直肠癌新辅助治疗反应与术后病理结果的影像学评价。

Current health sciences journal Pub Date : 2024-10-01 Epub Date: 2024-12-31 DOI:10.12865/CHSJ.50.04.13
Lucian Dragoş Bratu, Ana-Maria Ciurea, Puiu Olivian Stovicek, Michael Schenker, Ioana-Andreea Gheonea, Mihai-Alexandru Ene, Ştefan Paitici, Tradian Ciprian Berisha, Alina-Maria Mehedinţeanu, Bogdan Oprișan, Stelian Ştefăniţă Mogoantă
{"title":"直肠癌新辅助治疗反应与术后病理结果的影像学评价。","authors":"Lucian Dragoş Bratu, Ana-Maria Ciurea, Puiu Olivian Stovicek, Michael Schenker, Ioana-Andreea Gheonea, Mihai-Alexandru Ene, Ştefan Paitici, Tradian Ciprian Berisha, Alina-Maria Mehedinţeanu, Bogdan Oprișan, Stelian Ştefăniţă Mogoantă","doi":"10.12865/CHSJ.50.04.13","DOIUrl":null,"url":null,"abstract":"<p><strong>Background and objective: </strong>Rectal cancer remains a global health challenge with significant morbidity and mortality. Neoadjuvant therapy (NAT) is critical for downstaging tumors and improving surgical outcomes. This study aimed to compare the performance of magnetic resonance imaging (MRI) and computed tomography (CT) in evaluating tumor response to NAT in rectal cancer patients, focusing on imaging accuracy and correlation with histopathological findings.</p><p><strong>Materials and methods: </strong>This retrospective study analyzed 201 patients diagnosed with rectal cancer who underwent NAT followed by surgery. Imaging evaluations were conducted pre-NAT and post-NAT using MRI or CT. Tumor responses were categorized into complete response, downstaging, stable disease, and upstaging. Statistical analyses included Chi-square, Mann-Whitney U, and Z-tests to assess differences in imaging performance and concordance with pathological outcomes.</p><p><strong>Results: </strong>Both imaging modalities identified significant downstaging post-NAT, with CT demonstrating a higher sensitivity for detecting complete responses (12.5% vs. 6.61% for MRI) and better local staging accuracy. CT showed superior performance in systemic metastasis detection but had limitations in distinguishing fibrosis from residual tumors. Overall diagnostic accuracy was 42.29%, with MRI having a statistically significant edge in detecting favorable tumor responses (p=0.043). The combined use of CT and MRI provided complementary insights, enhancing clinical decision making.</p><p><strong>Conclusions: </strong>MRI excels in local tumor evaluation post-NAT, offering detailed imaging crucial for surgical planning and conservative strategies like \"watch-and-wait\" in complete responders. CT remains indispensable for systemic staging and metastasis detection. Integrating both modalities within a standardized protocol can optimize staging accuracy and treatment outcomes in rectal cancer.</p>","PeriodicalId":93963,"journal":{"name":"Current health sciences journal","volume":"50 5","pages":"585-598"},"PeriodicalIF":0.0000,"publicationDate":"2024-10-01","publicationTypes":"Journal Article","fieldsOfStudy":null,"isOpenAccess":false,"openAccessPdf":"https://www.ncbi.nlm.nih.gov/pmc/articles/PMC11936080/pdf/","citationCount":"0","resultStr":"{\"title\":\"Imaging Assessment of the Response to Neoadjuvant Treatment in Rectal Cancer in Relation to Postoperative Pathological Outcomes.\",\"authors\":\"Lucian Dragoş Bratu, Ana-Maria Ciurea, Puiu Olivian Stovicek, Michael Schenker, Ioana-Andreea Gheonea, Mihai-Alexandru Ene, Ştefan Paitici, Tradian Ciprian Berisha, Alina-Maria Mehedinţeanu, Bogdan Oprișan, Stelian Ştefăniţă Mogoantă\",\"doi\":\"10.12865/CHSJ.50.04.13\",\"DOIUrl\":null,\"url\":null,\"abstract\":\"<p><strong>Background and objective: </strong>Rectal cancer remains a global health challenge with significant morbidity and mortality. Neoadjuvant therapy (NAT) is critical for downstaging tumors and improving surgical outcomes. This study aimed to compare the performance of magnetic resonance imaging (MRI) and computed tomography (CT) in evaluating tumor response to NAT in rectal cancer patients, focusing on imaging accuracy and correlation with histopathological findings.</p><p><strong>Materials and methods: </strong>This retrospective study analyzed 201 patients diagnosed with rectal cancer who underwent NAT followed by surgery. Imaging evaluations were conducted pre-NAT and post-NAT using MRI or CT. Tumor responses were categorized into complete response, downstaging, stable disease, and upstaging. Statistical analyses included Chi-square, Mann-Whitney U, and Z-tests to assess differences in imaging performance and concordance with pathological outcomes.</p><p><strong>Results: </strong>Both imaging modalities identified significant downstaging post-NAT, with CT demonstrating a higher sensitivity for detecting complete responses (12.5% vs. 6.61% for MRI) and better local staging accuracy. CT showed superior performance in systemic metastasis detection but had limitations in distinguishing fibrosis from residual tumors. Overall diagnostic accuracy was 42.29%, with MRI having a statistically significant edge in detecting favorable tumor responses (p=0.043). The combined use of CT and MRI provided complementary insights, enhancing clinical decision making.</p><p><strong>Conclusions: </strong>MRI excels in local tumor evaluation post-NAT, offering detailed imaging crucial for surgical planning and conservative strategies like \\\"watch-and-wait\\\" in complete responders. CT remains indispensable for systemic staging and metastasis detection. Integrating both modalities within a standardized protocol can optimize staging accuracy and treatment outcomes in rectal cancer.</p>\",\"PeriodicalId\":93963,\"journal\":{\"name\":\"Current health sciences journal\",\"volume\":\"50 5\",\"pages\":\"585-598\"},\"PeriodicalIF\":0.0000,\"publicationDate\":\"2024-10-01\",\"publicationTypes\":\"Journal Article\",\"fieldsOfStudy\":null,\"isOpenAccess\":false,\"openAccessPdf\":\"https://www.ncbi.nlm.nih.gov/pmc/articles/PMC11936080/pdf/\",\"citationCount\":\"0\",\"resultStr\":null,\"platform\":\"Semanticscholar\",\"paperid\":null,\"PeriodicalName\":\"Current health sciences journal\",\"FirstCategoryId\":\"1085\",\"ListUrlMain\":\"https://doi.org/10.12865/CHSJ.50.04.13\",\"RegionNum\":0,\"RegionCategory\":null,\"ArticlePicture\":[],\"TitleCN\":null,\"AbstractTextCN\":null,\"PMCID\":null,\"EPubDate\":\"2024/12/31 0:00:00\",\"PubModel\":\"Epub\",\"JCR\":\"\",\"JCRName\":\"\",\"Score\":null,\"Total\":0}","platform":"Semanticscholar","paperid":null,"PeriodicalName":"Current health sciences journal","FirstCategoryId":"1085","ListUrlMain":"https://doi.org/10.12865/CHSJ.50.04.13","RegionNum":0,"RegionCategory":null,"ArticlePicture":[],"TitleCN":null,"AbstractTextCN":null,"PMCID":null,"EPubDate":"2024/12/31 0:00:00","PubModel":"Epub","JCR":"","JCRName":"","Score":null,"Total":0}
引用次数: 0

摘要

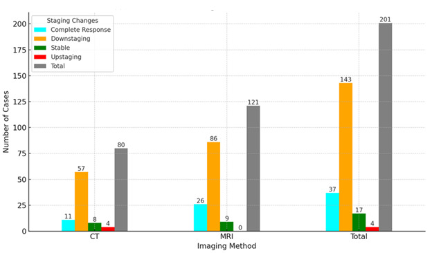
背景和目的:直肠癌仍然是一个全球性的健康挑战,具有显著的发病率和死亡率。新辅助治疗(NAT)是降低肿瘤分期和改善手术效果的关键。本研究旨在比较磁共振成像(MRI)和计算机断层扫描(CT)在评估直肠癌患者对NAT的肿瘤反应方面的表现,重点关注成像准确性及其与组织病理学结果的相关性。材料与方法:本回顾性研究分析201例诊断为直肠癌并行NAT后手术的患者。在nat前和nat后分别使用MRI或CT进行影像学评估。肿瘤反应分为完全缓解、低分期、稳定和高分期。统计分析包括卡方检验、Mann-Whitney U检验和z检验,以评估影像学表现的差异以及与病理结果的一致性。结果:两种成像方式都发现了nat后明显的分期下降,CT在检测完全缓解方面表现出更高的灵敏度(12.5%比MRI的6.61%)和更好的局部分期准确性。CT在检测全身转移方面表现优异,但在区分纤维化和残余肿瘤方面存在局限性。总体诊断准确率为42.29%,MRI在检测肿瘤有利反应方面具有统计学显著优势(p=0.043)。CT和MRI的联合使用提供了互补的见解,增强了临床决策。结论:MRI在nat后的局部肿瘤评估中表现出色,为完全应答者的手术计划和保守策略(如“观察和等待”)提供了至关重要的详细成像。CT在系统分期和转移检测中仍然不可或缺。在标准化的方案中整合这两种方式可以优化直肠癌的分期准确性和治疗结果。
本文章由计算机程序翻译,如有差异,请以英文原文为准。

Imaging Assessment of the Response to Neoadjuvant Treatment in Rectal Cancer in Relation to Postoperative Pathological Outcomes.

Imaging Assessment of the Response to Neoadjuvant Treatment in Rectal Cancer in Relation to Postoperative Pathological Outcomes.

Imaging Assessment of the Response to Neoadjuvant Treatment in Rectal Cancer in Relation to Postoperative Pathological Outcomes.

Background and objective: Rectal cancer remains a global health challenge with significant morbidity and mortality. Neoadjuvant therapy (NAT) is critical for downstaging tumors and improving surgical outcomes. This study aimed to compare the performance of magnetic resonance imaging (MRI) and computed tomography (CT) in evaluating tumor response to NAT in rectal cancer patients, focusing on imaging accuracy and correlation with histopathological findings.

Materials and methods: This retrospective study analyzed 201 patients diagnosed with rectal cancer who underwent NAT followed by surgery. Imaging evaluations were conducted pre-NAT and post-NAT using MRI or CT. Tumor responses were categorized into complete response, downstaging, stable disease, and upstaging. Statistical analyses included Chi-square, Mann-Whitney U, and Z-tests to assess differences in imaging performance and concordance with pathological outcomes.

Results: Both imaging modalities identified significant downstaging post-NAT, with CT demonstrating a higher sensitivity for detecting complete responses (12.5% vs. 6.61% for MRI) and better local staging accuracy. CT showed superior performance in systemic metastasis detection but had limitations in distinguishing fibrosis from residual tumors. Overall diagnostic accuracy was 42.29%, with MRI having a statistically significant edge in detecting favorable tumor responses (p=0.043). The combined use of CT and MRI provided complementary insights, enhancing clinical decision making.

Conclusions: MRI excels in local tumor evaluation post-NAT, offering detailed imaging crucial for surgical planning and conservative strategies like "watch-and-wait" in complete responders. CT remains indispensable for systemic staging and metastasis detection. Integrating both modalities within a standardized protocol can optimize staging accuracy and treatment outcomes in rectal cancer.

求助全文
通过发布文献求助,成功后即可免费获取论文全文。 去求助
来源期刊
自引率
0.00%
发文量
0
×
引用
GB/T 7714-2015
复制
MLA
复制
APA
复制
导出至
BibTeX EndNote RefMan NoteFirst NoteExpress
×
提示
您的信息不完整,为了账户安全,请先补充。
现在去补充
×
提示
您因"违规操作"
具体请查看互助需知
我知道了
×
提示
确定
请完成安全验证×
copy
已复制链接
快去分享给好友吧!
我知道了
右上角分享
点击右上角分享
0
联系我们:info@booksci.cn Book学术提供免费学术资源搜索服务,方便国内外学者检索中英文文献。致力于提供最便捷和优质的服务体验。 Copyright © 2023 布克学术 All rights reserved.
京ICP备2023020795号-1
ghs 京公网安备 11010802042870号
Book学术文献互助
Book学术文献互助群
群 号:604180095
Book学术官方微信