重复经颅磁刺激对血管性认知障碍大鼠学习记忆认知功能的影响及其神经诱导机制。

IF 2.3 4区 医学 Q3 NEUROSCIENCES
Jiati Wang, Huan Gao
{"title":"重复经颅磁刺激对血管性认知障碍大鼠学习记忆认知功能的影响及其神经诱导机制。","authors":"Jiati Wang, Huan Gao","doi":"10.1186/s12868-025-00933-z","DOIUrl":null,"url":null,"abstract":"<p><strong>Background: </strong>The treatment of vascular cognitive impairment (VCI) is challenging, and its neurological mechanisms are not yet fully understood. Repetitive transcranial magnetic stimulation (rTMS) offers a new non-invasive treatment approach.</p><p><strong>Methods: </strong>One hundred male SD rats were grouped: intervention group (IG), model group (MG), sham group (SG), and control group (CG), to prepare the rat model of VCI. The Morris water maze (MWM) test was conducted, and oxidative stress (OS) markers, neurotrophic factors, apoptosis factors, and the amplitude of postsynaptic potential (PSP) in the hippocampus of rats were measured.</p><p><strong>Results: </strong>Post-intervention, IG's escape latency was lower than MG but higher than SG and CG. IG's hippocampal malondialdehyde (MDA) content, Bax, and Caspase-3 (Cas-3) were lower than MG but higher than SG and CG, while the tendency was opposite for Bcl-2 expression and the content of glutathione (GSH) and superoxide dismutase (SOD). IG's brain-derived neurotrophic factor (BDNF), glial cell line-derived neurotrophic factor (GDNF), and N-methyl-D-aspartate receptor 1 (NMDAR1) in the hippocampus were higher than MG but lower than SG and CG; The changes in the amplitude of PSP in the hippocampal region of IG at 10, 30, and 60 min were all higher than those in MG but lower than those in SG and CG (P < 0.05).</p><p><strong>Conclusion: </strong>Low-frequency rTMS visibly improved the learning and memory abilities of VCI rats and reduced OS levels.</p>","PeriodicalId":9031,"journal":{"name":"BMC Neuroscience","volume":"26 1","pages":"24"},"PeriodicalIF":2.3000,"publicationDate":"2025-03-18","publicationTypes":"Journal Article","fieldsOfStudy":null,"isOpenAccess":false,"openAccessPdf":"https://www.ncbi.nlm.nih.gov/pmc/articles/PMC11916909/pdf/","citationCount":"0","resultStr":"{\"title\":\"Effects of repetitive transcranial magnetic stimulation on learning and memory cognitive function in rats with vascular cognitive impairment and its neural induction mechanism.\",\"authors\":\"Jiati Wang, Huan Gao\",\"doi\":\"10.1186/s12868-025-00933-z\",\"DOIUrl\":null,\"url\":null,\"abstract\":\"<p><strong>Background: </strong>The treatment of vascular cognitive impairment (VCI) is challenging, and its neurological mechanisms are not yet fully understood. Repetitive transcranial magnetic stimulation (rTMS) offers a new non-invasive treatment approach.</p><p><strong>Methods: </strong>One hundred male SD rats were grouped: intervention group (IG), model group (MG), sham group (SG), and control group (CG), to prepare the rat model of VCI. The Morris water maze (MWM) test was conducted, and oxidative stress (OS) markers, neurotrophic factors, apoptosis factors, and the amplitude of postsynaptic potential (PSP) in the hippocampus of rats were measured.</p><p><strong>Results: </strong>Post-intervention, IG's escape latency was lower than MG but higher than SG and CG. IG's hippocampal malondialdehyde (MDA) content, Bax, and Caspase-3 (Cas-3) were lower than MG but higher than SG and CG, while the tendency was opposite for Bcl-2 expression and the content of glutathione (GSH) and superoxide dismutase (SOD). IG's brain-derived neurotrophic factor (BDNF), glial cell line-derived neurotrophic factor (GDNF), and N-methyl-D-aspartate receptor 1 (NMDAR1) in the hippocampus were higher than MG but lower than SG and CG; The changes in the amplitude of PSP in the hippocampal region of IG at 10, 30, and 60 min were all higher than those in MG but lower than those in SG and CG (P < 0.05).</p><p><strong>Conclusion: </strong>Low-frequency rTMS visibly improved the learning and memory abilities of VCI rats and reduced OS levels.</p>\",\"PeriodicalId\":9031,\"journal\":{\"name\":\"BMC Neuroscience\",\"volume\":\"26 1\",\"pages\":\"24\"},\"PeriodicalIF\":2.3000,\"publicationDate\":\"2025-03-18\",\"publicationTypes\":\"Journal Article\",\"fieldsOfStudy\":null,\"isOpenAccess\":false,\"openAccessPdf\":\"https://www.ncbi.nlm.nih.gov/pmc/articles/PMC11916909/pdf/\",\"citationCount\":\"0\",\"resultStr\":null,\"platform\":\"Semanticscholar\",\"paperid\":null,\"PeriodicalName\":\"BMC Neuroscience\",\"FirstCategoryId\":\"3\",\"ListUrlMain\":\"https://doi.org/10.1186/s12868-025-00933-z\",\"RegionNum\":4,\"RegionCategory\":\"医学\",\"ArticlePicture\":[],\"TitleCN\":null,\"AbstractTextCN\":null,\"PMCID\":null,\"EPubDate\":\"\",\"PubModel\":\"\",\"JCR\":\"Q3\",\"JCRName\":\"NEUROSCIENCES\",\"Score\":null,\"Total\":0}","platform":"Semanticscholar","paperid":null,"PeriodicalName":"BMC Neuroscience","FirstCategoryId":"3","ListUrlMain":"https://doi.org/10.1186/s12868-025-00933-z","RegionNum":4,"RegionCategory":"医学","ArticlePicture":[],"TitleCN":null,"AbstractTextCN":null,"PMCID":null,"EPubDate":"","PubModel":"","JCR":"Q3","JCRName":"NEUROSCIENCES","Score":null,"Total":0}
引用次数: 0

摘要

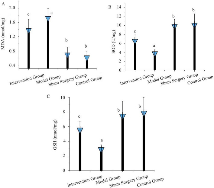
背景:血管性认知障碍(VCI)的治疗具有挑战性,其神经机制尚未完全了解。重复经颅磁刺激(rTMS)提供了一种新的无创治疗方法。方法:雄性SD大鼠100只,分为干预组(IG)、模型组(MG)、假手术组(SG)和对照组(CG),制备VCI大鼠模型。采用Morris水迷宫(MWM)实验,测定大鼠海马氧化应激(OS)标志物、神经营养因子、细胞凋亡因子及突触后电位(PSP)振幅。结果:干预后IG的逃避潜伏期低于MG,高于SG和CG。IG大鼠海马丙二醛(MDA)含量、Bax、Caspase-3 (cas3)含量低于MG大鼠,高于SG和CG大鼠,Bcl-2表达、谷胱甘肽(GSH)、超氧化物歧化酶(SOD)含量则相反。IG大鼠海马脑源性神经营养因子(BDNF)、胶质细胞系源性神经营养因子(GDNF)和n-甲基-d -天冬氨酸受体1 (NMDAR1)含量高于MG,低于SG和CG;大鼠海马区PSP在10、30、60 min的振幅变化均高于MG组,但低于SG组和CG组(P)。结论:低频rTMS能明显改善VCI大鼠的学习记忆能力,降低OS水平。
本文章由计算机程序翻译,如有差异,请以英文原文为准。

Effects of repetitive transcranial magnetic stimulation on learning and memory cognitive function in rats with vascular cognitive impairment and its neural induction mechanism.

Effects of repetitive transcranial magnetic stimulation on learning and memory cognitive function in rats with vascular cognitive impairment and its neural induction mechanism.

Effects of repetitive transcranial magnetic stimulation on learning and memory cognitive function in rats with vascular cognitive impairment and its neural induction mechanism.

Effects of repetitive transcranial magnetic stimulation on learning and memory cognitive function in rats with vascular cognitive impairment and its neural induction mechanism.

Background: The treatment of vascular cognitive impairment (VCI) is challenging, and its neurological mechanisms are not yet fully understood. Repetitive transcranial magnetic stimulation (rTMS) offers a new non-invasive treatment approach.

Methods: One hundred male SD rats were grouped: intervention group (IG), model group (MG), sham group (SG), and control group (CG), to prepare the rat model of VCI. The Morris water maze (MWM) test was conducted, and oxidative stress (OS) markers, neurotrophic factors, apoptosis factors, and the amplitude of postsynaptic potential (PSP) in the hippocampus of rats were measured.

Results: Post-intervention, IG's escape latency was lower than MG but higher than SG and CG. IG's hippocampal malondialdehyde (MDA) content, Bax, and Caspase-3 (Cas-3) were lower than MG but higher than SG and CG, while the tendency was opposite for Bcl-2 expression and the content of glutathione (GSH) and superoxide dismutase (SOD). IG's brain-derived neurotrophic factor (BDNF), glial cell line-derived neurotrophic factor (GDNF), and N-methyl-D-aspartate receptor 1 (NMDAR1) in the hippocampus were higher than MG but lower than SG and CG; The changes in the amplitude of PSP in the hippocampal region of IG at 10, 30, and 60 min were all higher than those in MG but lower than those in SG and CG (P < 0.05).

Conclusion: Low-frequency rTMS visibly improved the learning and memory abilities of VCI rats and reduced OS levels.

求助全文
通过发布文献求助,成功后即可免费获取论文全文。 去求助
来源期刊
BMC Neuroscience
BMC Neuroscience 医学-神经科学
CiteScore
3.90
自引率
0.00%
发文量
64
审稿时长
16 months
期刊介绍: BMC Neuroscience is an open access, peer-reviewed journal that considers articles on all aspects of neuroscience, welcoming studies that provide insight into the molecular, cellular, developmental, genetic and genomic, systems, network, cognitive and behavioral aspects of nervous system function in both health and disease. Both experimental and theoretical studies are within scope, as are studies that describe methodological approaches to monitoring or manipulating nervous system function.
×
引用
GB/T 7714-2015
复制
MLA
复制
APA
复制
导出至
BibTeX EndNote RefMan NoteFirst NoteExpress
×
提示
您的信息不完整,为了账户安全,请先补充。
现在去补充
×
提示
您因"违规操作"
具体请查看互助需知
我知道了
×
提示
确定
请完成安全验证×
copy
已复制链接
快去分享给好友吧!
我知道了
右上角分享
点击右上角分享
0
联系我们:info@booksci.cn Book学术提供免费学术资源搜索服务,方便国内外学者检索中英文文献。致力于提供最便捷和优质的服务体验。 Copyright © 2023 布克学术 All rights reserved.
京ICP备2023020795号-1
ghs 京公网安备 11010802042870号
Book学术文献互助
Book学术文献互助群
群 号:604180095
Book学术官方微信