德黑兰肥胖治疗研究的遗产:10年减肥手术调查的结果。

IF 1.8 Q3 ENDOCRINOLOGY & METABOLISM
International Journal of Endocrinology and Metabolism Pub Date : 2024-10-29 eCollection Date: 2024-10-01 DOI:10.5812/ijem-151608
Behnaz Abiri, Minoo Heidari Almasi, Farhad Hosseinpanah, Danial Molavizadeh, Alireza Khalaj, Maryam Mahdavi, Majid Valizadeh, Maryam Barzin
{"title":"德黑兰肥胖治疗研究的遗产:10年减肥手术调查的结果。","authors":"Behnaz Abiri, Minoo Heidari Almasi, Farhad Hosseinpanah, Danial Molavizadeh, Alireza Khalaj, Maryam Mahdavi, Majid Valizadeh, Maryam Barzin","doi":"10.5812/ijem-151608","DOIUrl":null,"url":null,"abstract":"<p><strong>Context: </strong>This paper aims to review the findings of the Tehran Obesity Treatment Study (TOTS) on obesity and bariatric surgery (BS).</p><p><strong>Evidence acquisition: </strong>The objective of this review is to assess all aspects of BS in individuals with severe obesity, focusing on research conducted within the TOTS framework.</p><p><strong>Results and conclusions: </strong>The TOTS studies have produced significant national-level findings, highlighting critical issues related to the effectiveness and outcomes of bariatric procedures, the importance of comprehensive nutritional management, and the complications associated with these interventions in this population.</p>","PeriodicalId":13969,"journal":{"name":"International Journal of Endocrinology and Metabolism","volume":"22 4","pages":"e151608"},"PeriodicalIF":1.8000,"publicationDate":"2024-10-29","publicationTypes":"Journal Article","fieldsOfStudy":null,"isOpenAccess":false,"openAccessPdf":"https://www.ncbi.nlm.nih.gov/pmc/articles/PMC11892694/pdf/","citationCount":"0","resultStr":"{\"title\":\"Legacy of the Tehran Obesity Treatment Study: Findings from 10 Years Bariatric Surgery Survey.\",\"authors\":\"Behnaz Abiri, Minoo Heidari Almasi, Farhad Hosseinpanah, Danial Molavizadeh, Alireza Khalaj, Maryam Mahdavi, Majid Valizadeh, Maryam Barzin\",\"doi\":\"10.5812/ijem-151608\",\"DOIUrl\":null,\"url\":null,\"abstract\":\"<p><strong>Context: </strong>This paper aims to review the findings of the Tehran Obesity Treatment Study (TOTS) on obesity and bariatric surgery (BS).</p><p><strong>Evidence acquisition: </strong>The objective of this review is to assess all aspects of BS in individuals with severe obesity, focusing on research conducted within the TOTS framework.</p><p><strong>Results and conclusions: </strong>The TOTS studies have produced significant national-level findings, highlighting critical issues related to the effectiveness and outcomes of bariatric procedures, the importance of comprehensive nutritional management, and the complications associated with these interventions in this population.</p>\",\"PeriodicalId\":13969,\"journal\":{\"name\":\"International Journal of Endocrinology and Metabolism\",\"volume\":\"22 4\",\"pages\":\"e151608\"},\"PeriodicalIF\":1.8000,\"publicationDate\":\"2024-10-29\",\"publicationTypes\":\"Journal Article\",\"fieldsOfStudy\":null,\"isOpenAccess\":false,\"openAccessPdf\":\"https://www.ncbi.nlm.nih.gov/pmc/articles/PMC11892694/pdf/\",\"citationCount\":\"0\",\"resultStr\":null,\"platform\":\"Semanticscholar\",\"paperid\":null,\"PeriodicalName\":\"International Journal of Endocrinology and Metabolism\",\"FirstCategoryId\":\"3\",\"ListUrlMain\":\"https://doi.org/10.5812/ijem-151608\",\"RegionNum\":0,\"RegionCategory\":null,\"ArticlePicture\":[],\"TitleCN\":null,\"AbstractTextCN\":null,\"PMCID\":null,\"EPubDate\":\"2024/10/1 0:00:00\",\"PubModel\":\"eCollection\",\"JCR\":\"Q3\",\"JCRName\":\"ENDOCRINOLOGY & METABOLISM\",\"Score\":null,\"Total\":0}","platform":"Semanticscholar","paperid":null,"PeriodicalName":"International Journal of Endocrinology and Metabolism","FirstCategoryId":"3","ListUrlMain":"https://doi.org/10.5812/ijem-151608","RegionNum":0,"RegionCategory":null,"ArticlePicture":[],"TitleCN":null,"AbstractTextCN":null,"PMCID":null,"EPubDate":"2024/10/1 0:00:00","PubModel":"eCollection","JCR":"Q3","JCRName":"ENDOCRINOLOGY & METABOLISM","Score":null,"Total":0}
引用次数: 0

摘要

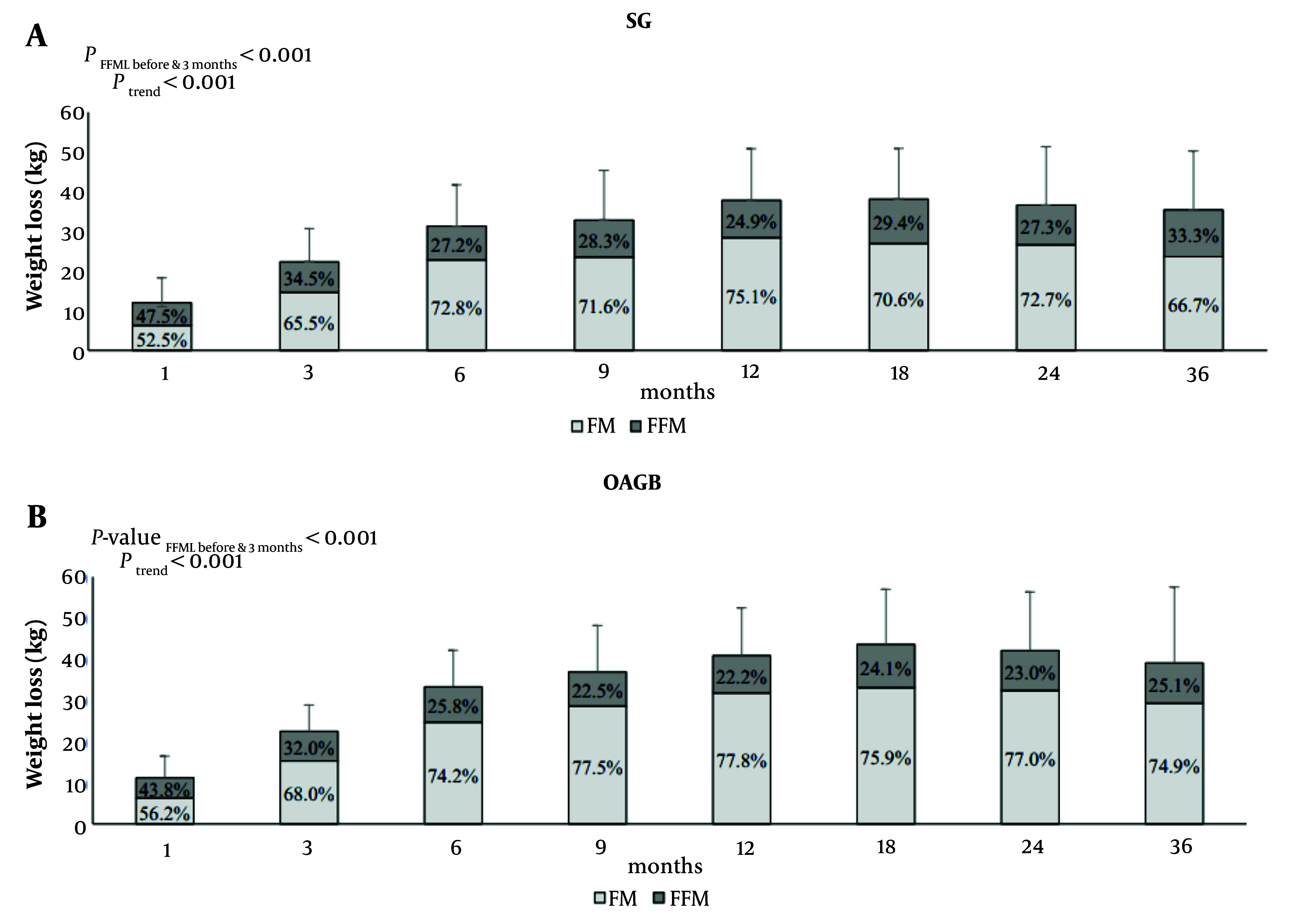
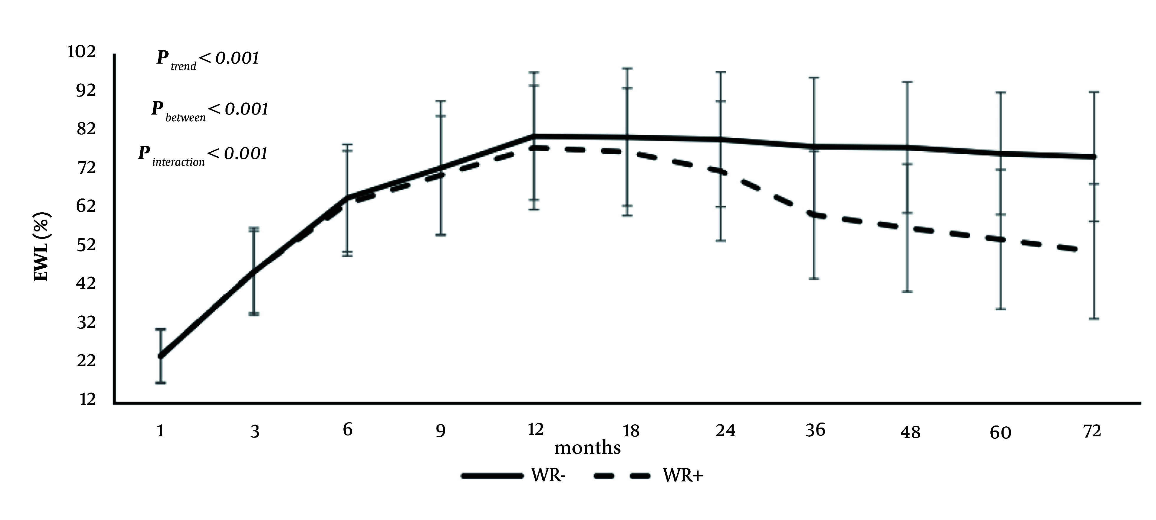
背景:本文旨在回顾德黑兰肥胖治疗研究(TOTS)关于肥胖和减肥手术(BS)的研究结果。证据获取:本综述的目的是评估严重肥胖患者BS的各个方面,重点关注在TOTS框架内进行的研究。结果和结论:TOTS研究产生了重大的国家级发现,突出了与减肥手术的有效性和结果相关的关键问题,全面营养管理的重要性,以及与这些干预措施相关的并发症。
本文章由计算机程序翻译,如有差异,请以英文原文为准。

Legacy of the Tehran Obesity Treatment Study: Findings from 10 Years Bariatric Surgery Survey.

Legacy of the Tehran Obesity Treatment Study: Findings from 10 Years Bariatric Surgery Survey.

Legacy of the Tehran Obesity Treatment Study: Findings from 10 Years Bariatric Surgery Survey.

Legacy of the Tehran Obesity Treatment Study: Findings from 10 Years Bariatric Surgery Survey.

Context: This paper aims to review the findings of the Tehran Obesity Treatment Study (TOTS) on obesity and bariatric surgery (BS).

Evidence acquisition: The objective of this review is to assess all aspects of BS in individuals with severe obesity, focusing on research conducted within the TOTS framework.

Results and conclusions: The TOTS studies have produced significant national-level findings, highlighting critical issues related to the effectiveness and outcomes of bariatric procedures, the importance of comprehensive nutritional management, and the complications associated with these interventions in this population.

求助全文
通过发布文献求助,成功后即可免费获取论文全文。 去求助
来源期刊
CiteScore
3.10
自引率
4.80%
发文量
0
期刊介绍: The aim of the International Journal of Endocrinology and Metabolism (IJEM) is to increase knowledge, stimulate research in the field of endocrinology, and promote better management of patients with endocrinological disorders. To achieve this goal, the journal publishes original research papers on human, animal and cell culture studies relevant to endocrinology.
×
引用
GB/T 7714-2015
复制
MLA
复制
APA
复制
导出至
BibTeX EndNote RefMan NoteFirst NoteExpress
×
提示
您的信息不完整,为了账户安全,请先补充。
现在去补充
×
提示
您因"违规操作"
具体请查看互助需知
我知道了
×
提示
确定
请完成安全验证×
copy
已复制链接
快去分享给好友吧!
我知道了
右上角分享
点击右上角分享
0
联系我们:info@booksci.cn Book学术提供免费学术资源搜索服务,方便国内外学者检索中英文文献。致力于提供最便捷和优质的服务体验。 Copyright © 2023 布克学术 All rights reserved.
京ICP备2023020795号-1
ghs 京公网安备 11010802042870号
Book学术文献互助
Book学术文献互助群
群 号:604180095
Book学术官方微信