肢端肥大症患者的生活质量和心理状态与面部变化的关系。

IF 2.8 3区 医学 Q3 ENDOCRINOLOGY & METABOLISM
Endocrine Connections Pub Date : 2025-05-01 Epub Date: 2025-04-25 DOI:10.1530/EC-24-0545
Maria Antonia Martínez-Momblán, Sergio Alonso-Fernández, Montserrat Marques-Pamies, Isabel Salinas, Federico Vázquez, Berta Soldevila, Diego Asensio-Wandosell, Raquel Ciriza, Alicia Santos, Elena Valassi, Susan M Webb, Manuel Puig-Domingo
{"title":"肢端肥大症患者的生活质量和心理状态与面部变化的关系。","authors":"Maria Antonia Martínez-Momblán, Sergio Alonso-Fernández, Montserrat Marques-Pamies, Isabel Salinas, Federico Vázquez, Berta Soldevila, Diego Asensio-Wandosell, Raquel Ciriza, Alicia Santos, Elena Valassi, Susan M Webb, Manuel Puig-Domingo","doi":"10.1530/EC-24-0545","DOIUrl":null,"url":null,"abstract":"<p><strong>Introduction: </strong>The diagnosis of acromegaly is often delayed, leading to facial disfigurements that persist despite endocrine cure. We aimed to study the relationship between facial modifications, Quality of Life (QoL), and psychologic status in patients with acromegaly.</p><p><strong>Methods: </strong>Sixty-five patients in remission or with hormonal disease control participated (29 women and 36 men; mean age 57.4±13.5 years). The following variables were assessed: a) Quality of life using AcroQoL; b) Anxiety level with the STAI Questionnaire; c) Self-esteem by the Rosemberg Scale; and d) Facial acromegaly phenotypic changes evaluated from photographs by 8 experienced endocrinologists using a Likert scale.</p><p><strong>Results: </strong>The overall AcroQoL score showed mid-range values, with better scores for men (72.3 vs 56.6, p=0.022). AcroQoL physical domain was also higher for men (59.0 vs 34.9, p=0.006). In the psychological domain, men tended to score better (65.7 vs 54.5, p=0.069), particularly in the appearance subdimension (53.8 vs 38.8, p=0.07), while women had worse anxiety scores (p=0.009). Global self-esteem was high (2.7 ± 0.6 for a maximal value of 3), without sex differences. A trend towards a negative correlation between self-esteem and facial scores was observed (rs= -0.559, p=0.074), indicating a low psychological impact.</p><p><strong>Conclusion: </strong>In controlled acromegaly, QoL is relatively preserved in both genders, although men have better anxiety scores. Facial changes have a weak but persistent negative impact on psychological status, with greater intensity observed in women.</p>","PeriodicalId":11634,"journal":{"name":"Endocrine Connections","volume":" ","pages":""},"PeriodicalIF":2.8000,"publicationDate":"2025-05-01","publicationTypes":"Journal Article","fieldsOfStudy":null,"isOpenAccess":false,"openAccessPdf":"https://www.ncbi.nlm.nih.gov/pmc/articles/PMC12053918/pdf/","citationCount":"0","resultStr":"{\"title\":\"Quality of life and psychological status in people with acromegaly in relation to facial changes.\",\"authors\":\"Maria Antonia Martínez-Momblán, Sergio Alonso-Fernández, Montserrat Marques-Pamies, Isabel Salinas, Federico Vázquez, Berta Soldevila, Diego Asensio-Wandosell, Raquel Ciriza, Alicia Santos, Elena Valassi, Susan M Webb, Manuel Puig-Domingo\",\"doi\":\"10.1530/EC-24-0545\",\"DOIUrl\":null,\"url\":null,\"abstract\":\"<p><strong>Introduction: </strong>The diagnosis of acromegaly is often delayed, leading to facial disfigurements that persist despite endocrine cure. We aimed to study the relationship between facial modifications, Quality of Life (QoL), and psychologic status in patients with acromegaly.</p><p><strong>Methods: </strong>Sixty-five patients in remission or with hormonal disease control participated (29 women and 36 men; mean age 57.4±13.5 years). The following variables were assessed: a) Quality of life using AcroQoL; b) Anxiety level with the STAI Questionnaire; c) Self-esteem by the Rosemberg Scale; and d) Facial acromegaly phenotypic changes evaluated from photographs by 8 experienced endocrinologists using a Likert scale.</p><p><strong>Results: </strong>The overall AcroQoL score showed mid-range values, with better scores for men (72.3 vs 56.6, p=0.022). AcroQoL physical domain was also higher for men (59.0 vs 34.9, p=0.006). In the psychological domain, men tended to score better (65.7 vs 54.5, p=0.069), particularly in the appearance subdimension (53.8 vs 38.8, p=0.07), while women had worse anxiety scores (p=0.009). Global self-esteem was high (2.7 ± 0.6 for a maximal value of 3), without sex differences. A trend towards a negative correlation between self-esteem and facial scores was observed (rs= -0.559, p=0.074), indicating a low psychological impact.</p><p><strong>Conclusion: </strong>In controlled acromegaly, QoL is relatively preserved in both genders, although men have better anxiety scores. Facial changes have a weak but persistent negative impact on psychological status, with greater intensity observed in women.</p>\",\"PeriodicalId\":11634,\"journal\":{\"name\":\"Endocrine Connections\",\"volume\":\" \",\"pages\":\"\"},\"PeriodicalIF\":2.8000,\"publicationDate\":\"2025-05-01\",\"publicationTypes\":\"Journal Article\",\"fieldsOfStudy\":null,\"isOpenAccess\":false,\"openAccessPdf\":\"https://www.ncbi.nlm.nih.gov/pmc/articles/PMC12053918/pdf/\",\"citationCount\":\"0\",\"resultStr\":null,\"platform\":\"Semanticscholar\",\"paperid\":null,\"PeriodicalName\":\"Endocrine Connections\",\"FirstCategoryId\":\"3\",\"ListUrlMain\":\"https://doi.org/10.1530/EC-24-0545\",\"RegionNum\":3,\"RegionCategory\":\"医学\",\"ArticlePicture\":[],\"TitleCN\":null,\"AbstractTextCN\":null,\"PMCID\":null,\"EPubDate\":\"2025/4/25 0:00:00\",\"PubModel\":\"Epub\",\"JCR\":\"Q3\",\"JCRName\":\"ENDOCRINOLOGY & METABOLISM\",\"Score\":null,\"Total\":0}","platform":"Semanticscholar","paperid":null,"PeriodicalName":"Endocrine Connections","FirstCategoryId":"3","ListUrlMain":"https://doi.org/10.1530/EC-24-0545","RegionNum":3,"RegionCategory":"医学","ArticlePicture":[],"TitleCN":null,"AbstractTextCN":null,"PMCID":null,"EPubDate":"2025/4/25 0:00:00","PubModel":"Epub","JCR":"Q3","JCRName":"ENDOCRINOLOGY & METABOLISM","Score":null,"Total":0}
引用次数: 0

摘要

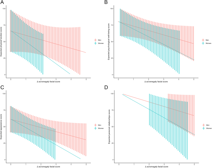
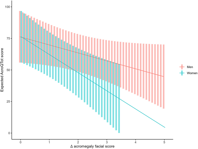
肢端肥大症的诊断常常被延误,导致面部畸形持续存在,尽管内分泌治疗。我们旨在研究肢端肥大症患者面部修饰、生活质量(QoL)和心理状态之间的关系。方法:65例缓解期或激素疾病控制期患者(女性29例,男性36例;平均年龄57.4±13.5岁)。评估以下变量:a)使用AcroQoL评估生活质量;b)使用STAI问卷的焦虑水平;c)自尊量表(Rosemberg Scale);d)面部肢端肥大症的表型变化由8名经验丰富的内分泌学家使用李克特量表从照片中评估。结果:总体AcroQoL评分为中档值,男性评分较高(72.3比56.6,p=0.022)。男性的AcroQoL物理域也更高(59.0比34.9,p=0.006)。在心理领域,男性得分更高(65.7比54.5,p=0.069),尤其是在外表维度上(53.8比38.8,p=0.07),而女性的焦虑得分更低(p=0.009)。整体自尊较高(2.7±0.6,最大值为3),无性别差异。自尊与面部得分呈负相关(rs= -0.559, p=0.074),表明心理影响较小。结论:在控制性肢端肥大症患者中,尽管男性的焦虑得分更高,但男女的生活质量相对保持不变。面部变化对心理状态有微弱但持续的负面影响,在女性身上观察到的影响更大。
本文章由计算机程序翻译,如有差异,请以英文原文为准。

Quality of life and psychological status in people with acromegaly in relation to facial changes.

Quality of life and psychological status in people with acromegaly in relation to facial changes.

Quality of life and psychological status in people with acromegaly in relation to facial changes.

Quality of life and psychological status in people with acromegaly in relation to facial changes.

Introduction: The diagnosis of acromegaly is often delayed, leading to facial disfigurements that persist despite endocrine cure. We aimed to study the relationship between facial modifications, Quality of Life (QoL), and psychologic status in patients with acromegaly.

Methods: Sixty-five patients in remission or with hormonal disease control participated (29 women and 36 men; mean age 57.4±13.5 years). The following variables were assessed: a) Quality of life using AcroQoL; b) Anxiety level with the STAI Questionnaire; c) Self-esteem by the Rosemberg Scale; and d) Facial acromegaly phenotypic changes evaluated from photographs by 8 experienced endocrinologists using a Likert scale.

Results: The overall AcroQoL score showed mid-range values, with better scores for men (72.3 vs 56.6, p=0.022). AcroQoL physical domain was also higher for men (59.0 vs 34.9, p=0.006). In the psychological domain, men tended to score better (65.7 vs 54.5, p=0.069), particularly in the appearance subdimension (53.8 vs 38.8, p=0.07), while women had worse anxiety scores (p=0.009). Global self-esteem was high (2.7 ± 0.6 for a maximal value of 3), without sex differences. A trend towards a negative correlation between self-esteem and facial scores was observed (rs= -0.559, p=0.074), indicating a low psychological impact.

Conclusion: In controlled acromegaly, QoL is relatively preserved in both genders, although men have better anxiety scores. Facial changes have a weak but persistent negative impact on psychological status, with greater intensity observed in women.

求助全文
通过发布文献求助,成功后即可免费获取论文全文。 去求助
来源期刊
Endocrine Connections
Endocrine Connections Medicine-Internal Medicine
CiteScore
5.00
自引率
3.40%
发文量
361
审稿时长
6 weeks
期刊介绍: Endocrine Connections publishes original quality research and reviews in all areas of endocrinology, including papers that deal with non-classical tissues as source or targets of hormones and endocrine papers that have relevance to endocrine-related and intersecting disciplines and the wider biomedical community.
×
引用
GB/T 7714-2015
复制
MLA
复制
APA
复制
导出至
BibTeX EndNote RefMan NoteFirst NoteExpress
×
提示
您的信息不完整,为了账户安全,请先补充。
现在去补充
×
提示
您因"违规操作"
具体请查看互助需知
我知道了
×
提示
确定
请完成安全验证×
copy
已复制链接
快去分享给好友吧!
我知道了
右上角分享
点击右上角分享
0
联系我们:info@booksci.cn Book学术提供免费学术资源搜索服务,方便国内外学者检索中英文文献。致力于提供最便捷和优质的服务体验。 Copyright © 2023 布克学术 All rights reserved.
京ICP备2023020795号-1
ghs 京公网安备 11010802042870号
Book学术文献互助
Book学术文献互助群
群 号:604180095
Book学术官方微信