粪便钙保护蛋白作为短病程患者克罗恩病的生物标志物:一项前瞻性、单中心、横断面研究

IF 1.4 4区 医学 Q3 GASTROENTEROLOGY & HEPATOLOGY
Gastroenterology Research and Practice Pub Date : 2025-04-25 eCollection Date: 2025-01-01 DOI:10.1155/grp/9984055
Natsuki Ishida, Shunya Onoue, Tomohiro Takebe, Kenichi Takahashi, Yusuke Asai, Satoshi Tamura, Tomoharu Matsuura, Mihoko Yamade, Moriya Iwaizumi, Yasushi Hamaya, Takanori Yamada, Satoshi Osawa, Ken Sugimoto
{"title":"粪便钙保护蛋白作为短病程患者克罗恩病的生物标志物:一项前瞻性、单中心、横断面研究","authors":"Natsuki Ishida, Shunya Onoue, Tomohiro Takebe, Kenichi Takahashi, Yusuke Asai, Satoshi Tamura, Tomoharu Matsuura, Mihoko Yamade, Moriya Iwaizumi, Yasushi Hamaya, Takanori Yamada, Satoshi Osawa, Ken Sugimoto","doi":"10.1155/grp/9984055","DOIUrl":null,"url":null,"abstract":"<p><p><b>Purpose:</b> Fecal calprotectin (FC) is a Crohn's disease (CD) biomarker, although the impact of disease duration on its accuracy remains unclear. This study was aimed at investigating the effects of CD disease duration on FC. <b>Methods:</b> In this prospective, single-center, cross-sectional study, we performed 113 endoscopies and biomarker measurements. Endoscopy results were assessed using the simple endoscopic score for Crohn's disease (SES-CD), with an SES-CD ≤ 2 defined as endoscopic remission (ER). Cohort 1 was divided into short-term and long-term disease groups. The associations of the SES-CD with C-reactive protein and FC were analyzed. <b>Results:</b> The correlation coefficient of FC and the SES-CD was 0.670 for all cases. In Cohort 1, the correlation coefficient of FC and the SES-CD was > 0.670 for all subgroups of the short-term disease group (≤ 20 years). The correlation coefficient of FC and CD was < 0.670 for all subgroups of the long-term disease group (> 20 years). In Cohort 2, the correlation coefficients were > 0.670 (0.808) for the 0-4-year disease group and < 0.670 for the 5-14- and 15-40-year disease groups. The receiver-operating characteristic analysis performed to predict ER of all cases resulted in an area under the curve (AUC) of 0.8443, with large AUCs of 0.907, 0.816, and 0.770 observed for the 0-4-, 5-14-, and 15-40-year disease groups, respectively. <b>Conclusions:</b> FC was affected by CD duration, and it may be a useful biomarker of CD, especially in patients with a short disease duration.</p>","PeriodicalId":12597,"journal":{"name":"Gastroenterology Research and Practice","volume":"2025 ","pages":"9984055"},"PeriodicalIF":1.4000,"publicationDate":"2025-04-25","publicationTypes":"Journal Article","fieldsOfStudy":null,"isOpenAccess":false,"openAccessPdf":"https://www.ncbi.nlm.nih.gov/pmc/articles/PMC12048189/pdf/","citationCount":"0","resultStr":"{\"title\":\"Fecal Calprotectin as a Biomarker of Crohn's Disease in Patients With Short Disease Durations: A Prospective, Single-Center, Cross-Sectional Study.\",\"authors\":\"Natsuki Ishida, Shunya Onoue, Tomohiro Takebe, Kenichi Takahashi, Yusuke Asai, Satoshi Tamura, Tomoharu Matsuura, Mihoko Yamade, Moriya Iwaizumi, Yasushi Hamaya, Takanori Yamada, Satoshi Osawa, Ken Sugimoto\",\"doi\":\"10.1155/grp/9984055\",\"DOIUrl\":null,\"url\":null,\"abstract\":\"<p><p><b>Purpose:</b> Fecal calprotectin (FC) is a Crohn's disease (CD) biomarker, although the impact of disease duration on its accuracy remains unclear. This study was aimed at investigating the effects of CD disease duration on FC. <b>Methods:</b> In this prospective, single-center, cross-sectional study, we performed 113 endoscopies and biomarker measurements. Endoscopy results were assessed using the simple endoscopic score for Crohn's disease (SES-CD), with an SES-CD ≤ 2 defined as endoscopic remission (ER). Cohort 1 was divided into short-term and long-term disease groups. The associations of the SES-CD with C-reactive protein and FC were analyzed. <b>Results:</b> The correlation coefficient of FC and the SES-CD was 0.670 for all cases. In Cohort 1, the correlation coefficient of FC and the SES-CD was > 0.670 for all subgroups of the short-term disease group (≤ 20 years). The correlation coefficient of FC and CD was < 0.670 for all subgroups of the long-term disease group (> 20 years). In Cohort 2, the correlation coefficients were > 0.670 (0.808) for the 0-4-year disease group and < 0.670 for the 5-14- and 15-40-year disease groups. The receiver-operating characteristic analysis performed to predict ER of all cases resulted in an area under the curve (AUC) of 0.8443, with large AUCs of 0.907, 0.816, and 0.770 observed for the 0-4-, 5-14-, and 15-40-year disease groups, respectively. <b>Conclusions:</b> FC was affected by CD duration, and it may be a useful biomarker of CD, especially in patients with a short disease duration.</p>\",\"PeriodicalId\":12597,\"journal\":{\"name\":\"Gastroenterology Research and Practice\",\"volume\":\"2025 \",\"pages\":\"9984055\"},\"PeriodicalIF\":1.4000,\"publicationDate\":\"2025-04-25\",\"publicationTypes\":\"Journal Article\",\"fieldsOfStudy\":null,\"isOpenAccess\":false,\"openAccessPdf\":\"https://www.ncbi.nlm.nih.gov/pmc/articles/PMC12048189/pdf/\",\"citationCount\":\"0\",\"resultStr\":null,\"platform\":\"Semanticscholar\",\"paperid\":null,\"PeriodicalName\":\"Gastroenterology Research and Practice\",\"FirstCategoryId\":\"3\",\"ListUrlMain\":\"https://doi.org/10.1155/grp/9984055\",\"RegionNum\":4,\"RegionCategory\":\"医学\",\"ArticlePicture\":[],\"TitleCN\":null,\"AbstractTextCN\":null,\"PMCID\":null,\"EPubDate\":\"2025/1/1 0:00:00\",\"PubModel\":\"eCollection\",\"JCR\":\"Q3\",\"JCRName\":\"GASTROENTEROLOGY & HEPATOLOGY\",\"Score\":null,\"Total\":0}","platform":"Semanticscholar","paperid":null,"PeriodicalName":"Gastroenterology Research and Practice","FirstCategoryId":"3","ListUrlMain":"https://doi.org/10.1155/grp/9984055","RegionNum":4,"RegionCategory":"医学","ArticlePicture":[],"TitleCN":null,"AbstractTextCN":null,"PMCID":null,"EPubDate":"2025/1/1 0:00:00","PubModel":"eCollection","JCR":"Q3","JCRName":"GASTROENTEROLOGY & HEPATOLOGY","Score":null,"Total":0}
引用次数: 0

摘要

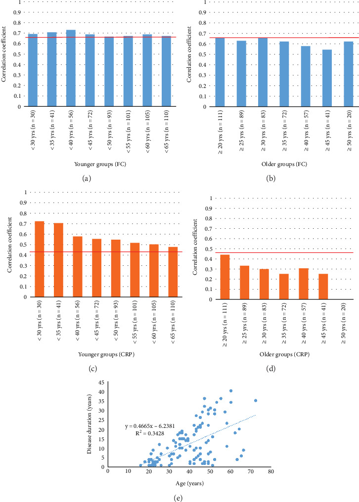
目的:粪钙保护蛋白(FC)是一种克罗恩病(CD)生物标志物,尽管疾病持续时间对其准确性的影响尚不清楚。本研究旨在探讨乳糜泻病程对FC的影响。方法:在这项前瞻性、单中心、横断面研究中,我们进行了113次内窥镜检查和生物标志物测量。内镜检查结果采用克罗恩病简单内镜评分(SES-CD)进行评估,其中SES-CD≤2定义为内镜缓解(ER)。队列1分为短期和长期疾病组。分析SES-CD与c反应蛋白和FC的相关性。结果:所有病例FC与SES-CD的相关系数均为0.670。在队列1中,短期疾病组(≤20年)各亚组FC与SES-CD的相关系数为bb0 0.670。FC与CD的相关系数为20年。在队列2中,0-4年疾病组的相关系数为bb0 0.670(0.808)。结论:FC受CD持续时间的影响,它可能是一个有用的CD生物标志物,特别是在病程较短的患者中。
本文章由计算机程序翻译,如有差异,请以英文原文为准。

Fecal Calprotectin as a Biomarker of Crohn's Disease in Patients With Short Disease Durations: A Prospective, Single-Center, Cross-Sectional Study.

Fecal Calprotectin as a Biomarker of Crohn's Disease in Patients With Short Disease Durations: A Prospective, Single-Center, Cross-Sectional Study.

Fecal Calprotectin as a Biomarker of Crohn's Disease in Patients With Short Disease Durations: A Prospective, Single-Center, Cross-Sectional Study.

Fecal Calprotectin as a Biomarker of Crohn's Disease in Patients With Short Disease Durations: A Prospective, Single-Center, Cross-Sectional Study.

Purpose: Fecal calprotectin (FC) is a Crohn's disease (CD) biomarker, although the impact of disease duration on its accuracy remains unclear. This study was aimed at investigating the effects of CD disease duration on FC. Methods: In this prospective, single-center, cross-sectional study, we performed 113 endoscopies and biomarker measurements. Endoscopy results were assessed using the simple endoscopic score for Crohn's disease (SES-CD), with an SES-CD ≤ 2 defined as endoscopic remission (ER). Cohort 1 was divided into short-term and long-term disease groups. The associations of the SES-CD with C-reactive protein and FC were analyzed. Results: The correlation coefficient of FC and the SES-CD was 0.670 for all cases. In Cohort 1, the correlation coefficient of FC and the SES-CD was > 0.670 for all subgroups of the short-term disease group (≤ 20 years). The correlation coefficient of FC and CD was < 0.670 for all subgroups of the long-term disease group (> 20 years). In Cohort 2, the correlation coefficients were > 0.670 (0.808) for the 0-4-year disease group and < 0.670 for the 5-14- and 15-40-year disease groups. The receiver-operating characteristic analysis performed to predict ER of all cases resulted in an area under the curve (AUC) of 0.8443, with large AUCs of 0.907, 0.816, and 0.770 observed for the 0-4-, 5-14-, and 15-40-year disease groups, respectively. Conclusions: FC was affected by CD duration, and it may be a useful biomarker of CD, especially in patients with a short disease duration.

求助全文
通过发布文献求助,成功后即可免费获取论文全文。 去求助
来源期刊
Gastroenterology Research and Practice
Gastroenterology Research and Practice GASTROENTEROLOGY & HEPATOLOGY-
CiteScore
4.40
自引率
0.00%
发文量
91
审稿时长
1 months
期刊介绍: Gastroenterology Research and Practice is a peer-reviewed, Open Access journal which publishes original research articles, review articles and clinical studies based on all areas of gastroenterology, hepatology, pancreas and biliary, and related cancers. The journal welcomes submissions on the physiology, pathophysiology, etiology, diagnosis and therapy of gastrointestinal diseases. The aim of the journal is to provide cutting edge research related to the field of gastroenterology, as well as digestive diseases and disorders. Topics of interest include: Management of pancreatic diseases Third space endoscopy Endoscopic resection Therapeutic endoscopy Therapeutic endosonography.
×
引用
GB/T 7714-2015
复制
MLA
复制
APA
复制
导出至
BibTeX EndNote RefMan NoteFirst NoteExpress
×
提示
您的信息不完整,为了账户安全,请先补充。
现在去补充
×
提示
您因"违规操作"
具体请查看互助需知
我知道了
×
提示
确定
请完成安全验证×
copy
已复制链接
快去分享给好友吧!
我知道了
右上角分享
点击右上角分享
0
联系我们:info@booksci.cn Book学术提供免费学术资源搜索服务,方便国内外学者检索中英文文献。致力于提供最便捷和优质的服务体验。 Copyright © 2023 布克学术 All rights reserved.
京ICP备2023020795号-1
ghs 京公网安备 11010802042870号
Book学术文献互助
Book学术文献互助群
群 号:604180095
Book学术官方微信