在使用EORTC CAT核心评估身体功能时,使用先验信息个性化开始项目选择。

IF 3.4 2区 医学 Q1 HEALTH CARE SCIENCES & SERVICES
Morten Aa Petersen, Hugo Vachon, Johannes M Giesinger, Mogens Groenvold
{"title":"在使用EORTC CAT核心评估身体功能时,使用先验信息个性化开始项目选择。","authors":"Morten Aa Petersen, Hugo Vachon, Johannes M Giesinger, Mogens Groenvold","doi":"10.1186/s12955-025-02353-3","DOIUrl":null,"url":null,"abstract":"<p><strong>Background: </strong>Computerized adaptive test (CAT) provides individualized measurement, using the patient's previous responses to select the next most informative item. However, the first item, the start item, is usually not individualized as no score estimate is available a priori. The European Organisation for Research and Treatment of Cancer (EORTC) CAT Core covers 15 health-related quality of life domains. Scores for one domain may be used to obtain initial score estimates for another domain. We assessed the potential for using such cross-domain information to individualize start item selection for the EORTC CAT Core physical functioning.</p><p><strong>Methods: </strong>The potential for predicting physical functioning (PF) scores from each of the 14 other domains using linear regression was assessed in an international, mixed sample comprising 10,084 cancer patient assessments. Using Monte Carlo CAT simulations, the impact of individually selected PF start items vs. fixed start item for CAT measurement precision was assessed.</p><p><strong>Results: </strong>Depending on the domain predicting PF, the correlation of predicted and observed PF scores ranged 0.25-0.71 and the predicted PF scores were within 1SD of the observed PF scores for 57-85% of the patients. The CAT simulations showed that individually selected start items improved measurement precision for the initial steps of CATs. The application of individual start items had trivial or no impact on measurement precision when the CAT asked three or more items.</p><p><strong>Conclusions: </strong>Simple linear regression may provide useful cross-domain predictions. Using individualized start items may increase measurement precision of the EORTC CAT Core for the initial steps of CAT which may be of relevance for short CATs.</p>","PeriodicalId":12980,"journal":{"name":"Health and Quality of Life Outcomes","volume":"23 1","pages":"21"},"PeriodicalIF":3.4000,"publicationDate":"2025-03-09","publicationTypes":"Journal Article","fieldsOfStudy":null,"isOpenAccess":false,"openAccessPdf":"https://www.ncbi.nlm.nih.gov/pmc/articles/PMC11892134/pdf/","citationCount":"0","resultStr":"{\"title\":\"Using prior information to individualize start item selection when assessing physical functioning with the EORTC CAT Core.\",\"authors\":\"Morten Aa Petersen, Hugo Vachon, Johannes M Giesinger, Mogens Groenvold\",\"doi\":\"10.1186/s12955-025-02353-3\",\"DOIUrl\":null,\"url\":null,\"abstract\":\"<p><strong>Background: </strong>Computerized adaptive test (CAT) provides individualized measurement, using the patient's previous responses to select the next most informative item. However, the first item, the start item, is usually not individualized as no score estimate is available a priori. The European Organisation for Research and Treatment of Cancer (EORTC) CAT Core covers 15 health-related quality of life domains. Scores for one domain may be used to obtain initial score estimates for another domain. We assessed the potential for using such cross-domain information to individualize start item selection for the EORTC CAT Core physical functioning.</p><p><strong>Methods: </strong>The potential for predicting physical functioning (PF) scores from each of the 14 other domains using linear regression was assessed in an international, mixed sample comprising 10,084 cancer patient assessments. Using Monte Carlo CAT simulations, the impact of individually selected PF start items vs. fixed start item for CAT measurement precision was assessed.</p><p><strong>Results: </strong>Depending on the domain predicting PF, the correlation of predicted and observed PF scores ranged 0.25-0.71 and the predicted PF scores were within 1SD of the observed PF scores for 57-85% of the patients. The CAT simulations showed that individually selected start items improved measurement precision for the initial steps of CATs. The application of individual start items had trivial or no impact on measurement precision when the CAT asked three or more items.</p><p><strong>Conclusions: </strong>Simple linear regression may provide useful cross-domain predictions. Using individualized start items may increase measurement precision of the EORTC CAT Core for the initial steps of CAT which may be of relevance for short CATs.</p>\",\"PeriodicalId\":12980,\"journal\":{\"name\":\"Health and Quality of Life Outcomes\",\"volume\":\"23 1\",\"pages\":\"21\"},\"PeriodicalIF\":3.4000,\"publicationDate\":\"2025-03-09\",\"publicationTypes\":\"Journal Article\",\"fieldsOfStudy\":null,\"isOpenAccess\":false,\"openAccessPdf\":\"https://www.ncbi.nlm.nih.gov/pmc/articles/PMC11892134/pdf/\",\"citationCount\":\"0\",\"resultStr\":null,\"platform\":\"Semanticscholar\",\"paperid\":null,\"PeriodicalName\":\"Health and Quality of Life Outcomes\",\"FirstCategoryId\":\"3\",\"ListUrlMain\":\"https://doi.org/10.1186/s12955-025-02353-3\",\"RegionNum\":2,\"RegionCategory\":\"医学\",\"ArticlePicture\":[],\"TitleCN\":null,\"AbstractTextCN\":null,\"PMCID\":null,\"EPubDate\":\"\",\"PubModel\":\"\",\"JCR\":\"Q1\",\"JCRName\":\"HEALTH CARE SCIENCES & SERVICES\",\"Score\":null,\"Total\":0}","platform":"Semanticscholar","paperid":null,"PeriodicalName":"Health and Quality of Life Outcomes","FirstCategoryId":"3","ListUrlMain":"https://doi.org/10.1186/s12955-025-02353-3","RegionNum":2,"RegionCategory":"医学","ArticlePicture":[],"TitleCN":null,"AbstractTextCN":null,"PMCID":null,"EPubDate":"","PubModel":"","JCR":"Q1","JCRName":"HEALTH CARE SCIENCES & SERVICES","Score":null,"Total":0}
引用次数: 0

摘要

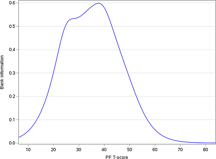
背景:计算机化自适应测试(CAT)提供个性化的测量方法,使用患者以前的反应来选择下一个最具信息量的项目。然而,第一个项目,即开始项目,通常不是个性化的,因为没有先验的分数估计。欧洲癌症研究和治疗组织(EORTC) CAT核心涵盖15个与健康有关的生活质量领域。一个领域的分数可以用来获得另一个领域的初始分数估计。我们评估了使用这种跨领域信息为EORTC CAT核心物理功能个性化启动项目选择的潜力。方法:在包括10084名癌症患者评估的国际混合样本中,使用线性回归来预测其他14个领域的身体功能(PF)评分的潜力。使用蒙特卡罗CAT模拟,评估了单独选择的PF启动项与固定启动项对CAT测量精度的影响。结果:根据预测PF的域,预测PF评分与实际PF评分的相关性在0.25 ~ 0.71之间,57 ~ 85%的患者预测PF评分与实际PF评分的相关性在1SD以内。模拟结果表明,单独选择起始项可以提高初始步骤的测量精度。当CAT要求三个或更多的项目时,单个开始项目的应用对测量精度的影响很小或没有影响。结论:简单线性回归可以提供有用的跨领域预测。使用个性化的起始项目可以提高EORTC CAT核心对CAT初始步骤的测量精度,这可能与短CAT相关。
本文章由计算机程序翻译,如有差异,请以英文原文为准。

Using prior information to individualize start item selection when assessing physical functioning with the EORTC CAT Core.

Using prior information to individualize start item selection when assessing physical functioning with the EORTC CAT Core.

Using prior information to individualize start item selection when assessing physical functioning with the EORTC CAT Core.

Using prior information to individualize start item selection when assessing physical functioning with the EORTC CAT Core.

Background: Computerized adaptive test (CAT) provides individualized measurement, using the patient's previous responses to select the next most informative item. However, the first item, the start item, is usually not individualized as no score estimate is available a priori. The European Organisation for Research and Treatment of Cancer (EORTC) CAT Core covers 15 health-related quality of life domains. Scores for one domain may be used to obtain initial score estimates for another domain. We assessed the potential for using such cross-domain information to individualize start item selection for the EORTC CAT Core physical functioning.

Methods: The potential for predicting physical functioning (PF) scores from each of the 14 other domains using linear regression was assessed in an international, mixed sample comprising 10,084 cancer patient assessments. Using Monte Carlo CAT simulations, the impact of individually selected PF start items vs. fixed start item for CAT measurement precision was assessed.

Results: Depending on the domain predicting PF, the correlation of predicted and observed PF scores ranged 0.25-0.71 and the predicted PF scores were within 1SD of the observed PF scores for 57-85% of the patients. The CAT simulations showed that individually selected start items improved measurement precision for the initial steps of CATs. The application of individual start items had trivial or no impact on measurement precision when the CAT asked three or more items.

Conclusions: Simple linear regression may provide useful cross-domain predictions. Using individualized start items may increase measurement precision of the EORTC CAT Core for the initial steps of CAT which may be of relevance for short CATs.

求助全文
通过发布文献求助,成功后即可免费获取论文全文。 去求助
来源期刊
CiteScore
7.30
自引率
2.80%
发文量
154
审稿时长
3-8 weeks
期刊介绍: Health and Quality of Life Outcomes is an open access, peer-reviewed, journal offering high quality articles, rapid publication and wide diffusion in the public domain. Health and Quality of Life Outcomes considers original manuscripts on the Health-Related Quality of Life (HRQOL) assessment for evaluation of medical and psychosocial interventions. It also considers approaches and studies on psychometric properties of HRQOL and patient reported outcome measures, including cultural validation of instruments if they provide information about the impact of interventions. The journal publishes study protocols and reviews summarising the present state of knowledge concerning a particular aspect of HRQOL and patient reported outcome measures. Reviews should generally follow systematic review methodology. Comments on articles and letters to the editor are welcome.
×
引用
GB/T 7714-2015
复制
MLA
复制
APA
复制
导出至
BibTeX EndNote RefMan NoteFirst NoteExpress
×
提示
您的信息不完整,为了账户安全,请先补充。
现在去补充
×
提示
您因"违规操作"
具体请查看互助需知
我知道了
×
提示
确定
请完成安全验证×
copy
已复制链接
快去分享给好友吧!
我知道了
右上角分享
点击右上角分享
0
联系我们:info@booksci.cn Book学术提供免费学术资源搜索服务,方便国内外学者检索中英文文献。致力于提供最便捷和优质的服务体验。 Copyright © 2023 布克学术 All rights reserved.
京ICP备2023020795号-1
ghs 京公网安备 11010802042870号
Book学术文献互助
Book学术文献互助群
群 号:604180095
Book学术官方微信