bi2o3基混合导电复合材料优越的氧交换动力学。

IF 4.3 Q2 CHEMISTRY, PHYSICAL
ACS Physical Chemistry Au Pub Date : 2025-02-11 eCollection Date: 2025-03-26 DOI:10.1021/acsphyschemau.4c00111
Linn Katinka Emhjellen, Vincent Thoréton, Wen Xing, Reidar Haugsrud
{"title":"bi2o3基混合导电复合材料优越的氧交换动力学。","authors":"Linn Katinka Emhjellen, Vincent Thoréton, Wen Xing, Reidar Haugsrud","doi":"10.1021/acsphyschemau.4c00111","DOIUrl":null,"url":null,"abstract":"<p><p>The kinetics of oxygen exchange dictate the rate of redox reactions, which is crucial for electrochemical-based sustainable technologies. In this study, we use isotope exchange pulse responses to elucidate the oxygen exchange mechanism for (Bi<sub>0.8</sub>Tm<sub>0.2</sub>)<sub>2</sub>O<sub>3-δ</sub> (BTM)-(La<sub>0.8</sub>Sr<sub>0.2</sub>)<sub>0.99</sub>MnO<sub>3-δ</sub> (LSM) composites. With an optimized composition and microstructure, these composites can achieve polarization resistances below 0.01 Ω·cm<sup>2</sup> at 700 °C. Analysis of the oxygen exchange rate, , by splitting it into elementary processes using the serial two-step scheme, demonstrates that both the dissociative adsorption and incorporation of oxygen are accelerated in BTM-LSM compared to the parent phases. Dissociative adsorption of molecular oxygen is rate-limiting below 900 °C in the range 0.002-0.05 atm O<sub>2</sub> and below 850 °C in 0.21 atm O<sub>2</sub>. Cation interdiffusion or changes in the electronic structure at the interface between the two materials create an electrocatalytically active region spanning 1-40 nm around the BTM-LSM phase boundary. Oxygen exchange coefficients within this region were estimated to be 2-3 orders of magnitude higher compared to those of the entire composite surface. We propose two potential pathways for oxygen exchange in BTM-LSM, with calculated <i>p</i> <sub>O<sub>2</sub></sub> dependencies for each rate-determining step (<i>rds</i>). The <i>p</i> <sub>O<sub>2</sub></sub> dependency of reveals that molecular oxygen is involved in the <i>rds</i>.</p>","PeriodicalId":29796,"journal":{"name":"ACS Physical Chemistry Au","volume":"5 2","pages":"239-248"},"PeriodicalIF":4.3000,"publicationDate":"2025-02-11","publicationTypes":"Journal Article","fieldsOfStudy":null,"isOpenAccess":false,"openAccessPdf":"https://www.ncbi.nlm.nih.gov/pmc/articles/PMC11950862/pdf/","citationCount":"0","resultStr":"{\"title\":\"Superior Oxygen Exchange Kinetics on Bi<sub>2</sub>O<sub>3</sub>-Based Mixed Conducting Composites.\",\"authors\":\"Linn Katinka Emhjellen, Vincent Thoréton, Wen Xing, Reidar Haugsrud\",\"doi\":\"10.1021/acsphyschemau.4c00111\",\"DOIUrl\":null,\"url\":null,\"abstract\":\"<p><p>The kinetics of oxygen exchange dictate the rate of redox reactions, which is crucial for electrochemical-based sustainable technologies. In this study, we use isotope exchange pulse responses to elucidate the oxygen exchange mechanism for (Bi<sub>0.8</sub>Tm<sub>0.2</sub>)<sub>2</sub>O<sub>3-δ</sub> (BTM)-(La<sub>0.8</sub>Sr<sub>0.2</sub>)<sub>0.99</sub>MnO<sub>3-δ</sub> (LSM) composites. With an optimized composition and microstructure, these composites can achieve polarization resistances below 0.01 Ω·cm<sup>2</sup> at 700 °C. Analysis of the oxygen exchange rate, , by splitting it into elementary processes using the serial two-step scheme, demonstrates that both the dissociative adsorption and incorporation of oxygen are accelerated in BTM-LSM compared to the parent phases. Dissociative adsorption of molecular oxygen is rate-limiting below 900 °C in the range 0.002-0.05 atm O<sub>2</sub> and below 850 °C in 0.21 atm O<sub>2</sub>. Cation interdiffusion or changes in the electronic structure at the interface between the two materials create an electrocatalytically active region spanning 1-40 nm around the BTM-LSM phase boundary. Oxygen exchange coefficients within this region were estimated to be 2-3 orders of magnitude higher compared to those of the entire composite surface. We propose two potential pathways for oxygen exchange in BTM-LSM, with calculated <i>p</i> <sub>O<sub>2</sub></sub> dependencies for each rate-determining step (<i>rds</i>). The <i>p</i> <sub>O<sub>2</sub></sub> dependency of reveals that molecular oxygen is involved in the <i>rds</i>.</p>\",\"PeriodicalId\":29796,\"journal\":{\"name\":\"ACS Physical Chemistry Au\",\"volume\":\"5 2\",\"pages\":\"239-248\"},\"PeriodicalIF\":4.3000,\"publicationDate\":\"2025-02-11\",\"publicationTypes\":\"Journal Article\",\"fieldsOfStudy\":null,\"isOpenAccess\":false,\"openAccessPdf\":\"https://www.ncbi.nlm.nih.gov/pmc/articles/PMC11950862/pdf/\",\"citationCount\":\"0\",\"resultStr\":null,\"platform\":\"Semanticscholar\",\"paperid\":null,\"PeriodicalName\":\"ACS Physical Chemistry Au\",\"FirstCategoryId\":\"1085\",\"ListUrlMain\":\"https://doi.org/10.1021/acsphyschemau.4c00111\",\"RegionNum\":0,\"RegionCategory\":null,\"ArticlePicture\":[],\"TitleCN\":null,\"AbstractTextCN\":null,\"PMCID\":null,\"EPubDate\":\"2025/3/26 0:00:00\",\"PubModel\":\"eCollection\",\"JCR\":\"Q2\",\"JCRName\":\"CHEMISTRY, PHYSICAL\",\"Score\":null,\"Total\":0}","platform":"Semanticscholar","paperid":null,"PeriodicalName":"ACS Physical Chemistry Au","FirstCategoryId":"1085","ListUrlMain":"https://doi.org/10.1021/acsphyschemau.4c00111","RegionNum":0,"RegionCategory":null,"ArticlePicture":[],"TitleCN":null,"AbstractTextCN":null,"PMCID":null,"EPubDate":"2025/3/26 0:00:00","PubModel":"eCollection","JCR":"Q2","JCRName":"CHEMISTRY, PHYSICAL","Score":null,"Total":0}
引用次数: 0

摘要

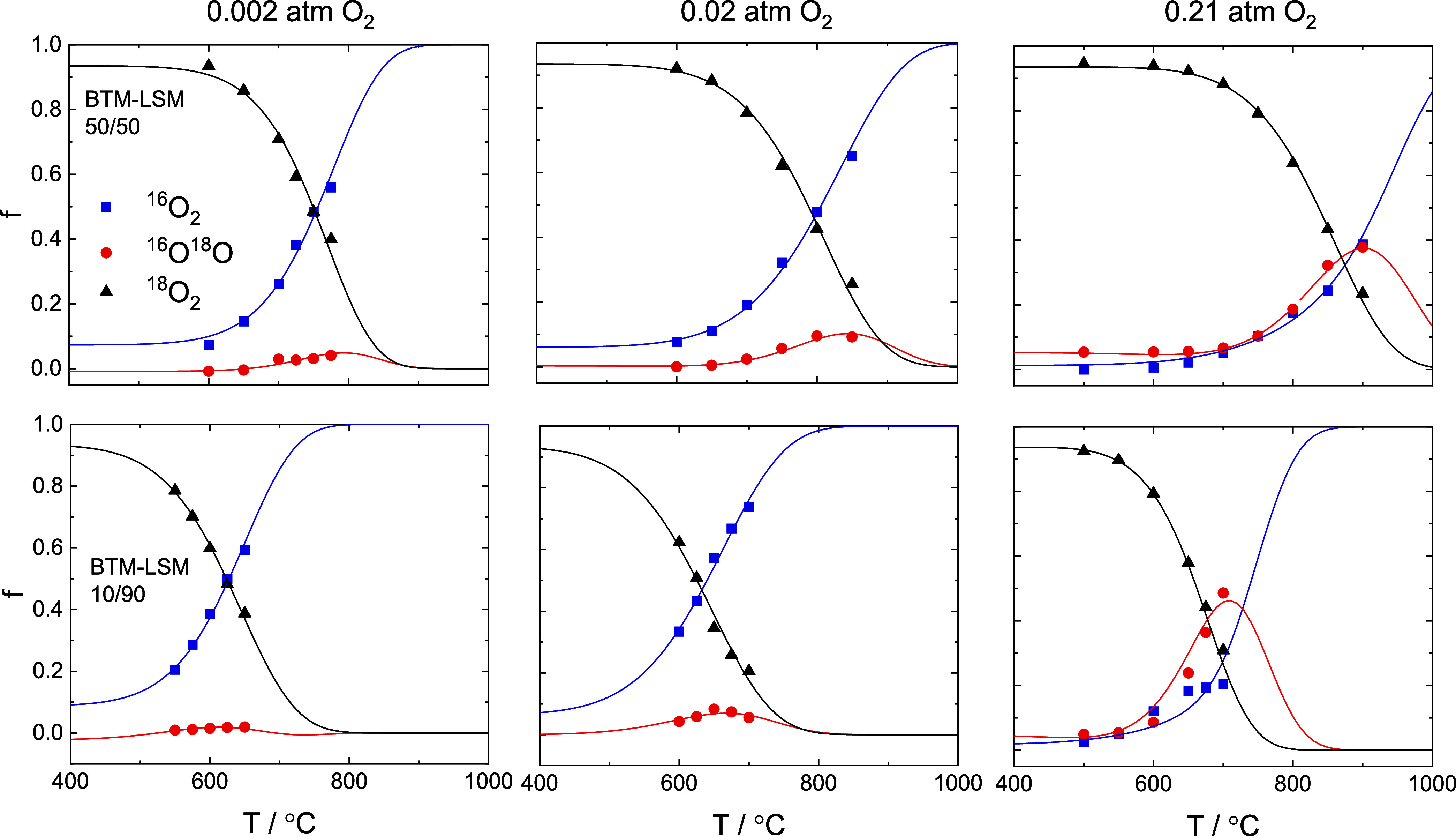
氧交换的动力学决定了氧化还原反应的速率,这对于基于电化学的可持续技术至关重要。在本研究中,我们利用同位素交换脉冲响应来阐明(Bi0.8Tm0.2)2O3-δ (BTM)-(La0.8Sr0.2)0.99MnO3-δ (LSM)复合材料的氧交换机制。优化后的复合材料在700℃时的极化电阻低于0.01 Ω·cm2。采用串联两步法对氧交换速率进行了分析,结果表明,与母相相比,BTM-LSM中的解离吸附和氧的结合都加快了。分子氧的解离吸附在0.002-0.05 atm O2范围内低于900°C,在0.21 atm O2范围内低于850°C。阳离子的相互扩散或两种材料界面上电子结构的变化在BTM-LSM相边界周围形成了一个跨越1-40 nm的电催化活性区域。与整个复合材料表面相比,该区域内的氧交换系数估计要高2-3个数量级。我们提出了BTM-LSM中氧交换的两种潜在途径,并计算了每个速率决定步骤(rds)的氧依赖关系。po2依赖性表明分子氧参与了rds。
本文章由计算机程序翻译,如有差异,请以英文原文为准。

Superior Oxygen Exchange Kinetics on Bi<sub>2</sub>O<sub>3</sub>-Based Mixed Conducting Composites.

Superior Oxygen Exchange Kinetics on Bi<sub>2</sub>O<sub>3</sub>-Based Mixed Conducting Composites.

Superior Oxygen Exchange Kinetics on Bi<sub>2</sub>O<sub>3</sub>-Based Mixed Conducting Composites.

Superior Oxygen Exchange Kinetics on Bi2O3-Based Mixed Conducting Composites.

The kinetics of oxygen exchange dictate the rate of redox reactions, which is crucial for electrochemical-based sustainable technologies. In this study, we use isotope exchange pulse responses to elucidate the oxygen exchange mechanism for (Bi0.8Tm0.2)2O3-δ (BTM)-(La0.8Sr0.2)0.99MnO3-δ (LSM) composites. With an optimized composition and microstructure, these composites can achieve polarization resistances below 0.01 Ω·cm2 at 700 °C. Analysis of the oxygen exchange rate, , by splitting it into elementary processes using the serial two-step scheme, demonstrates that both the dissociative adsorption and incorporation of oxygen are accelerated in BTM-LSM compared to the parent phases. Dissociative adsorption of molecular oxygen is rate-limiting below 900 °C in the range 0.002-0.05 atm O2 and below 850 °C in 0.21 atm O2. Cation interdiffusion or changes in the electronic structure at the interface between the two materials create an electrocatalytically active region spanning 1-40 nm around the BTM-LSM phase boundary. Oxygen exchange coefficients within this region were estimated to be 2-3 orders of magnitude higher compared to those of the entire composite surface. We propose two potential pathways for oxygen exchange in BTM-LSM, with calculated p O2 dependencies for each rate-determining step (rds). The p O2 dependency of reveals that molecular oxygen is involved in the rds.

求助全文
通过发布文献求助,成功后即可免费获取论文全文。 去求助
来源期刊
CiteScore
3.70
自引率
0.00%
发文量
0
期刊介绍: ACS Physical Chemistry Au is an open access journal which publishes original fundamental and applied research on all aspects of physical chemistry. The journal publishes new and original experimental computational and theoretical research of interest to physical chemists biophysical chemists chemical physicists physicists material scientists and engineers. An essential criterion for acceptance is that the manuscript provides new physical insight or develops new tools and methods of general interest. Some major topical areas include:Molecules Clusters and Aerosols; Biophysics Biomaterials Liquids and Soft Matter; Energy Materials and Catalysis
×
引用
GB/T 7714-2015
复制
MLA
复制
APA
复制
导出至
BibTeX EndNote RefMan NoteFirst NoteExpress
×
提示
您的信息不完整,为了账户安全,请先补充。
现在去补充
×
提示
您因"违规操作"
具体请查看互助需知
我知道了
×
提示
确定
请完成安全验证×
copy
已复制链接
快去分享给好友吧!
我知道了
右上角分享
点击右上角分享
0
联系我们:info@booksci.cn Book学术提供免费学术资源搜索服务,方便国内外学者检索中英文文献。致力于提供最便捷和优质的服务体验。 Copyright © 2023 布克学术 All rights reserved.
京ICP备2023020795号-1
ghs 京公网安备 11010802042870号
Book学术文献互助
Book学术文献互助群
群 号:604180095
Book学术官方微信