在初级保健中识别转移性结直肠癌的机器学习工具

IF 1.8 3区 医学 Q3 HEALTH CARE SCIENCES & SERVICES
Eliya Abedi, Marcela Ewing, Elinor Nemlander, Jan Hasselström, Annika Sjövall, Axel C Carlsson, Andreas Rosenblad
{"title":"在初级保健中识别转移性结直肠癌的机器学习工具","authors":"Eliya Abedi, Marcela Ewing, Elinor Nemlander, Jan Hasselström, Annika Sjövall, Axel C Carlsson, Andreas Rosenblad","doi":"10.1080/02813432.2025.2477155","DOIUrl":null,"url":null,"abstract":"<p><strong>Background: </strong>Detection of colorectal cancer (CRC) is mainly achieved by clinical assessment. As new treatments become available for metastatic CRC (MCRC), it is important to accurately identify these patients.</p><p><strong>Aim: </strong>To develop a predictive model for identifying MCRC in primary health care patients using diagnostic data analysed with machine learning.</p><p><strong>Design and setting: </strong>A case-control study utilising data on primary health care visits for 146 patients >18 years old diagnosed with MCRC in the Västra Götaland Region, Sweden during 2011, and 577 sex-, age, and primary health care centre-matched controls.</p><p><strong>Method: </strong>Stochastic gradient boosting was used to construct a model for predicting the presence of MCRC based on diagnostic codes from primary health care consultations during the year before index (diagnosis) date and number of consultations. Variable importance was estimated using the normalised relative influence (NRI) score. Risks of having MCRC were calculated using odds ratios of marginal effects (OR<sub>ME</sub>).</p><p><strong>Results: </strong>The optimal model included 76 variables with non-zero influence, had an area under the curve of 76.5%, a sensitivity of 77.8%, and a specificity of 69.2%. The 10 most important variables had a combined NRI of 61.0%. Number of consultations during the year before index date had the highest NRI at 19.2%, with an OR<sub>ME</sub> of 3.3.</p><p><strong>Conclusion: </strong>A machine learning method based on primary health care consultation frequency and diagnoses may be used to identify important variables for predicting presence of MCRC. Both primary health care consultations and associated diagnostic codes need to be taken into consideration.</p>","PeriodicalId":21521,"journal":{"name":"Scandinavian Journal of Primary Health Care","volume":" ","pages":"585-593"},"PeriodicalIF":1.8000,"publicationDate":"2025-09-01","publicationTypes":"Journal Article","fieldsOfStudy":null,"isOpenAccess":false,"openAccessPdf":"https://www.ncbi.nlm.nih.gov/pmc/articles/PMC12377147/pdf/","citationCount":"0","resultStr":"{\"title\":\"A machine learning tool for identifying metastatic colorectal cancer in primary care.\",\"authors\":\"Eliya Abedi, Marcela Ewing, Elinor Nemlander, Jan Hasselström, Annika Sjövall, Axel C Carlsson, Andreas Rosenblad\",\"doi\":\"10.1080/02813432.2025.2477155\",\"DOIUrl\":null,\"url\":null,\"abstract\":\"<p><strong>Background: </strong>Detection of colorectal cancer (CRC) is mainly achieved by clinical assessment. As new treatments become available for metastatic CRC (MCRC), it is important to accurately identify these patients.</p><p><strong>Aim: </strong>To develop a predictive model for identifying MCRC in primary health care patients using diagnostic data analysed with machine learning.</p><p><strong>Design and setting: </strong>A case-control study utilising data on primary health care visits for 146 patients >18 years old diagnosed with MCRC in the Västra Götaland Region, Sweden during 2011, and 577 sex-, age, and primary health care centre-matched controls.</p><p><strong>Method: </strong>Stochastic gradient boosting was used to construct a model for predicting the presence of MCRC based on diagnostic codes from primary health care consultations during the year before index (diagnosis) date and number of consultations. Variable importance was estimated using the normalised relative influence (NRI) score. Risks of having MCRC were calculated using odds ratios of marginal effects (OR<sub>ME</sub>).</p><p><strong>Results: </strong>The optimal model included 76 variables with non-zero influence, had an area under the curve of 76.5%, a sensitivity of 77.8%, and a specificity of 69.2%. The 10 most important variables had a combined NRI of 61.0%. Number of consultations during the year before index date had the highest NRI at 19.2%, with an OR<sub>ME</sub> of 3.3.</p><p><strong>Conclusion: </strong>A machine learning method based on primary health care consultation frequency and diagnoses may be used to identify important variables for predicting presence of MCRC. Both primary health care consultations and associated diagnostic codes need to be taken into consideration.</p>\",\"PeriodicalId\":21521,\"journal\":{\"name\":\"Scandinavian Journal of Primary Health Care\",\"volume\":\" \",\"pages\":\"585-593\"},\"PeriodicalIF\":1.8000,\"publicationDate\":\"2025-09-01\",\"publicationTypes\":\"Journal Article\",\"fieldsOfStudy\":null,\"isOpenAccess\":false,\"openAccessPdf\":\"https://www.ncbi.nlm.nih.gov/pmc/articles/PMC12377147/pdf/\",\"citationCount\":\"0\",\"resultStr\":null,\"platform\":\"Semanticscholar\",\"paperid\":null,\"PeriodicalName\":\"Scandinavian Journal of Primary Health Care\",\"FirstCategoryId\":\"3\",\"ListUrlMain\":\"https://doi.org/10.1080/02813432.2025.2477155\",\"RegionNum\":3,\"RegionCategory\":\"医学\",\"ArticlePicture\":[],\"TitleCN\":null,\"AbstractTextCN\":null,\"PMCID\":null,\"EPubDate\":\"2025/3/13 0:00:00\",\"PubModel\":\"Epub\",\"JCR\":\"Q3\",\"JCRName\":\"HEALTH CARE SCIENCES & SERVICES\",\"Score\":null,\"Total\":0}","platform":"Semanticscholar","paperid":null,"PeriodicalName":"Scandinavian Journal of Primary Health Care","FirstCategoryId":"3","ListUrlMain":"https://doi.org/10.1080/02813432.2025.2477155","RegionNum":3,"RegionCategory":"医学","ArticlePicture":[],"TitleCN":null,"AbstractTextCN":null,"PMCID":null,"EPubDate":"2025/3/13 0:00:00","PubModel":"Epub","JCR":"Q3","JCRName":"HEALTH CARE SCIENCES & SERVICES","Score":null,"Total":0}
引用次数: 0

摘要

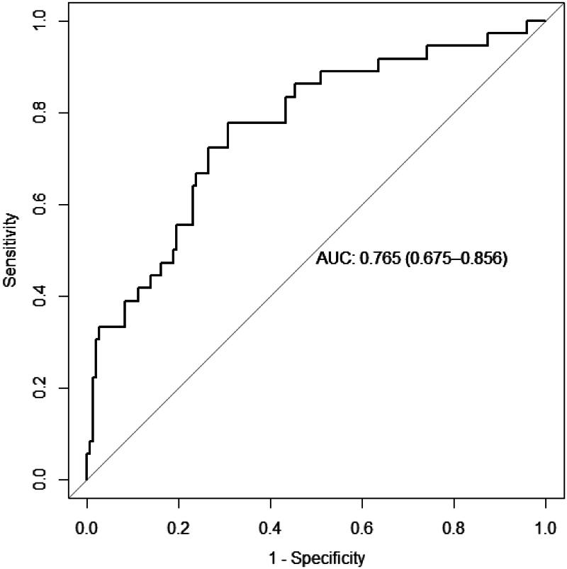
背景:结直肠癌(CRC)的检测主要是通过临床评估来实现的。随着转移性结直肠癌(MCRC)的新治疗方法的出现,准确识别这些患者变得非常重要。目的:利用机器学习分析的诊断数据,建立一种预测模型,用于识别初级卫生保健患者的MCRC。设计和背景:一项病例对照研究,利用2011年期间瑞典Västra Götaland地区146名18岁以下被诊断为MCRC的患者的初级卫生保健就诊数据,以及577名性别、年龄和初级卫生保健中心匹配的对照。方法:采用随机梯度增强方法,基于指标(诊断)日期前一年的初级卫生保健咨询诊断代码和咨询次数,构建预测MCRC存在的模型。使用归一化相对影响(NRI)评分估计变量重要性。使用边际效应优势比(ORME)计算MCRC的风险。结果:最优模型包括76个非零影响变量,曲线下面积为76.5%,灵敏度为77.8%,特异性为69.2%。10个最重要的变量合计NRI为61.0%。在指数日期前一年的诊症次数,最高的非典型耗用率为19.2%,整体耗用率为3.3。结论:基于初级卫生保健咨询频率和诊断的机器学习方法可用于识别预测MCRC存在的重要变量。初级保健咨询和相关的诊断代码都需要考虑在内。
本文章由计算机程序翻译,如有差异,请以英文原文为准。

A machine learning tool for identifying metastatic colorectal cancer in primary care.

A machine learning tool for identifying metastatic colorectal cancer in primary care.

Background: Detection of colorectal cancer (CRC) is mainly achieved by clinical assessment. As new treatments become available for metastatic CRC (MCRC), it is important to accurately identify these patients.

Aim: To develop a predictive model for identifying MCRC in primary health care patients using diagnostic data analysed with machine learning.

Design and setting: A case-control study utilising data on primary health care visits for 146 patients >18 years old diagnosed with MCRC in the Västra Götaland Region, Sweden during 2011, and 577 sex-, age, and primary health care centre-matched controls.

Method: Stochastic gradient boosting was used to construct a model for predicting the presence of MCRC based on diagnostic codes from primary health care consultations during the year before index (diagnosis) date and number of consultations. Variable importance was estimated using the normalised relative influence (NRI) score. Risks of having MCRC were calculated using odds ratios of marginal effects (ORME).

Results: The optimal model included 76 variables with non-zero influence, had an area under the curve of 76.5%, a sensitivity of 77.8%, and a specificity of 69.2%. The 10 most important variables had a combined NRI of 61.0%. Number of consultations during the year before index date had the highest NRI at 19.2%, with an ORME of 3.3.

Conclusion: A machine learning method based on primary health care consultation frequency and diagnoses may be used to identify important variables for predicting presence of MCRC. Both primary health care consultations and associated diagnostic codes need to be taken into consideration.

求助全文
通过发布文献求助,成功后即可免费获取论文全文。 去求助
来源期刊
CiteScore
3.20
自引率
19.00%
发文量
47
审稿时长
>12 weeks
期刊介绍: Scandinavian Journal of Primary Health Care is an international online open access journal publishing articles with relevance to general practice and primary health care. Focusing on the continuous professional development in family medicine the journal addresses clinical, epidemiological and humanistic topics in relation to the daily clinical practice. Scandinavian Journal of Primary Health Care is owned by the members of the National Colleges of General Practice in the five Nordic countries through the Nordic Federation of General Practice (NFGP). The journal includes original research on topics related to general practice and family medicine, and publishes both quantitative and qualitative original research, editorials, discussion and analysis papers and reviews to facilitate continuing professional development in family medicine. The journal''s topics range broadly and include: • Clinical family medicine • Epidemiological research • Qualitative research • Health services research.
×
引用
GB/T 7714-2015
复制
MLA
复制
APA
复制
导出至
BibTeX EndNote RefMan NoteFirst NoteExpress
×
提示
您的信息不完整,为了账户安全,请先补充。
现在去补充
×
提示
您因"违规操作"
具体请查看互助需知
我知道了
×
提示
确定
请完成安全验证×
copy
已复制链接
快去分享给好友吧!
我知道了
右上角分享
点击右上角分享
0
联系我们:info@booksci.cn Book学术提供免费学术资源搜索服务,方便国内外学者检索中英文文献。致力于提供最便捷和优质的服务体验。 Copyright © 2023 布克学术 All rights reserved.
京ICP备2023020795号-1
ghs 京公网安备 11010802042870号
Book学术文献互助
Book学术文献互助群
群 号:604180095
Book学术官方微信