尿-去甲肾上腺素:肾上腺腺瘤患者死亡风险的预测因子。

IF 3.9 2区 综合性期刊 Q1 MULTIDISCIPLINARY SCIENCES
Albin Kjellbom, Magnus Löndahl, Malin Danielsson, Henrik Olsen, Ola Lindgren
{"title":"尿-去甲肾上腺素:肾上腺腺瘤患者死亡风险的预测因子。","authors":"Albin Kjellbom, Magnus Löndahl, Malin Danielsson, Henrik Olsen, Ola Lindgren","doi":"10.1038/s41598-025-94951-w","DOIUrl":null,"url":null,"abstract":"<p><p>Urine-metanephrines are used in the screening for pheochromocytomas in patients with adrenal incidentalomas, but their potential as markers for mortality in patients with adrenal adenomas has not been studied. A retrospective cohort study was designed to investigate if urine-metanephrines were associated with mortality in patients with adrenal adenomas. Participants where consecutively included between 2005 and 2015 at two endocrine centres in southern Sweden and followed until December 31st, 2022. The exposures were 24 h-urine (tU) metanephrine and normetanephrine analysed at inclusion. The endpoint was all-cause mortality. Outcome data were obtained from the Cause of Death Register. 879 adult (≥ 18 years) patients with an incidentally discovered adrenal adenoma were included in the study and followed for a median of 9.9 years. Median age of patients was 66.7 years, and 59.6% were women. 278 patients died during follow-up. tU-normetanephrine was associated with increased mortality, adjusted hazard ratio (HR) 1.47 (95% CI, 1.27-1.69) (HR for an increase of 100 μmol/mol creatinine). There was no significant association between tU-metanephrine and mortality, HR 0.96 (0.64-1.43). tU-normetanephrine seems to be a predictor for mortality in patients with adrenal adenomas. This widely available diagnostic test may be helpful in further risk-stratifying patients with adrenal adenomas.</p>","PeriodicalId":21811,"journal":{"name":"Scientific Reports","volume":"15 1","pages":"11145"},"PeriodicalIF":3.9000,"publicationDate":"2025-04-01","publicationTypes":"Journal Article","fieldsOfStudy":null,"isOpenAccess":false,"openAccessPdf":"https://www.ncbi.nlm.nih.gov/pmc/articles/PMC11961734/pdf/","citationCount":"0","resultStr":"{\"title\":\"Urine-normetanephrine, a predictor of mortality risk in patients with adrenal adenomas.\",\"authors\":\"Albin Kjellbom, Magnus Löndahl, Malin Danielsson, Henrik Olsen, Ola Lindgren\",\"doi\":\"10.1038/s41598-025-94951-w\",\"DOIUrl\":null,\"url\":null,\"abstract\":\"<p><p>Urine-metanephrines are used in the screening for pheochromocytomas in patients with adrenal incidentalomas, but their potential as markers for mortality in patients with adrenal adenomas has not been studied. A retrospective cohort study was designed to investigate if urine-metanephrines were associated with mortality in patients with adrenal adenomas. Participants where consecutively included between 2005 and 2015 at two endocrine centres in southern Sweden and followed until December 31st, 2022. The exposures were 24 h-urine (tU) metanephrine and normetanephrine analysed at inclusion. The endpoint was all-cause mortality. Outcome data were obtained from the Cause of Death Register. 879 adult (≥ 18 years) patients with an incidentally discovered adrenal adenoma were included in the study and followed for a median of 9.9 years. Median age of patients was 66.7 years, and 59.6% were women. 278 patients died during follow-up. tU-normetanephrine was associated with increased mortality, adjusted hazard ratio (HR) 1.47 (95% CI, 1.27-1.69) (HR for an increase of 100 μmol/mol creatinine). There was no significant association between tU-metanephrine and mortality, HR 0.96 (0.64-1.43). tU-normetanephrine seems to be a predictor for mortality in patients with adrenal adenomas. This widely available diagnostic test may be helpful in further risk-stratifying patients with adrenal adenomas.</p>\",\"PeriodicalId\":21811,\"journal\":{\"name\":\"Scientific Reports\",\"volume\":\"15 1\",\"pages\":\"11145\"},\"PeriodicalIF\":3.9000,\"publicationDate\":\"2025-04-01\",\"publicationTypes\":\"Journal Article\",\"fieldsOfStudy\":null,\"isOpenAccess\":false,\"openAccessPdf\":\"https://www.ncbi.nlm.nih.gov/pmc/articles/PMC11961734/pdf/\",\"citationCount\":\"0\",\"resultStr\":null,\"platform\":\"Semanticscholar\",\"paperid\":null,\"PeriodicalName\":\"Scientific Reports\",\"FirstCategoryId\":\"103\",\"ListUrlMain\":\"https://doi.org/10.1038/s41598-025-94951-w\",\"RegionNum\":2,\"RegionCategory\":\"综合性期刊\",\"ArticlePicture\":[],\"TitleCN\":null,\"AbstractTextCN\":null,\"PMCID\":null,\"EPubDate\":\"\",\"PubModel\":\"\",\"JCR\":\"Q1\",\"JCRName\":\"MULTIDISCIPLINARY SCIENCES\",\"Score\":null,\"Total\":0}","platform":"Semanticscholar","paperid":null,"PeriodicalName":"Scientific Reports","FirstCategoryId":"103","ListUrlMain":"https://doi.org/10.1038/s41598-025-94951-w","RegionNum":2,"RegionCategory":"综合性期刊","ArticlePicture":[],"TitleCN":null,"AbstractTextCN":null,"PMCID":null,"EPubDate":"","PubModel":"","JCR":"Q1","JCRName":"MULTIDISCIPLINARY SCIENCES","Score":null,"Total":0}
引用次数: 0

摘要

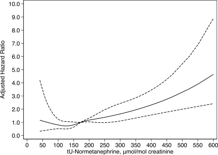
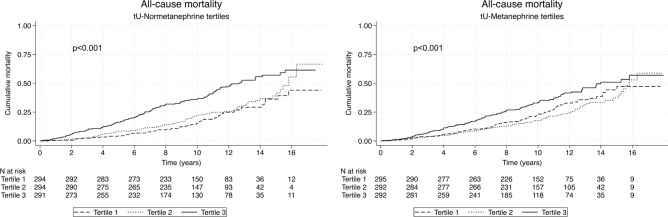
尿-肾上腺素用于肾上腺偶发瘤患者嗜铬细胞瘤的筛查,但其作为肾上腺腺瘤患者死亡率标志物的潜力尚未研究。一项回顾性队列研究旨在调查尿肾上腺素是否与肾上腺腺瘤患者的死亡率相关。参与者于2005年至2015年在瑞典南部的两个内分泌中心连续纳入,并随访至2022年12月31日。暴露24 h-尿(tU)肾上腺素和去甲肾上腺素分析纳入。终点是全因死亡率。结果数据来自死因登记册。879名偶然发现肾上腺腺瘤的成人(≥18岁)患者被纳入研究,随访时间中位数为9.9年。患者中位年龄为66.7岁,女性为59.6%。278例患者在随访期间死亡。tu -去甲肾上腺素与死亡率升高相关,校正危险比(HR)为1.47 (95% CI, 1.27-1.69)(肌酐升高100 μmol/mol时的HR)。tu -肾上腺素与死亡率无显著相关性,HR为0.96(0.64-1.43)。tu -去甲肾上腺素似乎是肾上腺腺瘤患者死亡率的预测因子。这种广泛使用的诊断测试可能有助于进一步对肾上腺腺瘤患者进行风险分层。
本文章由计算机程序翻译,如有差异,请以英文原文为准。

Urine-normetanephrine, a predictor of mortality risk in patients with adrenal adenomas.

Urine-normetanephrine, a predictor of mortality risk in patients with adrenal adenomas.

Urine-normetanephrine, a predictor of mortality risk in patients with adrenal adenomas.

Urine-normetanephrine, a predictor of mortality risk in patients with adrenal adenomas.

Urine-metanephrines are used in the screening for pheochromocytomas in patients with adrenal incidentalomas, but their potential as markers for mortality in patients with adrenal adenomas has not been studied. A retrospective cohort study was designed to investigate if urine-metanephrines were associated with mortality in patients with adrenal adenomas. Participants where consecutively included between 2005 and 2015 at two endocrine centres in southern Sweden and followed until December 31st, 2022. The exposures were 24 h-urine (tU) metanephrine and normetanephrine analysed at inclusion. The endpoint was all-cause mortality. Outcome data were obtained from the Cause of Death Register. 879 adult (≥ 18 years) patients with an incidentally discovered adrenal adenoma were included in the study and followed for a median of 9.9 years. Median age of patients was 66.7 years, and 59.6% were women. 278 patients died during follow-up. tU-normetanephrine was associated with increased mortality, adjusted hazard ratio (HR) 1.47 (95% CI, 1.27-1.69) (HR for an increase of 100 μmol/mol creatinine). There was no significant association between tU-metanephrine and mortality, HR 0.96 (0.64-1.43). tU-normetanephrine seems to be a predictor for mortality in patients with adrenal adenomas. This widely available diagnostic test may be helpful in further risk-stratifying patients with adrenal adenomas.

求助全文
通过发布文献求助,成功后即可免费获取论文全文。 去求助
来源期刊
Scientific Reports
Scientific Reports Natural Science Disciplines-
CiteScore
7.50
自引率
4.30%
发文量
19567
审稿时长
3.9 months
期刊介绍: We publish original research from all areas of the natural sciences, psychology, medicine and engineering. You can learn more about what we publish by browsing our specific scientific subject areas below or explore Scientific Reports by browsing all articles and collections. Scientific Reports has a 2-year impact factor: 4.380 (2021), and is the 6th most-cited journal in the world, with more than 540,000 citations in 2020 (Clarivate Analytics, 2021). •Engineering Engineering covers all aspects of engineering, technology, and applied science. It plays a crucial role in the development of technologies to address some of the world''s biggest challenges, helping to save lives and improve the way we live. •Physical sciences Physical sciences are those academic disciplines that aim to uncover the underlying laws of nature — often written in the language of mathematics. It is a collective term for areas of study including astronomy, chemistry, materials science and physics. •Earth and environmental sciences Earth and environmental sciences cover all aspects of Earth and planetary science and broadly encompass solid Earth processes, surface and atmospheric dynamics, Earth system history, climate and climate change, marine and freshwater systems, and ecology. It also considers the interactions between humans and these systems. •Biological sciences Biological sciences encompass all the divisions of natural sciences examining various aspects of vital processes. The concept includes anatomy, physiology, cell biology, biochemistry and biophysics, and covers all organisms from microorganisms, animals to plants. •Health sciences The health sciences study health, disease and healthcare. This field of study aims to develop knowledge, interventions and technology for use in healthcare to improve the treatment of patients.
×
引用
GB/T 7714-2015
复制
MLA
复制
APA
复制
导出至
BibTeX EndNote RefMan NoteFirst NoteExpress
×
提示
您的信息不完整,为了账户安全,请先补充。
现在去补充
×
提示
您因"违规操作"
具体请查看互助需知
我知道了
×
提示
确定
请完成安全验证×
copy
已复制链接
快去分享给好友吧!
我知道了
右上角分享
点击右上角分享
0
联系我们:info@booksci.cn Book学术提供免费学术资源搜索服务,方便国内外学者检索中英文文献。致力于提供最便捷和优质的服务体验。 Copyright © 2023 布克学术 All rights reserved.
京ICP备2023020795号-1
ghs 京公网安备 11010802042870号
Book学术文献互助
Book学术文献互助群
群 号:604180095
Book学术官方微信