玉米秸秆与桑叶体外发酵的协同效应及其对绵羊生长性能和抗氧化能力的影响

IF 2.5 2区 农林科学 Q1 AGRICULTURE, DAIRY & ANIMAL SCIENCE
Animal Bioscience Pub Date : 2025-08-01 Epub Date: 2025-02-27 DOI:10.5713/ab.24.0763
Qirui Hou, Wenfeng Zhang, Shuli Wang, Wenyu Hou, Weiguo Zhao, Hui Xie, Peng Zhao, Yongen Zhang
{"title":"玉米秸秆与桑叶体外发酵的协同效应及其对绵羊生长性能和抗氧化能力的影响","authors":"Qirui Hou, Wenfeng Zhang, Shuli Wang, Wenyu Hou, Weiguo Zhao, Hui Xie, Peng Zhao, Yongen Zhang","doi":"10.5713/ab.24.0763","DOIUrl":null,"url":null,"abstract":"<p><strong>Objective: </strong>This study aimed to investigate the synergistic effects of corn straw and mulberry leaves on the growth performance and antioxidant capacity of sheep.</p><p><strong>Methods: </strong>Corn straw and mulberry leaves were mixed in six different ratios as culture substrates: 100:0 (T0), 80:20 (T20), 60:40 (T40), 40: 60 (T60), 20:80 (T80) and 0:100 (T100). Rumen fluid from small-tailed Han sheep was collected, and artificial saliva was prepared. Gas production (GP) parameters, volatile fatty acids (VFAs), ammonia nitrogen (NH3-N), microbial crude protein (MCP) and additional indicators of in vitro rumen fluid fermentations were measured over 72 h. Combinations with a positive multiple-factors associative effect index were chosen for a 65 d in vivo feeding experiment, during which the growth performance, carcass traits, meat quality, and liver antioxidant function were evaluated.</p><p><strong>Results: </strong>Mulberry leaves exhibited a positive correlation with in vitro theoretical maximum GP, cumulative GP, MCP, and organic matter digestibility. At 72 h, total VFA and acetic acid were significantly higher in the T60, T80, and T100 groups (p<0.05). Additionally, at 6 h, 12 h, and 72 h, the NH3-N of the T60, T80, and T100 groups were significantly higher (p<0.05). The T20, T60, and T80 combinations were selected for sheep feeding, and T60 got the highest increase in average daily feed intake (p<0.05). Moreover, the thickness of the rib and back muscle were notably increased in the T60 and T80 groups (p<0.05). Water-holding capacity of the longissimus dorsi muscle was higher and drip loss was lower in the combination-fed groups, particularlly in the T20 and T60 groups (p<0.05). Blood urea nitrogen levels decreased with increasing mulberry leaf content (p<0.05). Furthermore, the T60 and T80 groups demonstrated higher α,α-diphenyl-β-picrylhydrazyl and 2,2'-Azino-bis(3-ethylbenzothiazoline-6-sulfonic acid) free radical scavenging ability (p<0.05). Catalase and glutathione peroxidase activities in the sheep liver were also notably enhanced (p<0.05).</p><p><strong>Conclusion: </strong>The combination of corn straw and mulberry leaves had a positive synergistic effect on improving feed intake, muscle thickness, muscle water retention, and the liver antioxidant capacity in sheep. The ratios of 40:60 corn straw to mulberry leaves showed the most beneficial effects. This combination provides a practical method for utilizing agricultural waste and optimizing sheep diets.</p>","PeriodicalId":7825,"journal":{"name":"Animal Bioscience","volume":" ","pages":"1657-1671"},"PeriodicalIF":2.5000,"publicationDate":"2025-08-01","publicationTypes":"Journal Article","fieldsOfStudy":null,"isOpenAccess":false,"openAccessPdf":"https://www.ncbi.nlm.nih.gov/pmc/articles/PMC12229936/pdf/","citationCount":"0","resultStr":"{\"title\":\"Synergistic effect of corn straw and mulberry leaves on in vitro fermentation, growth performance and antioxidant capacity of sheep.\",\"authors\":\"Qirui Hou, Wenfeng Zhang, Shuli Wang, Wenyu Hou, Weiguo Zhao, Hui Xie, Peng Zhao, Yongen Zhang\",\"doi\":\"10.5713/ab.24.0763\",\"DOIUrl\":null,\"url\":null,\"abstract\":\"<p><strong>Objective: </strong>This study aimed to investigate the synergistic effects of corn straw and mulberry leaves on the growth performance and antioxidant capacity of sheep.</p><p><strong>Methods: </strong>Corn straw and mulberry leaves were mixed in six different ratios as culture substrates: 100:0 (T0), 80:20 (T20), 60:40 (T40), 40: 60 (T60), 20:80 (T80) and 0:100 (T100). Rumen fluid from small-tailed Han sheep was collected, and artificial saliva was prepared. Gas production (GP) parameters, volatile fatty acids (VFAs), ammonia nitrogen (NH3-N), microbial crude protein (MCP) and additional indicators of in vitro rumen fluid fermentations were measured over 72 h. Combinations with a positive multiple-factors associative effect index were chosen for a 65 d in vivo feeding experiment, during which the growth performance, carcass traits, meat quality, and liver antioxidant function were evaluated.</p><p><strong>Results: </strong>Mulberry leaves exhibited a positive correlation with in vitro theoretical maximum GP, cumulative GP, MCP, and organic matter digestibility. At 72 h, total VFA and acetic acid were significantly higher in the T60, T80, and T100 groups (p<0.05). Additionally, at 6 h, 12 h, and 72 h, the NH3-N of the T60, T80, and T100 groups were significantly higher (p<0.05). The T20, T60, and T80 combinations were selected for sheep feeding, and T60 got the highest increase in average daily feed intake (p<0.05). Moreover, the thickness of the rib and back muscle were notably increased in the T60 and T80 groups (p<0.05). Water-holding capacity of the longissimus dorsi muscle was higher and drip loss was lower in the combination-fed groups, particularlly in the T20 and T60 groups (p<0.05). Blood urea nitrogen levels decreased with increasing mulberry leaf content (p<0.05). Furthermore, the T60 and T80 groups demonstrated higher α,α-diphenyl-β-picrylhydrazyl and 2,2'-Azino-bis(3-ethylbenzothiazoline-6-sulfonic acid) free radical scavenging ability (p<0.05). Catalase and glutathione peroxidase activities in the sheep liver were also notably enhanced (p<0.05).</p><p><strong>Conclusion: </strong>The combination of corn straw and mulberry leaves had a positive synergistic effect on improving feed intake, muscle thickness, muscle water retention, and the liver antioxidant capacity in sheep. The ratios of 40:60 corn straw to mulberry leaves showed the most beneficial effects. This combination provides a practical method for utilizing agricultural waste and optimizing sheep diets.</p>\",\"PeriodicalId\":7825,\"journal\":{\"name\":\"Animal Bioscience\",\"volume\":\" \",\"pages\":\"1657-1671\"},\"PeriodicalIF\":2.5000,\"publicationDate\":\"2025-08-01\",\"publicationTypes\":\"Journal Article\",\"fieldsOfStudy\":null,\"isOpenAccess\":false,\"openAccessPdf\":\"https://www.ncbi.nlm.nih.gov/pmc/articles/PMC12229936/pdf/\",\"citationCount\":\"0\",\"resultStr\":null,\"platform\":\"Semanticscholar\",\"paperid\":null,\"PeriodicalName\":\"Animal Bioscience\",\"FirstCategoryId\":\"97\",\"ListUrlMain\":\"https://doi.org/10.5713/ab.24.0763\",\"RegionNum\":2,\"RegionCategory\":\"农林科学\",\"ArticlePicture\":[],\"TitleCN\":null,\"AbstractTextCN\":null,\"PMCID\":null,\"EPubDate\":\"2025/2/27 0:00:00\",\"PubModel\":\"Epub\",\"JCR\":\"Q1\",\"JCRName\":\"AGRICULTURE, DAIRY & ANIMAL SCIENCE\",\"Score\":null,\"Total\":0}","platform":"Semanticscholar","paperid":null,"PeriodicalName":"Animal Bioscience","FirstCategoryId":"97","ListUrlMain":"https://doi.org/10.5713/ab.24.0763","RegionNum":2,"RegionCategory":"农林科学","ArticlePicture":[],"TitleCN":null,"AbstractTextCN":null,"PMCID":null,"EPubDate":"2025/2/27 0:00:00","PubModel":"Epub","JCR":"Q1","JCRName":"AGRICULTURE, DAIRY & ANIMAL SCIENCE","Score":null,"Total":0}
引用次数: 0

摘要

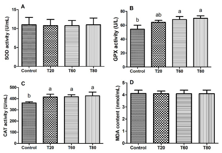
本试验旨在研究玉米秸秆和桑叶在绵羊饲粮中的增效作用。将玉米秸秆与桑叶混合作为培养基质,分为100:0 (T0)、80:20 (T20)、60:40 (T40)、40:60 (T60)、20:80 (T80)和0:100 (T100) 6组。体外培养结果表明,桑叶与理论产气量、累积产气量、微生物粗蛋白质浓度和有机物消化率呈正相关。72 h时,T60、T80和T100组总挥发性脂肪酸和乙酸显著高于对照组(P < 0.05)。在6 h、12 h和72 h, T60、T80和T100组的氨氮显著升高(P < 0.05)。选用T20、T60和T80组合饲喂,T60对绵羊平均日采食量的提高最高(P < 0.05)。此外,T80组肋骨和背部的厚度显著增加(P < 0.05)。饲喂组合饲料显著提高了背最长肌的持水能力,降低了滴漏损失(P < 0.05),其中以T20和T60组最为显著(P < 0.05)。血尿素氮随桑叶含量的增加而降低(P < 0.05)。T60和T80组对DPPH和ABTS自由基的清除能力显著提高(P < 0.05)。此外,该组合显著提高了绵羊肝脏过氧化氢酶和谷胱甘肽过氧化物酶活性(P < 0.05)。综上所述,玉米秸秆与桑叶组合在提高绵羊采食量、肌肉厚度、肌肉保水性和肝脏抗氧化能力方面具有正协同效应,为农业废弃物的资源化利用提供了一条实用途径。
本文章由计算机程序翻译,如有差异,请以英文原文为准。

Synergistic effect of corn straw and mulberry leaves on in vitro fermentation, growth performance and antioxidant capacity of sheep.

Synergistic effect of corn straw and mulberry leaves on in vitro fermentation, growth performance and antioxidant capacity of sheep.

Synergistic effect of corn straw and mulberry leaves on in vitro fermentation, growth performance and antioxidant capacity of sheep.

Objective: This study aimed to investigate the synergistic effects of corn straw and mulberry leaves on the growth performance and antioxidant capacity of sheep.

Methods: Corn straw and mulberry leaves were mixed in six different ratios as culture substrates: 100:0 (T0), 80:20 (T20), 60:40 (T40), 40: 60 (T60), 20:80 (T80) and 0:100 (T100). Rumen fluid from small-tailed Han sheep was collected, and artificial saliva was prepared. Gas production (GP) parameters, volatile fatty acids (VFAs), ammonia nitrogen (NH3-N), microbial crude protein (MCP) and additional indicators of in vitro rumen fluid fermentations were measured over 72 h. Combinations with a positive multiple-factors associative effect index were chosen for a 65 d in vivo feeding experiment, during which the growth performance, carcass traits, meat quality, and liver antioxidant function were evaluated.

Results: Mulberry leaves exhibited a positive correlation with in vitro theoretical maximum GP, cumulative GP, MCP, and organic matter digestibility. At 72 h, total VFA and acetic acid were significantly higher in the T60, T80, and T100 groups (p<0.05). Additionally, at 6 h, 12 h, and 72 h, the NH3-N of the T60, T80, and T100 groups were significantly higher (p<0.05). The T20, T60, and T80 combinations were selected for sheep feeding, and T60 got the highest increase in average daily feed intake (p<0.05). Moreover, the thickness of the rib and back muscle were notably increased in the T60 and T80 groups (p<0.05). Water-holding capacity of the longissimus dorsi muscle was higher and drip loss was lower in the combination-fed groups, particularlly in the T20 and T60 groups (p<0.05). Blood urea nitrogen levels decreased with increasing mulberry leaf content (p<0.05). Furthermore, the T60 and T80 groups demonstrated higher α,α-diphenyl-β-picrylhydrazyl and 2,2'-Azino-bis(3-ethylbenzothiazoline-6-sulfonic acid) free radical scavenging ability (p<0.05). Catalase and glutathione peroxidase activities in the sheep liver were also notably enhanced (p<0.05).

Conclusion: The combination of corn straw and mulberry leaves had a positive synergistic effect on improving feed intake, muscle thickness, muscle water retention, and the liver antioxidant capacity in sheep. The ratios of 40:60 corn straw to mulberry leaves showed the most beneficial effects. This combination provides a practical method for utilizing agricultural waste and optimizing sheep diets.

求助全文
通过发布文献求助,成功后即可免费获取论文全文。 去求助
来源期刊
Animal Bioscience
Animal Bioscience AGRICULTURE, DAIRY & ANIMAL SCIENCE-
CiteScore
5.00
自引率
0.00%
发文量
223
审稿时长
3 months
×
引用
GB/T 7714-2015
复制
MLA
复制
APA
复制
导出至
BibTeX EndNote RefMan NoteFirst NoteExpress
×
提示
您的信息不完整,为了账户安全,请先补充。
现在去补充
×
提示
您因"违规操作"
具体请查看互助需知
我知道了
×
提示
确定
请完成安全验证×
copy
已复制链接
快去分享给好友吧!
我知道了
右上角分享
点击右上角分享
0
联系我们:info@booksci.cn Book学术提供免费学术资源搜索服务,方便国内外学者检索中英文文献。致力于提供最便捷和优质的服务体验。 Copyright © 2023 布克学术 All rights reserved.
京ICP备2023020795号-1
ghs 京公网安备 11010802042870号
Book学术文献互助
Book学术文献互助群
群 号:604180095
Book学术官方微信