硫酸锌通过降低白化病大鼠的胰岛素抵抗、肝脏氧化应激和炎症,减轻奥氮平诱导的代谢功能障碍。

IF 2.7 3区 医学 Q2 PHARMACOLOGY & PHARMACY
Samir A E Bashandy, Rasha E Mostafa, Marawan A El-Baset, Fatma A A Ibrahim, Fatma A Morsy, Omar A Farid, Halima M Ibrahim, Bassim M S A Mohamed
{"title":"硫酸锌通过降低白化病大鼠的胰岛素抵抗、肝脏氧化应激和炎症,减轻奥氮平诱导的代谢功能障碍。","authors":"Samir A E Bashandy, Rasha E Mostafa, Marawan A El-Baset, Fatma A A Ibrahim, Fatma A Morsy, Omar A Farid, Halima M Ibrahim, Bassim M S A Mohamed","doi":"10.1186/s40360-025-00889-0","DOIUrl":null,"url":null,"abstract":"<p><p>Olanzapine, an atypical antipsychotic drug, is used to treat psychological diseases. However, it's use carries common side effects. Those include weight gain, dyslipidemia, elevated glucose levels, and disrupted oxidative balance. We aimed to test the effect of zinc coadministration to lessen metabolic disturbances, inflammation and oxidative stress in a rat model. Four treatment groups (n = 6) were involved in this investigation. Group 1 was the control group (received no intervention). Group 2 received olanzapine (10 mg/kg, p.o.; daily) for six weeks, whereas Groups 3 and 4 received 50 mg/kg and 100 mg/kg of zinc sulphate (ZnSO<sub>4</sub>,p.o.; daily) respectively, in addition to olanzapine (10 mg/kg p.o.; daily). Following treatment completion, group 2 showed increased levels of stress markers (GSSG, MDA, and NO) and impaired levels of antioxidant markers (CAT, SOD, and GSH). Further, a strong positive correlation between insulin resistance index (HOMA-IR) and IL-6, TNF-α, and MDA of liver. Insulin resistance is a possible manifestation of the oxidative stress burden and the widespread inflammatory environment. In groups 3 and 4, however, ZnSO<sub>4</sub> recovered each of these markers in a dose-dependent manner. Improvements were also noted in other homeostatic markers, such as taurine, coenzyme Q10, ascorbic acid, and vitamin E. Remarkably, in both combination groups, there was a significant improvement in all metabolic indicators of dyslipidemia (triglycerides, total cholesterol) and insulin resistance index. The biochemical study and the histological assessment of the liver slices agreed with the results. Thus, the results clearly suggest that Zinc supplementation can significantly improve oxidative stress, inflammation, metabolic perturbation (dyslipidemia and insulin resistance), and liver injury caused by olanzapine in Albino rats.</p>","PeriodicalId":9023,"journal":{"name":"BMC Pharmacology & Toxicology","volume":"26 1","pages":"84"},"PeriodicalIF":2.7000,"publicationDate":"2025-04-14","publicationTypes":"Journal Article","fieldsOfStudy":null,"isOpenAccess":false,"openAccessPdf":"https://www.ncbi.nlm.nih.gov/pmc/articles/PMC11998154/pdf/","citationCount":"0","resultStr":"{\"title\":\"Zinc sulphate attenuates metabolic dysfunctions induced by olanzapine via the reduction of insulin resistance, hepatic oxidative stress, and inflammation in albino rats.\",\"authors\":\"Samir A E Bashandy, Rasha E Mostafa, Marawan A El-Baset, Fatma A A Ibrahim, Fatma A Morsy, Omar A Farid, Halima M Ibrahim, Bassim M S A Mohamed\",\"doi\":\"10.1186/s40360-025-00889-0\",\"DOIUrl\":null,\"url\":null,\"abstract\":\"<p><p>Olanzapine, an atypical antipsychotic drug, is used to treat psychological diseases. However, it's use carries common side effects. Those include weight gain, dyslipidemia, elevated glucose levels, and disrupted oxidative balance. We aimed to test the effect of zinc coadministration to lessen metabolic disturbances, inflammation and oxidative stress in a rat model. Four treatment groups (n = 6) were involved in this investigation. Group 1 was the control group (received no intervention). Group 2 received olanzapine (10 mg/kg, p.o.; daily) for six weeks, whereas Groups 3 and 4 received 50 mg/kg and 100 mg/kg of zinc sulphate (ZnSO<sub>4</sub>,p.o.; daily) respectively, in addition to olanzapine (10 mg/kg p.o.; daily). Following treatment completion, group 2 showed increased levels of stress markers (GSSG, MDA, and NO) and impaired levels of antioxidant markers (CAT, SOD, and GSH). Further, a strong positive correlation between insulin resistance index (HOMA-IR) and IL-6, TNF-α, and MDA of liver. Insulin resistance is a possible manifestation of the oxidative stress burden and the widespread inflammatory environment. In groups 3 and 4, however, ZnSO<sub>4</sub> recovered each of these markers in a dose-dependent manner. Improvements were also noted in other homeostatic markers, such as taurine, coenzyme Q10, ascorbic acid, and vitamin E. Remarkably, in both combination groups, there was a significant improvement in all metabolic indicators of dyslipidemia (triglycerides, total cholesterol) and insulin resistance index. The biochemical study and the histological assessment of the liver slices agreed with the results. Thus, the results clearly suggest that Zinc supplementation can significantly improve oxidative stress, inflammation, metabolic perturbation (dyslipidemia and insulin resistance), and liver injury caused by olanzapine in Albino rats.</p>\",\"PeriodicalId\":9023,\"journal\":{\"name\":\"BMC Pharmacology & Toxicology\",\"volume\":\"26 1\",\"pages\":\"84\"},\"PeriodicalIF\":2.7000,\"publicationDate\":\"2025-04-14\",\"publicationTypes\":\"Journal Article\",\"fieldsOfStudy\":null,\"isOpenAccess\":false,\"openAccessPdf\":\"https://www.ncbi.nlm.nih.gov/pmc/articles/PMC11998154/pdf/\",\"citationCount\":\"0\",\"resultStr\":null,\"platform\":\"Semanticscholar\",\"paperid\":null,\"PeriodicalName\":\"BMC Pharmacology & Toxicology\",\"FirstCategoryId\":\"3\",\"ListUrlMain\":\"https://doi.org/10.1186/s40360-025-00889-0\",\"RegionNum\":3,\"RegionCategory\":\"医学\",\"ArticlePicture\":[],\"TitleCN\":null,\"AbstractTextCN\":null,\"PMCID\":null,\"EPubDate\":\"\",\"PubModel\":\"\",\"JCR\":\"Q2\",\"JCRName\":\"PHARMACOLOGY & PHARMACY\",\"Score\":null,\"Total\":0}","platform":"Semanticscholar","paperid":null,"PeriodicalName":"BMC Pharmacology & Toxicology","FirstCategoryId":"3","ListUrlMain":"https://doi.org/10.1186/s40360-025-00889-0","RegionNum":3,"RegionCategory":"医学","ArticlePicture":[],"TitleCN":null,"AbstractTextCN":null,"PMCID":null,"EPubDate":"","PubModel":"","JCR":"Q2","JCRName":"PHARMACOLOGY & PHARMACY","Score":null,"Total":0}
引用次数: 0

摘要

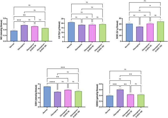
奥氮平是一种非典型抗精神病药物,用于治疗心理疾病。然而,它的使用带来了常见的副作用。这些包括体重增加、血脂异常、血糖水平升高和氧化平衡被破坏。我们的目的是在大鼠模型中测试锌共给药对减轻代谢紊乱、炎症和氧化应激的影响。本研究共纳入4个治疗组(n = 6)。第1组为对照组,不进行干预。组2给予奥氮平(10 mg/kg, p.o.);第3组和第4组分别饲喂50 mg/kg和100 mg/kg硫酸锌(ZnSO4,p.o.;每日),此外还有奥氮平(10mg /kg p.o;每日)。治疗结束后,组2显示应激标志物(GSSG、MDA和NO)水平升高,抗氧化标志物(CAT、SOD和GSH)水平受损。胰岛素抵抗指数(HOMA-IR)与肝脏IL-6、TNF-α、MDA呈显著正相关。胰岛素抵抗可能是氧化应激负担和广泛炎症环境的表现。然而,在第3组和第4组中,ZnSO4以剂量依赖的方式恢复了这些标记物。其他体内平衡指标也有改善,如牛磺酸、辅酶Q10、抗坏血酸和维生素e。值得注意的是,在两个联合组中,血脂异常的所有代谢指标(甘油三酯、总胆固醇)和胰岛素抵抗指数都有显著改善。肝切片的生化研究和组织学评价与实验结果一致。由此可见,补锌可显著改善氧化应激、炎症、代谢紊乱(血脂异常和胰岛素抵抗)以及奥氮平所致的白化病大鼠肝损伤。
本文章由计算机程序翻译,如有差异,请以英文原文为准。

Zinc sulphate attenuates metabolic dysfunctions induced by olanzapine via the reduction of insulin resistance, hepatic oxidative stress, and inflammation in albino rats.

Zinc sulphate attenuates metabolic dysfunctions induced by olanzapine via the reduction of insulin resistance, hepatic oxidative stress, and inflammation in albino rats.

Zinc sulphate attenuates metabolic dysfunctions induced by olanzapine via the reduction of insulin resistance, hepatic oxidative stress, and inflammation in albino rats.

Zinc sulphate attenuates metabolic dysfunctions induced by olanzapine via the reduction of insulin resistance, hepatic oxidative stress, and inflammation in albino rats.

Olanzapine, an atypical antipsychotic drug, is used to treat psychological diseases. However, it's use carries common side effects. Those include weight gain, dyslipidemia, elevated glucose levels, and disrupted oxidative balance. We aimed to test the effect of zinc coadministration to lessen metabolic disturbances, inflammation and oxidative stress in a rat model. Four treatment groups (n = 6) were involved in this investigation. Group 1 was the control group (received no intervention). Group 2 received olanzapine (10 mg/kg, p.o.; daily) for six weeks, whereas Groups 3 and 4 received 50 mg/kg and 100 mg/kg of zinc sulphate (ZnSO4,p.o.; daily) respectively, in addition to olanzapine (10 mg/kg p.o.; daily). Following treatment completion, group 2 showed increased levels of stress markers (GSSG, MDA, and NO) and impaired levels of antioxidant markers (CAT, SOD, and GSH). Further, a strong positive correlation between insulin resistance index (HOMA-IR) and IL-6, TNF-α, and MDA of liver. Insulin resistance is a possible manifestation of the oxidative stress burden and the widespread inflammatory environment. In groups 3 and 4, however, ZnSO4 recovered each of these markers in a dose-dependent manner. Improvements were also noted in other homeostatic markers, such as taurine, coenzyme Q10, ascorbic acid, and vitamin E. Remarkably, in both combination groups, there was a significant improvement in all metabolic indicators of dyslipidemia (triglycerides, total cholesterol) and insulin resistance index. The biochemical study and the histological assessment of the liver slices agreed with the results. Thus, the results clearly suggest that Zinc supplementation can significantly improve oxidative stress, inflammation, metabolic perturbation (dyslipidemia and insulin resistance), and liver injury caused by olanzapine in Albino rats.

求助全文
通过发布文献求助,成功后即可免费获取论文全文。 去求助
来源期刊
BMC Pharmacology & Toxicology
BMC Pharmacology & Toxicology PHARMACOLOGY & PHARMACYTOXICOLOGY&nb-TOXICOLOGY
CiteScore
4.80
自引率
0.00%
发文量
87
审稿时长
12 weeks
期刊介绍: BMC Pharmacology and Toxicology is an open access, peer-reviewed journal that considers articles on all aspects of chemically defined therapeutic and toxic agents. The journal welcomes submissions from all fields of experimental and clinical pharmacology including clinical trials and toxicology.
×
引用
GB/T 7714-2015
复制
MLA
复制
APA
复制
导出至
BibTeX EndNote RefMan NoteFirst NoteExpress
×
提示
您的信息不完整,为了账户安全,请先补充。
现在去补充
×
提示
您因"违规操作"
具体请查看互助需知
我知道了
×
提示
确定
请完成安全验证×
copy
已复制链接
快去分享给好友吧!
我知道了
右上角分享
点击右上角分享
0
联系我们:info@booksci.cn Book学术提供免费学术资源搜索服务,方便国内外学者检索中英文文献。致力于提供最便捷和优质的服务体验。 Copyright © 2023 布克学术 All rights reserved.
京ICP备2023020795号-1
ghs 京公网安备 11010802042870号
Book学术文献互助
Book学术文献互助群
群 号:604180095
Book学术官方微信