PD-1抑制剂诱发恶性肿瘤患者肝损伤的临床表现和风险因素:病例对照研究

IF 2.8 3区 医学 Q1 Pharmacology, Toxicology and Pharmaceutics
Therapeutics and Clinical Risk Management Pub Date : 2025-03-11 eCollection Date: 2025-01-01 DOI:10.2147/TCRM.S510973
Pengfei Zhao, Lihong Yu, Wenming Ma, Ting Zhao
{"title":"PD-1抑制剂诱发恶性肿瘤患者肝损伤的临床表现和风险因素:病例对照研究","authors":"Pengfei Zhao, Lihong Yu, Wenming Ma, Ting Zhao","doi":"10.2147/TCRM.S510973","DOIUrl":null,"url":null,"abstract":"<p><strong>Background: </strong>Hepatic injury induced by immune checkpoint inhibitors (ICPIs) is an inevitable challenge in the era of innovative anti-tumor therapies. However, studies on immune-related liver injury are relatively insufficient, and the associated risk factors are still lacking. The purpose of this study was to explore the incidence and clinical manifestations of immunotherapy-related liver injury.</p><p><strong>Methods: </strong>A retrospective case-control study was conducted involving patients treated with PD-1 inhibitors at Weifang People's Hospital, a tertiary general hospital in China, from January 1, 2021 and July 31, 2024. Univariate and multivariate logistic regression analyses were employed to identify the potential risk factors. Then, the predictive value of these risk factors was evaluated using receiver operating characteristic (ROC) curve analysis.</p><p><strong>Results: </strong>In total, 300 patients were included. Among these patients, 52 patients experienced liver injury. The mean time from the initiation of immunotherapy to the onset of liver injury was 28.4 days, with a range from 2 to 219 days. 71.15% of patients developed liver injury within the first 30 days. 82.69% presented with mild cases (grade 1), 13.46% with moderate cases (grade 2), and 3.84% with severe cases (grades 3-4). The overall incidence of PD-1 inhibitors-related liver injury was 0.34%. Specifically, nivolumab exhibited the highest incidence at 2.86%, followed by sintilimab at 0.41%. Both toripalimab and camrelizumab exhibited an incidence of 0.34%, while tislelizumab had the lowest at 0.28%. Multivariate logistic regression analysis showed that GGT and AST were independent risk factors for liver injury. ROC curve analysis revealed that patients with baseline ALT≥19.5 U/L, AST≥19.5 U/L, and GGT≥28.5 U/L were at increased risk of developing liver injury.</p><p><strong>Conclusion: </strong>In clinical therapy, close monitoring of liver function is recommended, especially for patients with baseline ALT≥19.5 U/L, AST≥19.5 U/L, and GGT≥28.5 U/L during immunotherapy with PD-1 inhibitors.</p>","PeriodicalId":22977,"journal":{"name":"Therapeutics and Clinical Risk Management","volume":"21 ","pages":"309-320"},"PeriodicalIF":2.8000,"publicationDate":"2025-03-11","publicationTypes":"Journal Article","fieldsOfStudy":null,"isOpenAccess":false,"openAccessPdf":"https://www.ncbi.nlm.nih.gov/pmc/articles/PMC11910050/pdf/","citationCount":"0","resultStr":"{\"title\":\"Clinical Manifestations and Risk Factors of Liver Injury Induced by PD-1 Inhibitors in Patients with Malignancies: A Case-Control Study.\",\"authors\":\"Pengfei Zhao, Lihong Yu, Wenming Ma, Ting Zhao\",\"doi\":\"10.2147/TCRM.S510973\",\"DOIUrl\":null,\"url\":null,\"abstract\":\"<p><strong>Background: </strong>Hepatic injury induced by immune checkpoint inhibitors (ICPIs) is an inevitable challenge in the era of innovative anti-tumor therapies. However, studies on immune-related liver injury are relatively insufficient, and the associated risk factors are still lacking. The purpose of this study was to explore the incidence and clinical manifestations of immunotherapy-related liver injury.</p><p><strong>Methods: </strong>A retrospective case-control study was conducted involving patients treated with PD-1 inhibitors at Weifang People's Hospital, a tertiary general hospital in China, from January 1, 2021 and July 31, 2024. Univariate and multivariate logistic regression analyses were employed to identify the potential risk factors. Then, the predictive value of these risk factors was evaluated using receiver operating characteristic (ROC) curve analysis.</p><p><strong>Results: </strong>In total, 300 patients were included. Among these patients, 52 patients experienced liver injury. The mean time from the initiation of immunotherapy to the onset of liver injury was 28.4 days, with a range from 2 to 219 days. 71.15% of patients developed liver injury within the first 30 days. 82.69% presented with mild cases (grade 1), 13.46% with moderate cases (grade 2), and 3.84% with severe cases (grades 3-4). The overall incidence of PD-1 inhibitors-related liver injury was 0.34%. Specifically, nivolumab exhibited the highest incidence at 2.86%, followed by sintilimab at 0.41%. Both toripalimab and camrelizumab exhibited an incidence of 0.34%, while tislelizumab had the lowest at 0.28%. Multivariate logistic regression analysis showed that GGT and AST were independent risk factors for liver injury. ROC curve analysis revealed that patients with baseline ALT≥19.5 U/L, AST≥19.5 U/L, and GGT≥28.5 U/L were at increased risk of developing liver injury.</p><p><strong>Conclusion: </strong>In clinical therapy, close monitoring of liver function is recommended, especially for patients with baseline ALT≥19.5 U/L, AST≥19.5 U/L, and GGT≥28.5 U/L during immunotherapy with PD-1 inhibitors.</p>\",\"PeriodicalId\":22977,\"journal\":{\"name\":\"Therapeutics and Clinical Risk Management\",\"volume\":\"21 \",\"pages\":\"309-320\"},\"PeriodicalIF\":2.8000,\"publicationDate\":\"2025-03-11\",\"publicationTypes\":\"Journal Article\",\"fieldsOfStudy\":null,\"isOpenAccess\":false,\"openAccessPdf\":\"https://www.ncbi.nlm.nih.gov/pmc/articles/PMC11910050/pdf/\",\"citationCount\":\"0\",\"resultStr\":null,\"platform\":\"Semanticscholar\",\"paperid\":null,\"PeriodicalName\":\"Therapeutics and Clinical Risk Management\",\"FirstCategoryId\":\"3\",\"ListUrlMain\":\"https://doi.org/10.2147/TCRM.S510973\",\"RegionNum\":3,\"RegionCategory\":\"医学\",\"ArticlePicture\":[],\"TitleCN\":null,\"AbstractTextCN\":null,\"PMCID\":null,\"EPubDate\":\"2025/1/1 0:00:00\",\"PubModel\":\"eCollection\",\"JCR\":\"Q1\",\"JCRName\":\"Pharmacology, Toxicology and Pharmaceutics\",\"Score\":null,\"Total\":0}","platform":"Semanticscholar","paperid":null,"PeriodicalName":"Therapeutics and Clinical Risk Management","FirstCategoryId":"3","ListUrlMain":"https://doi.org/10.2147/TCRM.S510973","RegionNum":3,"RegionCategory":"医学","ArticlePicture":[],"TitleCN":null,"AbstractTextCN":null,"PMCID":null,"EPubDate":"2025/1/1 0:00:00","PubModel":"eCollection","JCR":"Q1","JCRName":"Pharmacology, Toxicology and Pharmaceutics","Score":null,"Total":0}
引用次数: 0

摘要

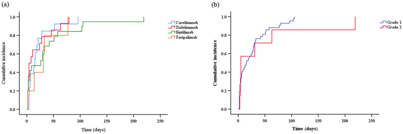
背景:免疫检查点抑制剂(icpi)引起的肝损伤是创新抗肿瘤疗法时代不可避免的挑战。然而,对免疫相关性肝损伤的研究相对不足,相关危险因素仍缺乏。本研究的目的是探讨免疫治疗相关性肝损伤的发生率和临床表现。方法:采用回顾性病例对照研究,于2021年1月1日至2024年7月31日在中国三级综合医院潍坊市人民医院接受PD-1抑制剂治疗的患者。采用单因素和多因素logistic回归分析确定潜在危险因素。然后,采用受试者工作特征(ROC)曲线分析评价这些危险因素的预测价值。结果:共纳入300例患者。其中52例出现肝损伤。从开始免疫治疗到出现肝损伤的平均时间为28.4天,时间范围为2 ~ 219天。71.15%的患者在前30天发生肝损伤。82.69%为轻度(1级),13.46%为中度(2级),3.84%为重度(3-4级)。PD-1抑制剂相关肝损伤的总发生率为0.34%。具体来说,纳武单抗的发病率最高,为2.86%,其次是辛替单抗,为0.41%。torpalimab和camrelizumab的发病率均为0.34%,而tislelizumab的发病率最低,为0.28%。多因素logistic回归分析显示,GGT和AST是肝损伤的独立危险因素。ROC曲线分析显示,基线ALT≥19.5 U/L、AST≥19.5 U/L、GGT≥28.5 U/L的患者发生肝损伤的风险增加。结论:在临床治疗中,建议密切监测肝功能,特别是对基线ALT≥19.5 U/L、AST≥19.5 U/L、GGT≥28.5 U/L的患者在PD-1抑制剂免疫治疗期间。
本文章由计算机程序翻译,如有差异,请以英文原文为准。

Clinical Manifestations and Risk Factors of Liver Injury Induced by PD-1 Inhibitors in Patients with Malignancies: A Case-Control Study.

Clinical Manifestations and Risk Factors of Liver Injury Induced by PD-1 Inhibitors in Patients with Malignancies: A Case-Control Study.

Clinical Manifestations and Risk Factors of Liver Injury Induced by PD-1 Inhibitors in Patients with Malignancies: A Case-Control Study.

Clinical Manifestations and Risk Factors of Liver Injury Induced by PD-1 Inhibitors in Patients with Malignancies: A Case-Control Study.

Background: Hepatic injury induced by immune checkpoint inhibitors (ICPIs) is an inevitable challenge in the era of innovative anti-tumor therapies. However, studies on immune-related liver injury are relatively insufficient, and the associated risk factors are still lacking. The purpose of this study was to explore the incidence and clinical manifestations of immunotherapy-related liver injury.

Methods: A retrospective case-control study was conducted involving patients treated with PD-1 inhibitors at Weifang People's Hospital, a tertiary general hospital in China, from January 1, 2021 and July 31, 2024. Univariate and multivariate logistic regression analyses were employed to identify the potential risk factors. Then, the predictive value of these risk factors was evaluated using receiver operating characteristic (ROC) curve analysis.

Results: In total, 300 patients were included. Among these patients, 52 patients experienced liver injury. The mean time from the initiation of immunotherapy to the onset of liver injury was 28.4 days, with a range from 2 to 219 days. 71.15% of patients developed liver injury within the first 30 days. 82.69% presented with mild cases (grade 1), 13.46% with moderate cases (grade 2), and 3.84% with severe cases (grades 3-4). The overall incidence of PD-1 inhibitors-related liver injury was 0.34%. Specifically, nivolumab exhibited the highest incidence at 2.86%, followed by sintilimab at 0.41%. Both toripalimab and camrelizumab exhibited an incidence of 0.34%, while tislelizumab had the lowest at 0.28%. Multivariate logistic regression analysis showed that GGT and AST were independent risk factors for liver injury. ROC curve analysis revealed that patients with baseline ALT≥19.5 U/L, AST≥19.5 U/L, and GGT≥28.5 U/L were at increased risk of developing liver injury.

Conclusion: In clinical therapy, close monitoring of liver function is recommended, especially for patients with baseline ALT≥19.5 U/L, AST≥19.5 U/L, and GGT≥28.5 U/L during immunotherapy with PD-1 inhibitors.

求助全文
通过发布文献求助,成功后即可免费获取论文全文。 去求助
来源期刊
Therapeutics and Clinical Risk Management
Therapeutics and Clinical Risk Management HEALTH CARE SCIENCES & SERVICES-
CiteScore
5.30
自引率
3.60%
发文量
139
审稿时长
16 weeks
期刊介绍: Therapeutics and Clinical Risk Management is an international, peer-reviewed journal of clinical therapeutics and risk management, focusing on concise rapid reporting of clinical studies in all therapeutic areas, outcomes, safety, and programs for the effective, safe, and sustained use of medicines, therapeutic and surgical interventions in all clinical areas. The journal welcomes submissions covering original research, clinical and epidemiological studies, reviews, guidelines, expert opinion and commentary. The journal will consider case reports but only if they make a valuable and original contribution to the literature. As of 18th March 2019, Therapeutics and Clinical Risk Management will no longer consider meta-analyses for publication. The journal does not accept study protocols, animal-based or cell line-based studies.
×
引用
GB/T 7714-2015
复制
MLA
复制
APA
复制
导出至
BibTeX EndNote RefMan NoteFirst NoteExpress
×
提示
您的信息不完整,为了账户安全,请先补充。
现在去补充
×
提示
您因"违规操作"
具体请查看互助需知
我知道了
×
提示
确定
请完成安全验证×
copy
已复制链接
快去分享给好友吧!
我知道了
右上角分享
点击右上角分享
0
联系我们:info@booksci.cn Book学术提供免费学术资源搜索服务,方便国内外学者检索中英文文献。致力于提供最便捷和优质的服务体验。 Copyright © 2023 布克学术 All rights reserved.
京ICP备2023020795号-1
ghs 京公网安备 11010802042870号
Book学术文献互助
Book学术文献互助群
群 号:604180095
Book学术官方微信