澳大利亚妇女使用抗抑郁药的模式和持续时间:来自澳大利亚妇女健康纵向研究的发现

IF 0.9 4区 医学 Q3 PUBLIC, ENVIRONMENTAL & OCCUPATIONAL HEALTH
Asia-Pacific Journal of Public Health Pub Date : 2025-03-01 Epub Date: 2025-03-12 DOI:10.1177/10105395251321316
Edgar Poon, Maria Donald, Mieke van Driel, David Pache, Samantha Hollingworth, Xenia Dolja-Gore, Treasure McGuire
{"title":"澳大利亚妇女使用抗抑郁药的模式和持续时间:来自澳大利亚妇女健康纵向研究的发现","authors":"Edgar Poon, Maria Donald, Mieke van Driel, David Pache, Samantha Hollingworth, Xenia Dolja-Gore, Treasure McGuire","doi":"10.1177/10105395251321316","DOIUrl":null,"url":null,"abstract":"<p><p>Antidepressant use is common in women. However, characteristics associated with duration of use remain unclear. We conducted a descriptive study using data from the 1973-1978 and 1946-1951 birth cohorts of the Australian Longitudinal Study on Women's Health linked to antidepressant dispensing records from the Pharmaceutical Benefits Scheme, July 2012 to December 2019 to examine use patterns and their associated characteristics. Early discontinuation and prolonged antidepressant use were common, a significant deviation from current guideline recommendations. There were 5553 episodes of antidepressant use in 4416 women, with a mean estimated duration of first-time use of 664 days. One in four women had only one prescription filled, while 32% continued treatment beyond two years, with 14% continuing use at five years. Age and previous antidepressant use impacted duration of use, with a shorter average duration of use and a higher proportion of discontinuation for each subsequent episode after the first prescription.</p>","PeriodicalId":55570,"journal":{"name":"Asia-Pacific Journal of Public Health","volume":" ","pages":"272-280"},"PeriodicalIF":0.9000,"publicationDate":"2025-03-01","publicationTypes":"Journal Article","fieldsOfStudy":null,"isOpenAccess":false,"openAccessPdf":"https://www.ncbi.nlm.nih.gov/pmc/articles/PMC11969884/pdf/","citationCount":"0","resultStr":"{\"title\":\"Patterns and Duration of Antidepressant Use in Australian Women: Findings From the Australian Longitudinal Study on Women's Health.\",\"authors\":\"Edgar Poon, Maria Donald, Mieke van Driel, David Pache, Samantha Hollingworth, Xenia Dolja-Gore, Treasure McGuire\",\"doi\":\"10.1177/10105395251321316\",\"DOIUrl\":null,\"url\":null,\"abstract\":\"<p><p>Antidepressant use is common in women. However, characteristics associated with duration of use remain unclear. We conducted a descriptive study using data from the 1973-1978 and 1946-1951 birth cohorts of the Australian Longitudinal Study on Women's Health linked to antidepressant dispensing records from the Pharmaceutical Benefits Scheme, July 2012 to December 2019 to examine use patterns and their associated characteristics. Early discontinuation and prolonged antidepressant use were common, a significant deviation from current guideline recommendations. There were 5553 episodes of antidepressant use in 4416 women, with a mean estimated duration of first-time use of 664 days. One in four women had only one prescription filled, while 32% continued treatment beyond two years, with 14% continuing use at five years. Age and previous antidepressant use impacted duration of use, with a shorter average duration of use and a higher proportion of discontinuation for each subsequent episode after the first prescription.</p>\",\"PeriodicalId\":55570,\"journal\":{\"name\":\"Asia-Pacific Journal of Public Health\",\"volume\":\" \",\"pages\":\"272-280\"},\"PeriodicalIF\":0.9000,\"publicationDate\":\"2025-03-01\",\"publicationTypes\":\"Journal Article\",\"fieldsOfStudy\":null,\"isOpenAccess\":false,\"openAccessPdf\":\"https://www.ncbi.nlm.nih.gov/pmc/articles/PMC11969884/pdf/\",\"citationCount\":\"0\",\"resultStr\":null,\"platform\":\"Semanticscholar\",\"paperid\":null,\"PeriodicalName\":\"Asia-Pacific Journal of Public Health\",\"FirstCategoryId\":\"3\",\"ListUrlMain\":\"https://doi.org/10.1177/10105395251321316\",\"RegionNum\":4,\"RegionCategory\":\"医学\",\"ArticlePicture\":[],\"TitleCN\":null,\"AbstractTextCN\":null,\"PMCID\":null,\"EPubDate\":\"2025/3/12 0:00:00\",\"PubModel\":\"Epub\",\"JCR\":\"Q3\",\"JCRName\":\"PUBLIC, ENVIRONMENTAL & OCCUPATIONAL HEALTH\",\"Score\":null,\"Total\":0}","platform":"Semanticscholar","paperid":null,"PeriodicalName":"Asia-Pacific Journal of Public Health","FirstCategoryId":"3","ListUrlMain":"https://doi.org/10.1177/10105395251321316","RegionNum":4,"RegionCategory":"医学","ArticlePicture":[],"TitleCN":null,"AbstractTextCN":null,"PMCID":null,"EPubDate":"2025/3/12 0:00:00","PubModel":"Epub","JCR":"Q3","JCRName":"PUBLIC, ENVIRONMENTAL & OCCUPATIONAL HEALTH","Score":null,"Total":0}
引用次数: 0

摘要

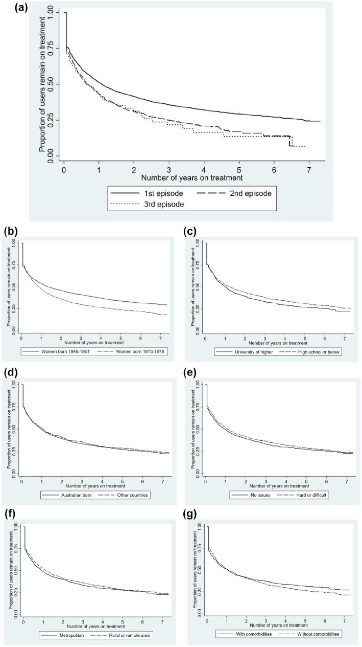
抗抑郁药的使用在女性中很常见。然而,与使用时间相关的特征仍不清楚。我们使用澳大利亚妇女健康纵向研究1973-1978年和1946-1951年出生队列的数据进行了一项描述性研究,这些数据与2012年7月至2019年12月药品福利计划的抗抑郁药配药记录有关,以检查使用模式及其相关特征。早期停药和长期使用抗抑郁药是常见的,这与目前的指南建议有很大的偏差。4416名妇女中有5553次使用抗抑郁药,首次使用的平均估计持续时间为664天。四分之一的女性只服用了一种处方,32%的女性在两年以上仍在继续治疗,14%的女性在五年之后仍在继续治疗。年龄和既往使用抗抑郁药影响使用时间,平均使用时间较短,第一次处方后每次后续发作停药的比例较高。
本文章由计算机程序翻译,如有差异,请以英文原文为准。

Patterns and Duration of Antidepressant Use in Australian Women: Findings From the Australian Longitudinal Study on Women's Health.

Patterns and Duration of Antidepressant Use in Australian Women: Findings From the Australian Longitudinal Study on Women's Health.

Patterns and Duration of Antidepressant Use in Australian Women: Findings From the Australian Longitudinal Study on Women's Health.

Patterns and Duration of Antidepressant Use in Australian Women: Findings From the Australian Longitudinal Study on Women's Health.

Antidepressant use is common in women. However, characteristics associated with duration of use remain unclear. We conducted a descriptive study using data from the 1973-1978 and 1946-1951 birth cohorts of the Australian Longitudinal Study on Women's Health linked to antidepressant dispensing records from the Pharmaceutical Benefits Scheme, July 2012 to December 2019 to examine use patterns and their associated characteristics. Early discontinuation and prolonged antidepressant use were common, a significant deviation from current guideline recommendations. There were 5553 episodes of antidepressant use in 4416 women, with a mean estimated duration of first-time use of 664 days. One in four women had only one prescription filled, while 32% continued treatment beyond two years, with 14% continuing use at five years. Age and previous antidepressant use impacted duration of use, with a shorter average duration of use and a higher proportion of discontinuation for each subsequent episode after the first prescription.

求助全文
通过发布文献求助,成功后即可免费获取论文全文。 去求助
来源期刊
Asia-Pacific Journal of Public Health
Asia-Pacific Journal of Public Health 医学-公共卫生、环境卫生与职业卫生
CiteScore
3.30
自引率
4.00%
发文量
147
审稿时长
6 months
期刊介绍: Asia-Pacific Journal of Public Health (APJPH) is a peer-reviewed, bimonthly journal that focuses on health issues in the Asia-Pacific Region. APJPH publishes original articles on public health related issues, including implications for practical applications to professional education and services for public health and primary health care that are of concern and relevance to the Asia-Pacific region.
×
引用
GB/T 7714-2015
复制
MLA
复制
APA
复制
导出至
BibTeX EndNote RefMan NoteFirst NoteExpress
×
提示
您的信息不完整,为了账户安全,请先补充。
现在去补充
×
提示
您因"违规操作"
具体请查看互助需知
我知道了
×
提示
确定
请完成安全验证×
copy
已复制链接
快去分享给好友吧!
我知道了
右上角分享
点击右上角分享
0
联系我们:info@booksci.cn Book学术提供免费学术资源搜索服务,方便国内外学者检索中英文文献。致力于提供最便捷和优质的服务体验。 Copyright © 2023 布克学术 All rights reserved.
京ICP备2023020795号-1
ghs 京公网安备 11010802042870号
Book学术文献互助
Book学术文献互助群
群 号:604180095
Book学术官方微信