肝草群落的分类和系统发育特有性的全球模式。

IF 6.3 1区 生物学 Q1 PLANT SCIENCES
Plant Diversity Pub Date : 2024-08-27 eCollection Date: 2025-01-01 DOI:10.1016/j.pld.2024.08.004
Hong Qian, Shenhua Qian
{"title":"肝草群落的分类和系统发育特有性的全球模式。","authors":"Hong Qian, Shenhua Qian","doi":"10.1016/j.pld.2024.08.004","DOIUrl":null,"url":null,"abstract":"<p><p>Exploring the worldwide patterns of endemism and the processes that lead to the formation of high-endemism centers is crucial in biogeography. This study examines the geographic distribution and ecological influences on the endemism of liverworts across 390 regions worldwide. We assess phylogenetic endemism and relative phylogenetic endemism in relation to eleven environmental factors, which represent current and Quaternary climate variations, as well as topographic and environmental heterogeneity. Areas with higher endemism in liverworts tend to have higher temperatures, precipitation, and environmental heterogeneity, but lower temperature seasonality and lesser impacts from Quaternary climate changes. Regions exhibiting notably high endemism are predominantly found in tropical Asia, Madagascar, eastern Australia, and the Andes, while those with notably low endemism are generally in temperate Eurasia and North America, parts of Africa, and eastern South America. Centers of neo-endemism are mainly in southern Africa, whereas centers of paleo-endemism are in southern South America, tropical Asia, and New Zealand. Environment variability is a more significant predictor of phylogenetic endemism than current climate conditions, which are themselves more predictive than variables related to Quaternary climate changes. Nevertheless, these three types of explanatory variables combined explain only about one-third of the variance in phylogenetic endemism.</p>","PeriodicalId":20224,"journal":{"name":"Plant Diversity","volume":"47 1","pages":"82-88"},"PeriodicalIF":6.3000,"publicationDate":"2024-08-27","publicationTypes":"Journal Article","fieldsOfStudy":null,"isOpenAccess":false,"openAccessPdf":"https://www.ncbi.nlm.nih.gov/pmc/articles/PMC11873567/pdf/","citationCount":"0","resultStr":"{\"title\":\"Global patterns of taxonomic and phylogenetic endemism in liverwort assemblages.\",\"authors\":\"Hong Qian, Shenhua Qian\",\"doi\":\"10.1016/j.pld.2024.08.004\",\"DOIUrl\":null,\"url\":null,\"abstract\":\"<p><p>Exploring the worldwide patterns of endemism and the processes that lead to the formation of high-endemism centers is crucial in biogeography. This study examines the geographic distribution and ecological influences on the endemism of liverworts across 390 regions worldwide. We assess phylogenetic endemism and relative phylogenetic endemism in relation to eleven environmental factors, which represent current and Quaternary climate variations, as well as topographic and environmental heterogeneity. Areas with higher endemism in liverworts tend to have higher temperatures, precipitation, and environmental heterogeneity, but lower temperature seasonality and lesser impacts from Quaternary climate changes. Regions exhibiting notably high endemism are predominantly found in tropical Asia, Madagascar, eastern Australia, and the Andes, while those with notably low endemism are generally in temperate Eurasia and North America, parts of Africa, and eastern South America. Centers of neo-endemism are mainly in southern Africa, whereas centers of paleo-endemism are in southern South America, tropical Asia, and New Zealand. Environment variability is a more significant predictor of phylogenetic endemism than current climate conditions, which are themselves more predictive than variables related to Quaternary climate changes. Nevertheless, these three types of explanatory variables combined explain only about one-third of the variance in phylogenetic endemism.</p>\",\"PeriodicalId\":20224,\"journal\":{\"name\":\"Plant Diversity\",\"volume\":\"47 1\",\"pages\":\"82-88\"},\"PeriodicalIF\":6.3000,\"publicationDate\":\"2024-08-27\",\"publicationTypes\":\"Journal Article\",\"fieldsOfStudy\":null,\"isOpenAccess\":false,\"openAccessPdf\":\"https://www.ncbi.nlm.nih.gov/pmc/articles/PMC11873567/pdf/\",\"citationCount\":\"0\",\"resultStr\":null,\"platform\":\"Semanticscholar\",\"paperid\":null,\"PeriodicalName\":\"Plant Diversity\",\"FirstCategoryId\":\"99\",\"ListUrlMain\":\"https://doi.org/10.1016/j.pld.2024.08.004\",\"RegionNum\":1,\"RegionCategory\":\"生物学\",\"ArticlePicture\":[],\"TitleCN\":null,\"AbstractTextCN\":null,\"PMCID\":null,\"EPubDate\":\"2025/1/1 0:00:00\",\"PubModel\":\"eCollection\",\"JCR\":\"Q1\",\"JCRName\":\"PLANT SCIENCES\",\"Score\":null,\"Total\":0}","platform":"Semanticscholar","paperid":null,"PeriodicalName":"Plant Diversity","FirstCategoryId":"99","ListUrlMain":"https://doi.org/10.1016/j.pld.2024.08.004","RegionNum":1,"RegionCategory":"生物学","ArticlePicture":[],"TitleCN":null,"AbstractTextCN":null,"PMCID":null,"EPubDate":"2025/1/1 0:00:00","PubModel":"eCollection","JCR":"Q1","JCRName":"PLANT SCIENCES","Score":null,"Total":0}
引用次数: 0

摘要

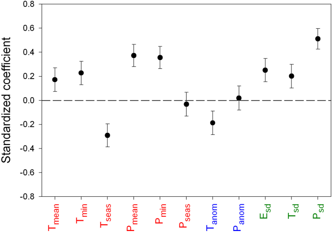
在生物地理学中,探索世界范围内的特有模式和导致高特有中心形成的过程是至关重要的。本研究调查了全球390个地区的苔类植物的地理分布及其对地方性的生态影响。我们评估了系统发育地方性和相对系统发育地方性与11个环境因子的关系,这些环境因子代表了当前和第四纪的气候变化,以及地形和环境的异质性。地衣区温度、降水和环境异质性较高,但温度季节性较低,第四纪气候变化的影响较小。表现出明显高地方性的地区主要分布在热带亚洲、马达加斯加、澳大利亚东部和安第斯山脉,而明显低地方性的地区通常分布在温带的欧亚大陆和北美、非洲部分地区和南美洲东部。新地方主义的中心主要在非洲南部,而古地方主义的中心在南美洲南部、热带亚洲和新西兰。环境变率是一个比当前气候条件更重要的系统发育地方性预测因子,而当前气候条件本身比第四纪气候变化相关变量更具预测性。然而,这三种类型的解释变量加在一起只能解释大约三分之一的系统发育地方性差异。
本文章由计算机程序翻译,如有差异,请以英文原文为准。

Global patterns of taxonomic and phylogenetic endemism in liverwort assemblages.

Global patterns of taxonomic and phylogenetic endemism in liverwort assemblages.

Global patterns of taxonomic and phylogenetic endemism in liverwort assemblages.

Global patterns of taxonomic and phylogenetic endemism in liverwort assemblages.

Exploring the worldwide patterns of endemism and the processes that lead to the formation of high-endemism centers is crucial in biogeography. This study examines the geographic distribution and ecological influences on the endemism of liverworts across 390 regions worldwide. We assess phylogenetic endemism and relative phylogenetic endemism in relation to eleven environmental factors, which represent current and Quaternary climate variations, as well as topographic and environmental heterogeneity. Areas with higher endemism in liverworts tend to have higher temperatures, precipitation, and environmental heterogeneity, but lower temperature seasonality and lesser impacts from Quaternary climate changes. Regions exhibiting notably high endemism are predominantly found in tropical Asia, Madagascar, eastern Australia, and the Andes, while those with notably low endemism are generally in temperate Eurasia and North America, parts of Africa, and eastern South America. Centers of neo-endemism are mainly in southern Africa, whereas centers of paleo-endemism are in southern South America, tropical Asia, and New Zealand. Environment variability is a more significant predictor of phylogenetic endemism than current climate conditions, which are themselves more predictive than variables related to Quaternary climate changes. Nevertheless, these three types of explanatory variables combined explain only about one-third of the variance in phylogenetic endemism.

求助全文
通过发布文献求助,成功后即可免费获取论文全文。 去求助
来源期刊
Plant Diversity
Plant Diversity Agricultural and Biological Sciences-Ecology, Evolution, Behavior and Systematics
CiteScore
8.30
自引率
6.20%
发文量
1863
审稿时长
35 days
期刊介绍: Plant Diversity (formerly Plant Diversity and Resources) is an international plant science journal that publishes substantial original research and review papers that advance our understanding of the past and current distribution of plants, contribute to the development of more phylogenetically accurate taxonomic classifications, present new findings on or insights into evolutionary processes and mechanisms that are of interest to the community of plant systematic and evolutionary biologists. While the focus of the journal is on biodiversity, ecology and evolution of East Asian flora, it is not limited to these topics. Applied evolutionary issues, such as climate change and conservation biology, are welcome, especially if they address conceptual problems. Theoretical papers are equally welcome. Preference is given to concise, clearly written papers focusing on precisely framed questions or hypotheses. Papers that are purely descriptive have a low chance of acceptance. Fields covered by the journal include: plant systematics and taxonomy- evolutionary developmental biology- reproductive biology- phylo- and biogeography- evolutionary ecology- population biology- conservation biology- palaeobotany- molecular evolution- comparative and evolutionary genomics- physiology- biochemistry
×
引用
GB/T 7714-2015
复制
MLA
复制
APA
复制
导出至
BibTeX EndNote RefMan NoteFirst NoteExpress
×
提示
您的信息不完整,为了账户安全,请先补充。
现在去补充
×
提示
您因"违规操作"
具体请查看互助需知
我知道了
×
提示
确定
请完成安全验证×
copy
已复制链接
快去分享给好友吧!
我知道了
右上角分享
点击右上角分享
0
联系我们:info@booksci.cn Book学术提供免费学术资源搜索服务,方便国内外学者检索中英文文献。致力于提供最便捷和优质的服务体验。 Copyright © 2023 布克学术 All rights reserved.
京ICP备2023020795号-1
ghs 京公网安备 11010802042870号
Book学术文献互助
Book学术文献互助群
群 号:604180095
Book学术官方微信