屏蔽头骨:探讨面部保护、撞击位置和颈部刚度对冰球头盔线性撞击安全性的影响。

Q1 Health Professions
International journal of exercise science Pub Date : 2025-03-01 eCollection Date: 2025-01-01 DOI:10.70252/REVL1750
Leigh Jeffries, Meilan Liu, Paolo Sanzo, Eryk Przysucha, Carlos Zerpa
{"title":"屏蔽头骨:探讨面部保护、撞击位置和颈部刚度对冰球头盔线性撞击安全性的影响。","authors":"Leigh Jeffries, Meilan Liu, Paolo Sanzo, Eryk Przysucha, Carlos Zerpa","doi":"10.70252/REVL1750","DOIUrl":null,"url":null,"abstract":"<p><p>Originally designed to mitigate skull fractures and traumatic brain injuries in hockey players, hockey helmets have now become a critical focus for further research due to the rise in mild traumatic brain injuries. With the sport's evolution introducing stronger and faster players, new approaches that incorporate facial shielding in helmet technology and enhance athletes' neck strength are needed to reduce concussion risks. This study pursued two primary objectives. Firstly, it sought to determine if a hockey helmet's stiffness fluctuated at different contact locations during static compression with the inclusion of facial shielding. Secondly, it examined the influence of impact location, facial protection type, and neck stiffness on head injury risk during simulated dynamic impacts, gauged by the Gadd Severity Index (GSI). The findings revealed that helmet stiffness varied across locations, and a significant three-way interaction was observed between facial shielding, impact location, and neckform stiffness level concerning GSI measures at <i>p</i> < 0.05. Further analysis unveiled significant two-way interactions between impact location and facial shielding across neck strength levels at <i>p</i> < 0.05. These outcomes underscore the critical role of facial shielding, neck strength and impact location, in averting brain injuries in hockey. The results carry practical implications for helmet manufacturers, standards bodies, coaches, and players, urging a comprehensive approach to helmet design and player safety.</p>","PeriodicalId":14171,"journal":{"name":"International journal of exercise science","volume":"18 7","pages":"343-362"},"PeriodicalIF":0.0000,"publicationDate":"2025-03-01","publicationTypes":"Journal Article","fieldsOfStudy":null,"isOpenAccess":false,"openAccessPdf":"https://www.ncbi.nlm.nih.gov/pmc/articles/PMC11970410/pdf/","citationCount":"0","resultStr":"{\"title\":\"Shielding the Skull: Exploring the Influence of Facial Protection, Impact Location and Neck Stiffness on Hockey Helmet Safety During a Linear Impact.\",\"authors\":\"Leigh Jeffries, Meilan Liu, Paolo Sanzo, Eryk Przysucha, Carlos Zerpa\",\"doi\":\"10.70252/REVL1750\",\"DOIUrl\":null,\"url\":null,\"abstract\":\"<p><p>Originally designed to mitigate skull fractures and traumatic brain injuries in hockey players, hockey helmets have now become a critical focus for further research due to the rise in mild traumatic brain injuries. With the sport's evolution introducing stronger and faster players, new approaches that incorporate facial shielding in helmet technology and enhance athletes' neck strength are needed to reduce concussion risks. This study pursued two primary objectives. Firstly, it sought to determine if a hockey helmet's stiffness fluctuated at different contact locations during static compression with the inclusion of facial shielding. Secondly, it examined the influence of impact location, facial protection type, and neck stiffness on head injury risk during simulated dynamic impacts, gauged by the Gadd Severity Index (GSI). The findings revealed that helmet stiffness varied across locations, and a significant three-way interaction was observed between facial shielding, impact location, and neckform stiffness level concerning GSI measures at <i>p</i> < 0.05. Further analysis unveiled significant two-way interactions between impact location and facial shielding across neck strength levels at <i>p</i> < 0.05. These outcomes underscore the critical role of facial shielding, neck strength and impact location, in averting brain injuries in hockey. The results carry practical implications for helmet manufacturers, standards bodies, coaches, and players, urging a comprehensive approach to helmet design and player safety.</p>\",\"PeriodicalId\":14171,\"journal\":{\"name\":\"International journal of exercise science\",\"volume\":\"18 7\",\"pages\":\"343-362\"},\"PeriodicalIF\":0.0000,\"publicationDate\":\"2025-03-01\",\"publicationTypes\":\"Journal Article\",\"fieldsOfStudy\":null,\"isOpenAccess\":false,\"openAccessPdf\":\"https://www.ncbi.nlm.nih.gov/pmc/articles/PMC11970410/pdf/\",\"citationCount\":\"0\",\"resultStr\":null,\"platform\":\"Semanticscholar\",\"paperid\":null,\"PeriodicalName\":\"International journal of exercise science\",\"FirstCategoryId\":\"1085\",\"ListUrlMain\":\"https://doi.org/10.70252/REVL1750\",\"RegionNum\":0,\"RegionCategory\":null,\"ArticlePicture\":[],\"TitleCN\":null,\"AbstractTextCN\":null,\"PMCID\":null,\"EPubDate\":\"2025/1/1 0:00:00\",\"PubModel\":\"eCollection\",\"JCR\":\"Q1\",\"JCRName\":\"Health Professions\",\"Score\":null,\"Total\":0}","platform":"Semanticscholar","paperid":null,"PeriodicalName":"International journal of exercise science","FirstCategoryId":"1085","ListUrlMain":"https://doi.org/10.70252/REVL1750","RegionNum":0,"RegionCategory":null,"ArticlePicture":[],"TitleCN":null,"AbstractTextCN":null,"PMCID":null,"EPubDate":"2025/1/1 0:00:00","PubModel":"eCollection","JCR":"Q1","JCRName":"Health Professions","Score":null,"Total":0}
引用次数: 0

摘要

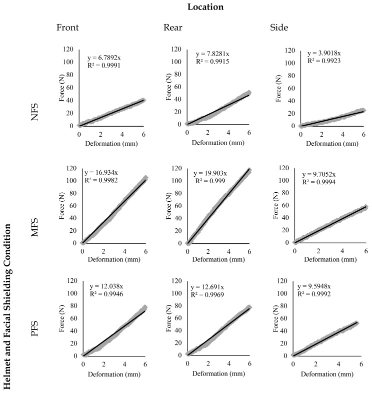
曲棍球头盔最初是为了减轻曲棍球运动员的颅骨骨折和创伤性脑损伤而设计的,由于轻度创伤性脑损伤的增加,曲棍球头盔现在已成为进一步研究的关键焦点。随着这项运动的发展,引进了更强壮、更快的球员,需要在头盔技术中加入面部屏蔽和增强运动员颈部力量的新方法,以减少脑震荡的风险。这项研究有两个主要目标。首先,它试图确定在包含面部屏蔽的静态压缩过程中,冰球头盔的刚度是否在不同的接触位置波动。其次,通过Gadd严重程度指数(GSI),研究了模拟动态撞击过程中撞击位置、面部保护类型和颈部僵硬度对头部损伤风险的影响。研究结果显示,头盔刚度在不同位置存在差异,在GSI测量中,面部屏蔽、撞击位置和颈型刚度水平之间存在显著的三方交互作用(p < 0.05)。进一步分析显示,撞击位置和面部屏蔽在颈部强度水平之间存在显著的双向交互作用,p < 0.05。这些结果强调了面部保护、颈部力量和撞击位置在避免曲棍球脑损伤中的关键作用。研究结果对头盔制造商、标准机构、教练和球员具有实际意义,敦促采取全面的方法来设计头盔和球员安全。
本文章由计算机程序翻译,如有差异,请以英文原文为准。

Shielding the Skull: Exploring the Influence of Facial Protection, Impact Location and Neck Stiffness on Hockey Helmet Safety During a Linear Impact.

Shielding the Skull: Exploring the Influence of Facial Protection, Impact Location and Neck Stiffness on Hockey Helmet Safety During a Linear Impact.

Shielding the Skull: Exploring the Influence of Facial Protection, Impact Location and Neck Stiffness on Hockey Helmet Safety During a Linear Impact.

Shielding the Skull: Exploring the Influence of Facial Protection, Impact Location and Neck Stiffness on Hockey Helmet Safety During a Linear Impact.

Originally designed to mitigate skull fractures and traumatic brain injuries in hockey players, hockey helmets have now become a critical focus for further research due to the rise in mild traumatic brain injuries. With the sport's evolution introducing stronger and faster players, new approaches that incorporate facial shielding in helmet technology and enhance athletes' neck strength are needed to reduce concussion risks. This study pursued two primary objectives. Firstly, it sought to determine if a hockey helmet's stiffness fluctuated at different contact locations during static compression with the inclusion of facial shielding. Secondly, it examined the influence of impact location, facial protection type, and neck stiffness on head injury risk during simulated dynamic impacts, gauged by the Gadd Severity Index (GSI). The findings revealed that helmet stiffness varied across locations, and a significant three-way interaction was observed between facial shielding, impact location, and neckform stiffness level concerning GSI measures at p < 0.05. Further analysis unveiled significant two-way interactions between impact location and facial shielding across neck strength levels at p < 0.05. These outcomes underscore the critical role of facial shielding, neck strength and impact location, in averting brain injuries in hockey. The results carry practical implications for helmet manufacturers, standards bodies, coaches, and players, urging a comprehensive approach to helmet design and player safety.

求助全文
通过发布文献求助,成功后即可免费获取论文全文。 去求助
来源期刊
International journal of exercise science
International journal of exercise science Health Professions-Occupational Therapy
CiteScore
2.20
自引率
0.00%
发文量
47
审稿时长
26 weeks
×
引用
GB/T 7714-2015
复制
MLA
复制
APA
复制
导出至
BibTeX EndNote RefMan NoteFirst NoteExpress
×
提示
您的信息不完整,为了账户安全,请先补充。
现在去补充
×
提示
您因"违规操作"
具体请查看互助需知
我知道了
×
提示
确定
请完成安全验证×
copy
已复制链接
快去分享给好友吧!
我知道了
右上角分享
点击右上角分享
0
联系我们:info@booksci.cn Book学术提供免费学术资源搜索服务,方便国内外学者检索中英文文献。致力于提供最便捷和优质的服务体验。 Copyright © 2023 布克学术 All rights reserved.
京ICP备2023020795号-1
ghs 京公网安备 11010802042870号
Book学术文献互助
Book学术文献互助群
群 号:604180095
Book学术官方微信