比替格拉韦/恩曲他滨/替诺福韦阿拉那胺或含替替格拉韦方案治疗HIV的长期代谢变化。

IF 2.5 4区 医学 Q3 INFECTIOUS DISEASES
Eric S Daar, Chloe Orkin, Paul E Sax, Debbie Hagins, Anton Pozniak, Kimberly Workowski, Cynthia Brinson, Juan Manuel Tiraboschi, Hui Liu, Chris Deaton, Cal Cohen, Sharline Madera, Jason T Hindman, Moti Ramgopal
{"title":"比替格拉韦/恩曲他滨/替诺福韦阿拉那胺或含替替格拉韦方案治疗HIV的长期代谢变化。","authors":"Eric S Daar, Chloe Orkin, Paul E Sax, Debbie Hagins, Anton Pozniak, Kimberly Workowski, Cynthia Brinson, Juan Manuel Tiraboschi, Hui Liu, Chris Deaton, Cal Cohen, Sharline Madera, Jason T Hindman, Moti Ramgopal","doi":"10.1186/s12981-025-00732-w","DOIUrl":null,"url":null,"abstract":"<p><strong>Background: </strong>To evaluate long-term changes in weight and metabolic parameters in people with HIV-1 (PWH) initiating first-line antiretroviral therapy.</p><p><strong>Methods: </strong>Analysis of two Phase 3, randomized, double-blind, active-controlled trials (1489: NCT02607930; 1490: NCT02607956). PWH received bictegravir/emtricitabine/tenofovir alafenamide (B/F/TAF) or dolutegravir (DTG)-based treatment (Study 1489: dolutegravir/abacavir/lamivudine [DTG/ABC/3TC]; Study 1490: DTG + F/TAF) for 144 weeks, followed by B/F/TAF (96-week open-label extension up to Week 240). Weight and metabolic parameters were assessed through Week 144 by randomized treatment assignment. Weight changes by baseline viral load and CD4 count were evaluated in PWH receiving B/F/TAF from baseline through Week 240. Multivariate modeling explored baseline factors associated with absolute weight and weight change through Week 240 and weight gain ≥ 10% at Week 240.</p><p><strong>Results: </strong>Median weight and body mass index (BMI) increased over time with B/F/TAF (n = 628), DTG/ABC/3TC (n = 315), and DTG + F/TAF (n = 325). There were no significant differences in change in weight or BMI between the B/F/TAF and DTG + F/TAF groups or between the B/F/TAF and DTG/ABC/3TC groups at Week 144 in either trial, nor were there differences in other metabolic parameters, including incidence of treatment-emergent diabetes mellitus and hypertension through Week 144. Among PWH receiving B/F/TAF (baseline through Week 240), weight increases were greatest soon after initiating antiretroviral therapy (i.e., Weeks 0-48), particularly in participants with baseline viral load > 100,000 copies/ml and/or CD4 count < 200 cells/µl. In multivariate modeling (B/F/TAF pooled data), lower baseline CD4 count and higher HIV-1 RNA were associated with lower baseline weight and greater weight gain, but not absolute weight, from Week 48 through Week 240.</p><p><strong>Conclusions: </strong>No significant difference in weight change from baseline to Week 144 was found between bictegravir and DTG, or between B/F/TAF and a non-TAF-containing regimen, in these two randomized trials. Furthermore, weight gain following treatment initiation was greatest in the first year of treatment and most pronounced in individuals with more advanced HIV at baseline, supporting the hypothesis that weight gain following initial treatment is linked to a \"return to health\" in people with advanced HIV.</p>","PeriodicalId":7503,"journal":{"name":"AIDS Research and Therapy","volume":"22 1","pages":"45"},"PeriodicalIF":2.5000,"publicationDate":"2025-04-07","publicationTypes":"Journal Article","fieldsOfStudy":null,"isOpenAccess":false,"openAccessPdf":"https://www.ncbi.nlm.nih.gov/pmc/articles/PMC11978100/pdf/","citationCount":"0","resultStr":"{\"title\":\"Long-term metabolic changes with bictegravir/emtricitabine/tenofovir alafenamide or dolutegravir-containing regimens for HIV.\",\"authors\":\"Eric S Daar, Chloe Orkin, Paul E Sax, Debbie Hagins, Anton Pozniak, Kimberly Workowski, Cynthia Brinson, Juan Manuel Tiraboschi, Hui Liu, Chris Deaton, Cal Cohen, Sharline Madera, Jason T Hindman, Moti Ramgopal\",\"doi\":\"10.1186/s12981-025-00732-w\",\"DOIUrl\":null,\"url\":null,\"abstract\":\"<p><strong>Background: </strong>To evaluate long-term changes in weight and metabolic parameters in people with HIV-1 (PWH) initiating first-line antiretroviral therapy.</p><p><strong>Methods: </strong>Analysis of two Phase 3, randomized, double-blind, active-controlled trials (1489: NCT02607930; 1490: NCT02607956). PWH received bictegravir/emtricitabine/tenofovir alafenamide (B/F/TAF) or dolutegravir (DTG)-based treatment (Study 1489: dolutegravir/abacavir/lamivudine [DTG/ABC/3TC]; Study 1490: DTG + F/TAF) for 144 weeks, followed by B/F/TAF (96-week open-label extension up to Week 240). Weight and metabolic parameters were assessed through Week 144 by randomized treatment assignment. Weight changes by baseline viral load and CD4 count were evaluated in PWH receiving B/F/TAF from baseline through Week 240. Multivariate modeling explored baseline factors associated with absolute weight and weight change through Week 240 and weight gain ≥ 10% at Week 240.</p><p><strong>Results: </strong>Median weight and body mass index (BMI) increased over time with B/F/TAF (n = 628), DTG/ABC/3TC (n = 315), and DTG + F/TAF (n = 325). There were no significant differences in change in weight or BMI between the B/F/TAF and DTG + F/TAF groups or between the B/F/TAF and DTG/ABC/3TC groups at Week 144 in either trial, nor were there differences in other metabolic parameters, including incidence of treatment-emergent diabetes mellitus and hypertension through Week 144. Among PWH receiving B/F/TAF (baseline through Week 240), weight increases were greatest soon after initiating antiretroviral therapy (i.e., Weeks 0-48), particularly in participants with baseline viral load > 100,000 copies/ml and/or CD4 count < 200 cells/µl. In multivariate modeling (B/F/TAF pooled data), lower baseline CD4 count and higher HIV-1 RNA were associated with lower baseline weight and greater weight gain, but not absolute weight, from Week 48 through Week 240.</p><p><strong>Conclusions: </strong>No significant difference in weight change from baseline to Week 144 was found between bictegravir and DTG, or between B/F/TAF and a non-TAF-containing regimen, in these two randomized trials. Furthermore, weight gain following treatment initiation was greatest in the first year of treatment and most pronounced in individuals with more advanced HIV at baseline, supporting the hypothesis that weight gain following initial treatment is linked to a \\\"return to health\\\" in people with advanced HIV.</p>\",\"PeriodicalId\":7503,\"journal\":{\"name\":\"AIDS Research and Therapy\",\"volume\":\"22 1\",\"pages\":\"45\"},\"PeriodicalIF\":2.5000,\"publicationDate\":\"2025-04-07\",\"publicationTypes\":\"Journal Article\",\"fieldsOfStudy\":null,\"isOpenAccess\":false,\"openAccessPdf\":\"https://www.ncbi.nlm.nih.gov/pmc/articles/PMC11978100/pdf/\",\"citationCount\":\"0\",\"resultStr\":null,\"platform\":\"Semanticscholar\",\"paperid\":null,\"PeriodicalName\":\"AIDS Research and Therapy\",\"FirstCategoryId\":\"3\",\"ListUrlMain\":\"https://doi.org/10.1186/s12981-025-00732-w\",\"RegionNum\":4,\"RegionCategory\":\"医学\",\"ArticlePicture\":[],\"TitleCN\":null,\"AbstractTextCN\":null,\"PMCID\":null,\"EPubDate\":\"\",\"PubModel\":\"\",\"JCR\":\"Q3\",\"JCRName\":\"INFECTIOUS DISEASES\",\"Score\":null,\"Total\":0}","platform":"Semanticscholar","paperid":null,"PeriodicalName":"AIDS Research and Therapy","FirstCategoryId":"3","ListUrlMain":"https://doi.org/10.1186/s12981-025-00732-w","RegionNum":4,"RegionCategory":"医学","ArticlePicture":[],"TitleCN":null,"AbstractTextCN":null,"PMCID":null,"EPubDate":"","PubModel":"","JCR":"Q3","JCRName":"INFECTIOUS DISEASES","Score":null,"Total":0}
引用次数: 0

摘要

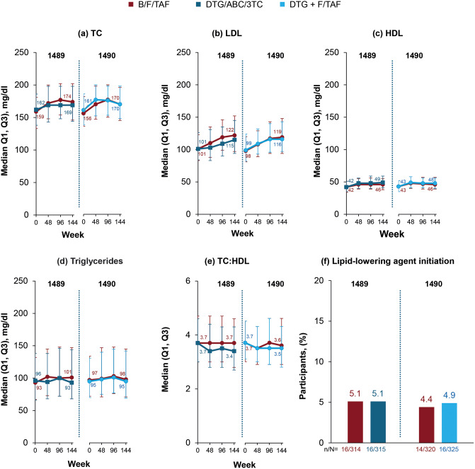
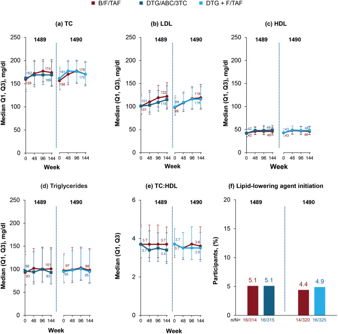
背景:评估HIV-1 (PWH)患者开始一线抗逆转录病毒治疗后体重和代谢参数的长期变化。方法:分析两项3期随机、双盲、主动对照试验(1489:NCT02607930;1490年:NCT02607956)。PWH接受比替重力韦/恩曲西他滨/替诺福韦阿拉法胺(B/F/TAF)或多替重力韦(DTG)为基础的治疗(研究1489:多替重力韦/阿巴卡韦/拉米夫定[DTG/ABC/3TC];研究1490:DTG + F/TAF) 144周,随后是B/F/TAF(96周开放标签延长至第240周)。通过随机治疗分配,在第144周评估体重和代谢参数。从基线到第240周,通过基线病毒载量和CD4计数评估接受B/F/TAF的PWH的体重变化。多变量建模探讨了与第240周绝对体重和体重变化以及第240周体重增加≥10%相关的基线因素。结果:B/F/TAF (n = 628)、DTG/ABC/3TC (n = 315)和DTG + F/TAF (n = 325)的中位体重和体重指数(BMI)随时间增加。在两项试验中,在第144周,B/F/TAF组和DTG + F/TAF组之间,以及B/F/TAF组和DTG/ABC/3TC组之间的体重或BMI变化没有显著差异,其他代谢参数也没有差异,包括到第144周治疗后出现的糖尿病和高血压的发生率。在接受B/F/TAF治疗的PWH(基线至第240周)中,体重增加在开始抗逆转录病毒治疗后不久(即0-48周)最大,特别是在基线病毒载量为100万拷贝/ml和/或CD4计数为100万拷贝/ml的参与者中。结论:在这两项随机试验中,从基线到第144周,比替重力韦和DTG之间,或B/F/TAF和不含TAF的方案之间,体重变化没有显著差异。此外,治疗开始后的体重增加在治疗的第一年最大,在基线时艾滋病毒较晚期的个体中最明显,这支持了最初治疗后体重增加与晚期艾滋病毒感染者“恢复健康”有关的假设。
本文章由计算机程序翻译,如有差异,请以英文原文为准。

Long-term metabolic changes with bictegravir/emtricitabine/tenofovir alafenamide or dolutegravir-containing regimens for HIV.

Long-term metabolic changes with bictegravir/emtricitabine/tenofovir alafenamide or dolutegravir-containing regimens for HIV.

Long-term metabolic changes with bictegravir/emtricitabine/tenofovir alafenamide or dolutegravir-containing regimens for HIV.

Long-term metabolic changes with bictegravir/emtricitabine/tenofovir alafenamide or dolutegravir-containing regimens for HIV.

Long-term metabolic changes with bictegravir/emtricitabine/tenofovir alafenamide or dolutegravir-containing regimens for HIV.

Long-term metabolic changes with bictegravir/emtricitabine/tenofovir alafenamide or dolutegravir-containing regimens for HIV.

Long-term metabolic changes with bictegravir/emtricitabine/tenofovir alafenamide or dolutegravir-containing regimens for HIV.

Background: To evaluate long-term changes in weight and metabolic parameters in people with HIV-1 (PWH) initiating first-line antiretroviral therapy.

Methods: Analysis of two Phase 3, randomized, double-blind, active-controlled trials (1489: NCT02607930; 1490: NCT02607956). PWH received bictegravir/emtricitabine/tenofovir alafenamide (B/F/TAF) or dolutegravir (DTG)-based treatment (Study 1489: dolutegravir/abacavir/lamivudine [DTG/ABC/3TC]; Study 1490: DTG + F/TAF) for 144 weeks, followed by B/F/TAF (96-week open-label extension up to Week 240). Weight and metabolic parameters were assessed through Week 144 by randomized treatment assignment. Weight changes by baseline viral load and CD4 count were evaluated in PWH receiving B/F/TAF from baseline through Week 240. Multivariate modeling explored baseline factors associated with absolute weight and weight change through Week 240 and weight gain ≥ 10% at Week 240.

Results: Median weight and body mass index (BMI) increased over time with B/F/TAF (n = 628), DTG/ABC/3TC (n = 315), and DTG + F/TAF (n = 325). There were no significant differences in change in weight or BMI between the B/F/TAF and DTG + F/TAF groups or between the B/F/TAF and DTG/ABC/3TC groups at Week 144 in either trial, nor were there differences in other metabolic parameters, including incidence of treatment-emergent diabetes mellitus and hypertension through Week 144. Among PWH receiving B/F/TAF (baseline through Week 240), weight increases were greatest soon after initiating antiretroviral therapy (i.e., Weeks 0-48), particularly in participants with baseline viral load > 100,000 copies/ml and/or CD4 count < 200 cells/µl. In multivariate modeling (B/F/TAF pooled data), lower baseline CD4 count and higher HIV-1 RNA were associated with lower baseline weight and greater weight gain, but not absolute weight, from Week 48 through Week 240.

Conclusions: No significant difference in weight change from baseline to Week 144 was found between bictegravir and DTG, or between B/F/TAF and a non-TAF-containing regimen, in these two randomized trials. Furthermore, weight gain following treatment initiation was greatest in the first year of treatment and most pronounced in individuals with more advanced HIV at baseline, supporting the hypothesis that weight gain following initial treatment is linked to a "return to health" in people with advanced HIV.

求助全文
通过发布文献求助,成功后即可免费获取论文全文。 去求助
来源期刊
AIDS Research and Therapy
AIDS Research and Therapy INFECTIOUS DISEASES-
CiteScore
3.80
自引率
4.50%
发文量
51
审稿时长
16 weeks
期刊介绍: AIDS Research and Therapy publishes articles on basic science, translational, clinical, social, epidemiological, behavioral and educational sciences articles focused on the treatment and prevention of HIV/AIDS, and the search for the cure. The Journal publishes articles on novel and developing treatment strategies for AIDS as well as on the outcomes of established treatment strategies. Original research articles on animal models that form an essential part of the AIDS treatment research are also considered
×
引用
GB/T 7714-2015
复制
MLA
复制
APA
复制
导出至
BibTeX EndNote RefMan NoteFirst NoteExpress
×
提示
您的信息不完整,为了账户安全,请先补充。
现在去补充
×
提示
您因"违规操作"
具体请查看互助需知
我知道了
×
提示
确定
请完成安全验证×
copy
已复制链接
快去分享给好友吧!
我知道了
右上角分享
点击右上角分享
0
联系我们:info@booksci.cn Book学术提供免费学术资源搜索服务,方便国内外学者检索中英文文献。致力于提供最便捷和优质的服务体验。 Copyright © 2023 布克学术 All rights reserved.
京ICP备2023020795号-1
ghs 京公网安备 11010802042870号
Book学术文献互助
Book学术文献互助群
群 号:604180095
Book学术官方微信