{"name":"NPJ Systems Biology and Applications","volume":"11 1","pages":"34"},"PeriodicalIF":3.5000,"publicationDate":"2025-04-15","publicationTypes":"Journal Article","fieldsOfStudy":null,"isOpenAccess":false,"openAccessPdf":"https://www.ncbi.nlm.nih.gov/pmc/articles/PMC12000410/pdf/","citationCount":"0","resultStr":"{\"title\":\"Predicting gene expression changes from chromatin structure modification.\",\"authors\":\"Swayamshree Senapati, Inayat Ullah Irshad, Ajeet K Sharma, Hemant Kumar\",\"doi\":\"10.1038/s41540-025-00510-4\",\"DOIUrl\":null,\"url\":null,\"abstract\":\"<p><p>Spatial organization of chromatin plays a critical role in gene transcription, but connecting population-averaged HiC data to functional outcomes remains a challenge. We present a computational framework linking HiC contact map to gene transcription. Utilizing a bead-spring polymer model informed by HiC contact maps, we generate an ensemble of 3D conformations for a given genomic locus. These conformations are then coupled to gene transcription levels through a Markov chain model, with transition rates derived from molecular dynamics simulations. The efficacy of this framework is demonstrated by simulating the perturbation of a CTCF-mediated TAD boundary, impacting the expression of sox9 and kcnj2. Our model quantitatively reproduces experimentally observed changes in gene expression, revealing that the increased kcnj2 transcription is a consequence of enhancers within the sox9 TAD becoming accessible upon boundary disruption. Quantifying enhancer impact, our model can also identify functional enhancers. This framework enhances our understanding of the relationship between chromosome spatial architecture and gene regulation.</p>\",\"PeriodicalId\":19345,\"journal\":{\"name\":\"NPJ Systems Biology and Applications\",\"volume\":\"11 1\",\"pages\":\"34\"},\"PeriodicalIF\":3.5000,\"publicationDate\":\"2025-04-15\",\"publicationTypes\":\"Journal Article\",\"fieldsOfStudy\":null,\"isOpenAccess\":false,\"openAccessPdf\":\"https://www.ncbi.nlm.nih.gov/pmc/articles/PMC12000410/pdf/\",\"citationCount\":\"0\",\"resultStr\":null,\"platform\":\"Semanticscholar\",\"paperid\":null,\"PeriodicalName\":\"NPJ Systems Biology and Applications\",\"FirstCategoryId\":\"99\",\"ListUrlMain\":\"https://doi.org/10.1038/s41540-025-00510-4\",\"RegionNum\":2,\"RegionCategory\":\"生物学\",\"ArticlePicture\":[],\"TitleCN\":null,\"AbstractTextCN\":null,\"PMCID\":null,\"EPubDate\":\"\",\"PubModel\":\"\",\"JCR\":\"Q1\",\"JCRName\":\"MATHEMATICAL & COMPUTATIONAL BIOLOGY\",\"Score\":null,\"Total\":0}","platform":"Semanticscholar","paperid":null,"PeriodicalName":"NPJ Systems Biology and Applications","FirstCategoryId":"99","ListUrlMain":"https://doi.org/10.1038/s41540-025-00510-4","RegionNum":2,"RegionCategory":"生物学","ArticlePicture":[],"TitleCN":null,"AbstractTextCN":null,"PMCID":null,"EPubDate":"","PubModel":"","JCR":"Q1","JCRName":"MATHEMATICAL & COMPUTATIONAL BIOLOGY","Score":null,"Total":0}
引用次数: 0

摘要

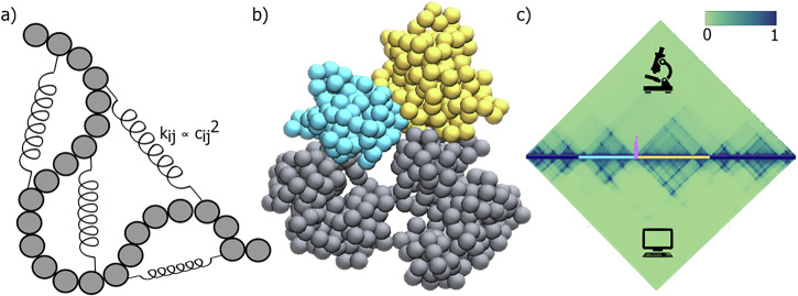
染色质的空间组织在基因转录中起着关键作用,但将群体平均HiC数据与功能结果联系起来仍然是一个挑战。我们提出了一个将HiC接触图谱与基因转录联系起来的计算框架。利用由HiC接触图提供信息的珠弹簧聚合物模型,我们为给定的基因组位点生成了三维构象集合。然后通过马尔可夫链模型将这些构象与基因转录水平耦合,并通过分子动力学模拟得出过渡率。通过模拟ctcf介导的TAD边界的扰动,影响sox9和kcnj2的表达,证明了该框架的有效性。我们的模型定量再现了实验观察到的基因表达变化,揭示了kcnj2转录的增加是sox9 TAD内的增强子在边界破坏时变得可接近的结果。通过量化增强剂的影响,我们的模型还可以识别功能性增强剂。这个框架增强了我们对染色体空间结构和基因调控之间关系的理解。
本文章由计算机程序翻译,如有差异,请以英文原文为准。

Predicting gene expression changes from chromatin structure modification.

Predicting gene expression changes from chromatin structure modification.

Predicting gene expression changes from chromatin structure modification.

Predicting gene expression changes from chromatin structure modification.

Spatial organization of chromatin plays a critical role in gene transcription, but connecting population-averaged HiC data to functional outcomes remains a challenge. We present a computational framework linking HiC contact map to gene transcription. Utilizing a bead-spring polymer model informed by HiC contact maps, we generate an ensemble of 3D conformations for a given genomic locus. These conformations are then coupled to gene transcription levels through a Markov chain model, with transition rates derived from molecular dynamics simulations. The efficacy of this framework is demonstrated by simulating the perturbation of a CTCF-mediated TAD boundary, impacting the expression of sox9 and kcnj2. Our model quantitatively reproduces experimentally observed changes in gene expression, revealing that the increased kcnj2 transcription is a consequence of enhancers within the sox9 TAD becoming accessible upon boundary disruption. Quantifying enhancer impact, our model can also identify functional enhancers. This framework enhances our understanding of the relationship between chromosome spatial architecture and gene regulation.

求助全文
通过发布文献求助,成功后即可免费获取论文全文。 去求助
来源期刊
NPJ Systems Biology and Applications
NPJ Systems Biology and Applications Mathematics-Applied Mathematics
CiteScore
5.80
自引率
0.00%
发文量
46
审稿时长
8 weeks
期刊介绍: npj Systems Biology and Applications is an online Open Access journal dedicated to publishing the premier research that takes a systems-oriented approach. The journal aims to provide a forum for the presentation of articles that help define this nascent field, as well as those that apply the advances to wider fields. We encourage studies that integrate, or aid the integration of, data, analyses and insight from molecules to organisms and broader systems. Important areas of interest include not only fundamental biological systems and drug discovery, but also applications to health, medical practice and implementation, big data, biotechnology, food science, human behaviour, broader biological systems and industrial applications of systems biology. We encourage all approaches, including network biology, application of control theory to biological systems, computational modelling and analysis, comprehensive and/or high-content measurements, theoretical, analytical and computational studies of system-level properties of biological systems and computational/software/data platforms enabling such studies.
×
引用
GB/T 7714-2015
复制
MLA
复制
APA
复制
导出至
BibTeX EndNote RefMan NoteFirst NoteExpress
×
提示
您的信息不完整,为了账户安全,请先补充。
现在去补充
×
提示
您因"违规操作"
具体请查看互助需知
我知道了
×
提示
确定
请完成安全验证×
copy
已复制链接
快去分享给好友吧!
我知道了
右上角分享
点击右上角分享
0
联系我们:info@booksci.cn Book学术提供免费学术资源搜索服务,方便国内外学者检索中英文文献。致力于提供最便捷和优质的服务体验。 Copyright © 2023 布克学术 All rights reserved.
京ICP备2023020795号-1
ghs 京公网安备 11010802042870号
Book学术文献互助
Book学术文献互助群
群 号:604180095
Book学术官方微信