青少年早期的精神痛苦和终生自杀企图:一项初步研究。

IF 4.6 3区 医学 Q1 PEDIATRICS
Jon García-Ormaza, Jeffrey V Tabares, Ennio Ammendola, Alexander Muela
{"title":"青少年早期的精神痛苦和终生自杀企图:一项初步研究。","authors":"Jon García-Ormaza, Jeffrey V Tabares, Ennio Ammendola, Alexander Muela","doi":"10.1186/s13034-025-00883-8","DOIUrl":null,"url":null,"abstract":"<p><p>The primary aim of the present study was to examine the association of four complementary measures-suicidal cognitions, entrapment, mental pain, and depression-with past suicide attempts in early adolescence. The sample consisted of 657 adolescents aged 12-15 years (M = 12.68, SD = ± 0.82; 49.16% female, 49.47% male and 1.22% non-binary), all enrolled in the first stage of secondary education (ISCED 2, first year) in schools in Spain. The study employed a three-phase analytical approach: (1) ROC/AUC analysis to evaluate the performance of each measure, (2) logistic regression models to assess their association with past suicide attempts, and (3) validating the first-phase classification results by accounting for the possibility of response imbalances on each of four measures. The results showed that high intensity of mental pain most strongly associated with past suicide attempts, exhibiting the highest sensitivity and reliability across models. Suicidal cognitions and entrapment also showed utility in assessing suicide risk, although their impact was less pronounced than mental pain. Depressive symptomatology showed limited utility distinguishing adolescents with a history of suicide attempts. These findings underscore the importance of incorporating mental pain and related constructs in community-based strategies for suicide prevention with early adolescence-aged children. By combining these factors, practitioners can gain a more comprehensive understanding of risk, facilitating early identification and intervention in adolescents at risk for suicide.</p>","PeriodicalId":9934,"journal":{"name":"Child and Adolescent Psychiatry and Mental Health","volume":"19 1","pages":"30"},"PeriodicalIF":4.6000,"publicationDate":"2025-03-22","publicationTypes":"Journal Article","fieldsOfStudy":null,"isOpenAccess":false,"openAccessPdf":"https://www.ncbi.nlm.nih.gov/pmc/articles/PMC11929241/pdf/","citationCount":"0","resultStr":"{\"title\":\"Mental pain and lifetime suicide attempts in early adolescence: a preliminary study.\",\"authors\":\"Jon García-Ormaza, Jeffrey V Tabares, Ennio Ammendola, Alexander Muela\",\"doi\":\"10.1186/s13034-025-00883-8\",\"DOIUrl\":null,\"url\":null,\"abstract\":\"<p><p>The primary aim of the present study was to examine the association of four complementary measures-suicidal cognitions, entrapment, mental pain, and depression-with past suicide attempts in early adolescence. The sample consisted of 657 adolescents aged 12-15 years (M = 12.68, SD = ± 0.82; 49.16% female, 49.47% male and 1.22% non-binary), all enrolled in the first stage of secondary education (ISCED 2, first year) in schools in Spain. The study employed a three-phase analytical approach: (1) ROC/AUC analysis to evaluate the performance of each measure, (2) logistic regression models to assess their association with past suicide attempts, and (3) validating the first-phase classification results by accounting for the possibility of response imbalances on each of four measures. The results showed that high intensity of mental pain most strongly associated with past suicide attempts, exhibiting the highest sensitivity and reliability across models. Suicidal cognitions and entrapment also showed utility in assessing suicide risk, although their impact was less pronounced than mental pain. Depressive symptomatology showed limited utility distinguishing adolescents with a history of suicide attempts. These findings underscore the importance of incorporating mental pain and related constructs in community-based strategies for suicide prevention with early adolescence-aged children. By combining these factors, practitioners can gain a more comprehensive understanding of risk, facilitating early identification and intervention in adolescents at risk for suicide.</p>\",\"PeriodicalId\":9934,\"journal\":{\"name\":\"Child and Adolescent Psychiatry and Mental Health\",\"volume\":\"19 1\",\"pages\":\"30\"},\"PeriodicalIF\":4.6000,\"publicationDate\":\"2025-03-22\",\"publicationTypes\":\"Journal Article\",\"fieldsOfStudy\":null,\"isOpenAccess\":false,\"openAccessPdf\":\"https://www.ncbi.nlm.nih.gov/pmc/articles/PMC11929241/pdf/\",\"citationCount\":\"0\",\"resultStr\":null,\"platform\":\"Semanticscholar\",\"paperid\":null,\"PeriodicalName\":\"Child and Adolescent Psychiatry and Mental Health\",\"FirstCategoryId\":\"3\",\"ListUrlMain\":\"https://doi.org/10.1186/s13034-025-00883-8\",\"RegionNum\":3,\"RegionCategory\":\"医学\",\"ArticlePicture\":[],\"TitleCN\":null,\"AbstractTextCN\":null,\"PMCID\":null,\"EPubDate\":\"\",\"PubModel\":\"\",\"JCR\":\"Q1\",\"JCRName\":\"PEDIATRICS\",\"Score\":null,\"Total\":0}","platform":"Semanticscholar","paperid":null,"PeriodicalName":"Child and Adolescent Psychiatry and Mental Health","FirstCategoryId":"3","ListUrlMain":"https://doi.org/10.1186/s13034-025-00883-8","RegionNum":3,"RegionCategory":"医学","ArticlePicture":[],"TitleCN":null,"AbstractTextCN":null,"PMCID":null,"EPubDate":"","PubModel":"","JCR":"Q1","JCRName":"PEDIATRICS","Score":null,"Total":0}
引用次数: 0

摘要

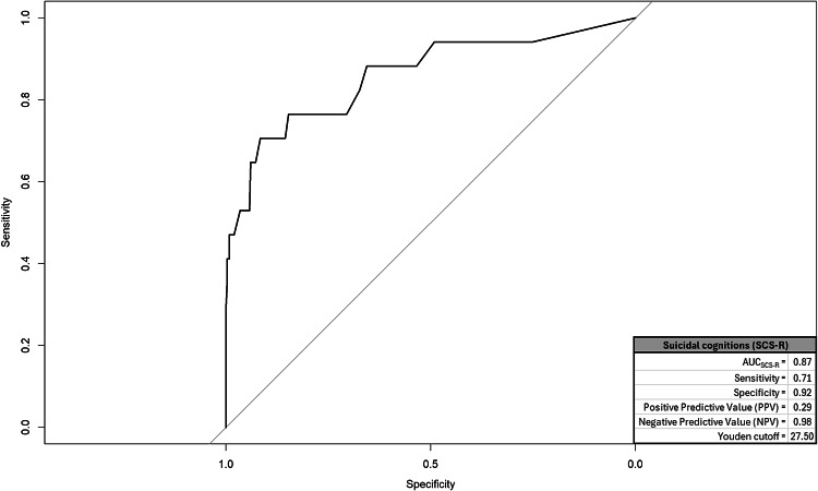
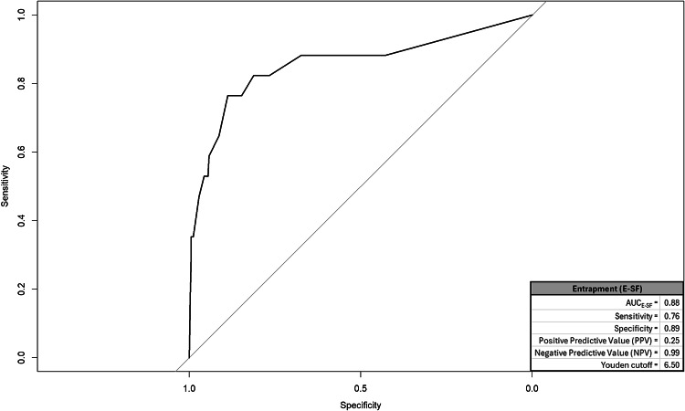
本研究的主要目的是检验自杀认知、诱捕、精神痛苦和抑郁这四个补充性指标与青少年早期自杀企图的关系。样本包括657名12-15岁的青少年(M = 12.68, SD =±0.82;49.16%为女性,49.47%为男性,1.22%为非二元性别),所有人都在西班牙学校就读中等教育第一阶段(ISCED 2,第一年)。本研究采用了三个阶段的分析方法:(1)ROC/AUC分析来评估每个测量的表现,(2)逻辑回归模型来评估它们与过去自杀企图的关联,(3)通过考虑四个测量中每个测量的反应不平衡的可能性来验证第一阶段的分类结果。结果表明,高强度的精神痛苦与过去的自杀企图密切相关,在所有模型中表现出最高的灵敏度和可靠性。自杀认知和诱捕在评估自杀风险方面也显示出效用,尽管它们的影响不如精神痛苦明显。抑郁症状学显示,区分有自杀企图史的青少年效用有限。这些发现强调了将精神痛苦和相关结构纳入社区策略以预防青春期早期儿童自杀的重要性。通过结合这些因素,从业者可以更全面地了解风险,促进早期识别和干预有自杀风险的青少年。
本文章由计算机程序翻译,如有差异,请以英文原文为准。

Mental pain and lifetime suicide attempts in early adolescence: a preliminary study.

Mental pain and lifetime suicide attempts in early adolescence: a preliminary study.

Mental pain and lifetime suicide attempts in early adolescence: a preliminary study.

Mental pain and lifetime suicide attempts in early adolescence: a preliminary study.

The primary aim of the present study was to examine the association of four complementary measures-suicidal cognitions, entrapment, mental pain, and depression-with past suicide attempts in early adolescence. The sample consisted of 657 adolescents aged 12-15 years (M = 12.68, SD = ± 0.82; 49.16% female, 49.47% male and 1.22% non-binary), all enrolled in the first stage of secondary education (ISCED 2, first year) in schools in Spain. The study employed a three-phase analytical approach: (1) ROC/AUC analysis to evaluate the performance of each measure, (2) logistic regression models to assess their association with past suicide attempts, and (3) validating the first-phase classification results by accounting for the possibility of response imbalances on each of four measures. The results showed that high intensity of mental pain most strongly associated with past suicide attempts, exhibiting the highest sensitivity and reliability across models. Suicidal cognitions and entrapment also showed utility in assessing suicide risk, although their impact was less pronounced than mental pain. Depressive symptomatology showed limited utility distinguishing adolescents with a history of suicide attempts. These findings underscore the importance of incorporating mental pain and related constructs in community-based strategies for suicide prevention with early adolescence-aged children. By combining these factors, practitioners can gain a more comprehensive understanding of risk, facilitating early identification and intervention in adolescents at risk for suicide.

求助全文
通过发布文献求助,成功后即可免费获取论文全文。 去求助
来源期刊
Child and Adolescent Psychiatry and Mental Health
Child and Adolescent Psychiatry and Mental Health PEDIATRICSPSYCHIATRY-PSYCHIATRY
CiteScore
7.00
自引率
3.60%
发文量
84
审稿时长
16 weeks
期刊介绍: Child and Adolescent Psychiatry and Mental Health, the official journal of the International Association for Child and Adolescent Psychiatry and Allied Professions, is an open access, online journal that provides an international platform for rapid and comprehensive scientific communication on child and adolescent mental health across different cultural backgrounds. CAPMH serves as a scientifically rigorous and broadly open forum for both interdisciplinary and cross-cultural exchange of research information, involving psychiatrists, paediatricians, psychologists, neuroscientists, and allied disciplines. The journal focusses on improving the knowledge base for the diagnosis, prognosis and treatment of mental health conditions in children and adolescents, and aims to integrate basic science, clinical research and the practical implementation of research findings. In addition, aspects which are still underrepresented in the traditional journals such as neurobiology and neuropsychology of psychiatric disorders in childhood and adolescence are considered.
×
引用
GB/T 7714-2015
复制
MLA
复制
APA
复制
导出至
BibTeX EndNote RefMan NoteFirst NoteExpress
×
提示
您的信息不完整,为了账户安全,请先补充。
现在去补充
×
提示
您因"违规操作"
具体请查看互助需知
我知道了
×
提示
确定
请完成安全验证×
copy
已复制链接
快去分享给好友吧!
我知道了
右上角分享
点击右上角分享
0
联系我们:info@booksci.cn Book学术提供免费学术资源搜索服务,方便国内外学者检索中英文文献。致力于提供最便捷和优质的服务体验。 Copyright © 2023 布克学术 All rights reserved.
京ICP备2023020795号-1
ghs 京公网安备 11010802042870号
Book学术文献互助
Book学术文献互助群
群 号:604180095
Book学术官方微信