青少年边缘型人格精神病理学患者及其母亲心率变异性的个体模式和同步性:一项病例对照研究。

IF 2.7 2区 医学 Q1 PSYCHIATRY
Katharina Williams, Anna Fuchs, Jana Kuehn, Leonie Fleck, Stefan Lerch, Marialuisa Cavelti, Julian Koenig, Michael Kaess
{"title":"青少年边缘型人格精神病理学患者及其母亲心率变异性的个体模式和同步性:一项病例对照研究。","authors":"Katharina Williams, Anna Fuchs, Jana Kuehn, Leonie Fleck, Stefan Lerch, Marialuisa Cavelti, Julian Koenig, Michael Kaess","doi":"10.1186/s40479-025-00289-0","DOIUrl":null,"url":null,"abstract":"<p><strong>Background: </strong>In adolescent Borderline Personality Disorder (BPD), interactions with caregivers often provoke dysregulation. Vagally-mediated heart rate variability (HRV), a physiological marker of regulatory capacities, shows alterations in BPD. Studies on individual and dyadic HRV in adolescents with BPD (BPD-A) and their mothers (BPD-M) are lacking. We examined 1) individual resting state -, reactivity- and recovery- HRV, 2) intrapersonal concordance of interactional quality with HRV, 3) mother-adolescent interpersonal HRV-synchrony and 4) the association of interpersonal HRV-synchrony with behavioral synchrony in a case-control design.</p><p><strong>Methods: </strong>Thirty-eight (sub)syndromal BPD-A and BPD-M were compared to 35 healthy control adolescents and their mothers (HC-A/-M). HRV was assessed during a positive interaction, a stress task and resting before and after interactions (recovery). Behavior during interactions was observed and coded using the \"Coding Interactive Behavior\"- Manual. Data were analyzed using multilevel modeling.</p><p><strong>Results: </strong>BPD-A showed a lower resting HRV than HC-A, while no group differences were found for mothers. From resting to positive interaction, BPD-A/BPD-M/HC-M showed a significant increase in HRV; this increase was not significant for HC-A. HRV-reactivity to stress was not significant in either group but influenced by general emotional and behavioral problems within both adolescent samples. Significant intrapersonal concordance of HRV and behavior could only be found for HC-M during the positive interaction (positive association). For BPD-M, a complete disconnect between behavior and HRV was observed. BPD-dyads and dyads lower in behavioral synchrony displayed HRV-synchrony during stress, in HC-dyads and dyads higher in behavioral synchrony during rest after dyadic interactions.</p><p><strong>Conclusions: </strong>Our study is the first investigating altered HRV-reactivity, behavior-HRV-concordance and HRV-synchrony in adolescents with BPD traits and their mothers, adding new insight to physiological regulation and co-regulation in adolescent BPD pathology. Limitations and implications of these results are discussed.</p>","PeriodicalId":48586,"journal":{"name":"Borderline Personality Disorder and Emotion Dysregulation","volume":"12 1","pages":"12"},"PeriodicalIF":2.7000,"publicationDate":"2025-04-09","publicationTypes":"Journal Article","fieldsOfStudy":null,"isOpenAccess":false,"openAccessPdf":"https://www.ncbi.nlm.nih.gov/pmc/articles/PMC11980296/pdf/","citationCount":"0","resultStr":"{\"title\":\"Individual patterns and synchrony of heart rate variability in adolescent patients with borderline personality psychopathology and their mothers: a case-control study.\",\"authors\":\"Katharina Williams, Anna Fuchs, Jana Kuehn, Leonie Fleck, Stefan Lerch, Marialuisa Cavelti, Julian Koenig, Michael Kaess\",\"doi\":\"10.1186/s40479-025-00289-0\",\"DOIUrl\":null,\"url\":null,\"abstract\":\"<p><strong>Background: </strong>In adolescent Borderline Personality Disorder (BPD), interactions with caregivers often provoke dysregulation. Vagally-mediated heart rate variability (HRV), a physiological marker of regulatory capacities, shows alterations in BPD. Studies on individual and dyadic HRV in adolescents with BPD (BPD-A) and their mothers (BPD-M) are lacking. We examined 1) individual resting state -, reactivity- and recovery- HRV, 2) intrapersonal concordance of interactional quality with HRV, 3) mother-adolescent interpersonal HRV-synchrony and 4) the association of interpersonal HRV-synchrony with behavioral synchrony in a case-control design.</p><p><strong>Methods: </strong>Thirty-eight (sub)syndromal BPD-A and BPD-M were compared to 35 healthy control adolescents and their mothers (HC-A/-M). HRV was assessed during a positive interaction, a stress task and resting before and after interactions (recovery). Behavior during interactions was observed and coded using the \\\"Coding Interactive Behavior\\\"- Manual. Data were analyzed using multilevel modeling.</p><p><strong>Results: </strong>BPD-A showed a lower resting HRV than HC-A, while no group differences were found for mothers. From resting to positive interaction, BPD-A/BPD-M/HC-M showed a significant increase in HRV; this increase was not significant for HC-A. HRV-reactivity to stress was not significant in either group but influenced by general emotional and behavioral problems within both adolescent samples. Significant intrapersonal concordance of HRV and behavior could only be found for HC-M during the positive interaction (positive association). For BPD-M, a complete disconnect between behavior and HRV was observed. BPD-dyads and dyads lower in behavioral synchrony displayed HRV-synchrony during stress, in HC-dyads and dyads higher in behavioral synchrony during rest after dyadic interactions.</p><p><strong>Conclusions: </strong>Our study is the first investigating altered HRV-reactivity, behavior-HRV-concordance and HRV-synchrony in adolescents with BPD traits and their mothers, adding new insight to physiological regulation and co-regulation in adolescent BPD pathology. Limitations and implications of these results are discussed.</p>\",\"PeriodicalId\":48586,\"journal\":{\"name\":\"Borderline Personality Disorder and Emotion Dysregulation\",\"volume\":\"12 1\",\"pages\":\"12\"},\"PeriodicalIF\":2.7000,\"publicationDate\":\"2025-04-09\",\"publicationTypes\":\"Journal Article\",\"fieldsOfStudy\":null,\"isOpenAccess\":false,\"openAccessPdf\":\"https://www.ncbi.nlm.nih.gov/pmc/articles/PMC11980296/pdf/\",\"citationCount\":\"0\",\"resultStr\":null,\"platform\":\"Semanticscholar\",\"paperid\":null,\"PeriodicalName\":\"Borderline Personality Disorder and Emotion Dysregulation\",\"FirstCategoryId\":\"3\",\"ListUrlMain\":\"https://doi.org/10.1186/s40479-025-00289-0\",\"RegionNum\":2,\"RegionCategory\":\"医学\",\"ArticlePicture\":[],\"TitleCN\":null,\"AbstractTextCN\":null,\"PMCID\":null,\"EPubDate\":\"\",\"PubModel\":\"\",\"JCR\":\"Q1\",\"JCRName\":\"PSYCHIATRY\",\"Score\":null,\"Total\":0}","platform":"Semanticscholar","paperid":null,"PeriodicalName":"Borderline Personality Disorder and Emotion Dysregulation","FirstCategoryId":"3","ListUrlMain":"https://doi.org/10.1186/s40479-025-00289-0","RegionNum":2,"RegionCategory":"医学","ArticlePicture":[],"TitleCN":null,"AbstractTextCN":null,"PMCID":null,"EPubDate":"","PubModel":"","JCR":"Q1","JCRName":"PSYCHIATRY","Score":null,"Total":0}
引用次数: 0

摘要

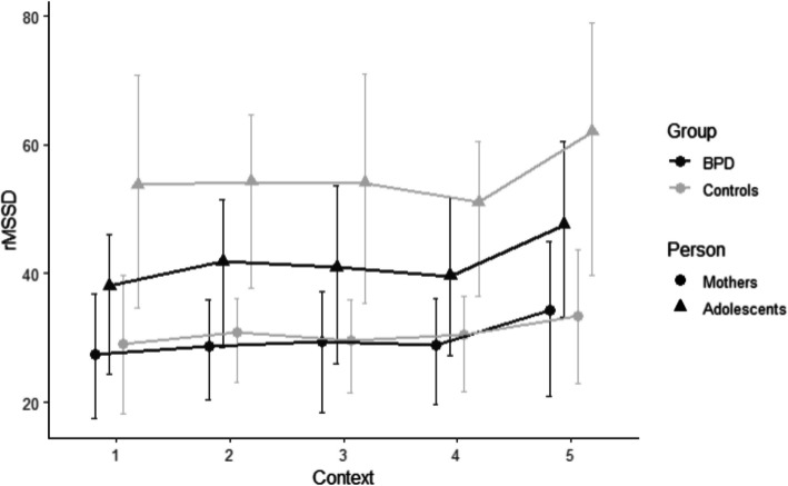
背景:在青少年边缘型人格障碍(BPD)患者中,与照顾者的互动往往会引起调节能力失调。心率变异(HRV)是调节能力的生理标志,在 BPD 中会出现改变。目前还缺乏对患有 BPD(BPD-A)的青少年及其母亲(BPD-M)的个体和双亲心率变异的研究。我们研究了:1)个人静息状态、反应性和恢复性心率变异;2)互动质量与心率变异的人际一致性;3)母亲与青少年的人际心率变异同步性;4)在病例对照设计中,人际心率变异同步性与行为同步性的关联:方法:38 名(亚)综合征 BPD-A 和 BPD-M 与 35 名健康对照青少年及其母亲(HC-A/-M)进行了比较。在积极互动、压力任务以及互动前后的静息状态(恢复)期间对心率变异进行评估。对互动过程中的行为进行观察,并使用 "互动行为编码 "手册进行编码。数据采用多层次模型进行分析:结果:BPD-A 的静息心率变异低于 HC-A,而母亲的静息心率变异没有发现组间差异。从静息到正交互作用,BPD-A/BPD-M/HC-M 的心率变异显著增加;而 HC-A 的心率变异增加不显著。心率变异对压力的反应在两个组别中均不显著,但受到两个青少年样本中一般情绪和行为问题的影响。心率变异与行为之间的显著人际关系只有在HC-M组的正向交互作用(正相关)中才能发现。而对于 BPD-M,则观察到行为与心率变异之间完全脱节。BPD-双人组和行为同步性较低的双人组在压力期间表现出心率变异同步,而HC-双人组和行为同步性较高的双人组在双人互动后的休息期间表现出心率变异同步:我们的研究首次调查了具有BPD特征的青少年及其母亲的心率变异反应、行为-心率变异一致性和心率变异同步性的改变,为青少年BPD病理中的生理调节和共同调节提供了新的视角。本文讨论了这些结果的局限性和影响。
本文章由计算机程序翻译,如有差异,请以英文原文为准。

Individual patterns and synchrony of heart rate variability in adolescent patients with borderline personality psychopathology and their mothers: a case-control study.

Individual patterns and synchrony of heart rate variability in adolescent patients with borderline personality psychopathology and their mothers: a case-control study.

Individual patterns and synchrony of heart rate variability in adolescent patients with borderline personality psychopathology and their mothers: a case-control study.

Individual patterns and synchrony of heart rate variability in adolescent patients with borderline personality psychopathology and their mothers: a case-control study.

Background: In adolescent Borderline Personality Disorder (BPD), interactions with caregivers often provoke dysregulation. Vagally-mediated heart rate variability (HRV), a physiological marker of regulatory capacities, shows alterations in BPD. Studies on individual and dyadic HRV in adolescents with BPD (BPD-A) and their mothers (BPD-M) are lacking. We examined 1) individual resting state -, reactivity- and recovery- HRV, 2) intrapersonal concordance of interactional quality with HRV, 3) mother-adolescent interpersonal HRV-synchrony and 4) the association of interpersonal HRV-synchrony with behavioral synchrony in a case-control design.

Methods: Thirty-eight (sub)syndromal BPD-A and BPD-M were compared to 35 healthy control adolescents and their mothers (HC-A/-M). HRV was assessed during a positive interaction, a stress task and resting before and after interactions (recovery). Behavior during interactions was observed and coded using the "Coding Interactive Behavior"- Manual. Data were analyzed using multilevel modeling.

Results: BPD-A showed a lower resting HRV than HC-A, while no group differences were found for mothers. From resting to positive interaction, BPD-A/BPD-M/HC-M showed a significant increase in HRV; this increase was not significant for HC-A. HRV-reactivity to stress was not significant in either group but influenced by general emotional and behavioral problems within both adolescent samples. Significant intrapersonal concordance of HRV and behavior could only be found for HC-M during the positive interaction (positive association). For BPD-M, a complete disconnect between behavior and HRV was observed. BPD-dyads and dyads lower in behavioral synchrony displayed HRV-synchrony during stress, in HC-dyads and dyads higher in behavioral synchrony during rest after dyadic interactions.

Conclusions: Our study is the first investigating altered HRV-reactivity, behavior-HRV-concordance and HRV-synchrony in adolescents with BPD traits and their mothers, adding new insight to physiological regulation and co-regulation in adolescent BPD pathology. Limitations and implications of these results are discussed.

求助全文
通过发布文献求助,成功后即可免费获取论文全文。 去求助
来源期刊
CiteScore
6.00
自引率
9.80%
发文量
30
审稿时长
28 weeks
期刊介绍: Borderline Personality Disorder and Emotion Dysregulation provides a platform for researchers and clinicians interested in borderline personality disorder (BPD) as a currently highly challenging psychiatric disorder. Emotion dysregulation is at the core of BPD but also stands on its own as a major pathological component of the underlying neurobiology of various other psychiatric disorders. The journal focuses on the psychological, social and neurobiological aspects of emotion dysregulation as well as epidemiology, phenomenology, pathophysiology, treatment, neurobiology, genetics, and animal models of BPD.
×
引用
GB/T 7714-2015
复制
MLA
复制
APA
复制
导出至
BibTeX EndNote RefMan NoteFirst NoteExpress
×
提示
您的信息不完整,为了账户安全,请先补充。
现在去补充
×
提示
您因"违规操作"
具体请查看互助需知
我知道了
×
提示
确定
请完成安全验证×
copy
已复制链接
快去分享给好友吧!
我知道了
右上角分享
点击右上角分享
0
联系我们:info@booksci.cn Book学术提供免费学术资源搜索服务,方便国内外学者检索中英文文献。致力于提供最便捷和优质的服务体验。 Copyright © 2023 布克学术 All rights reserved.
京ICP备2023020795号-1
ghs 京公网安备 11010802042870号
Book学术文献互助
Book学术文献互助群
群 号:604180095
Book学术官方微信