法医尸检中阿米替林和去甲替林的脑浓度和脑血比。

IF 2.6 3区 医学 Q3 CHEMISTRY, ANALYTICAL
Mikayla Zoë van der Meer, Brian Schou Rasmussen, Michael Nedahl, Marie Katrine Klose Nielsen
{"title":"法医尸检中阿米替林和去甲替林的脑浓度和脑血比。","authors":"Mikayla Zoë van der Meer, Brian Schou Rasmussen, Michael Nedahl, Marie Katrine Klose Nielsen","doi":"10.1093/jat/bkaf017","DOIUrl":null,"url":null,"abstract":"<p><p>Concentrations of amitriptyline and nortriptyline in postmortem blood samples may not accurately reflect the concentrations at the time of death due to postmortem redistribution or degradation. The brain is suggested as an alternative matrix since it is less subjected to postmortem redistribution and more protected against trauma and putrefaction, but reference concentrations in brain tissue are scarce. In this study, we aimed to provide concentrations in brain tissue and brain-blood ratios in 53 postmortem cases, where amitriptyline and/or nortriptyline were detected. To establish reference levels, each case was assigned to one of three classes according to the cause of death: (i) lethal intoxication by the sum of amitriptyline and nortriptyline or nortriptyline alone, (ii) lethal intoxication by the drugs in combination with other drugs, and (iii) the cause of death was not influenced by amitriptyline and/or nortriptyline. A positive correlation between blood and brain concentrations was found with a Spearman coefficient of 0.98. In 42 cases, where both drugs were detected, the 10-90 percentiles in brain tissue ranged from 0.17-9.1 mg/kg (median: 0.78 mg/kg) for amitriptyline and 0.22-5.0 mg/kg (median: 1.43 mg/kg) for nortriptyline across all classes. In 11 cases where only nortriptyline was detected, the percentiles ranged from 0.32-7.2 mg/kg (median: 0.28 mg/kg) in brain tissue. A median brain-blood ratio of 3.4 was found for amitriptyline, 8.5 for nortriptyline as a metabolite of amitriptyline and 9.7 for nortriptyline as an individual ingested drug. No significant difference was found between the different classes. The obtained brain concentrations and brain-blood ratio can contribute to the alternative or complementary use of brain tissue for future toxicological investigations.</p>","PeriodicalId":14905,"journal":{"name":"Journal of analytical toxicology","volume":" ","pages":"209-215"},"PeriodicalIF":2.6000,"publicationDate":"2025-04-12","publicationTypes":"Journal Article","fieldsOfStudy":null,"isOpenAccess":false,"openAccessPdf":"https://www.ncbi.nlm.nih.gov/pmc/articles/PMC12000722/pdf/","citationCount":"0","resultStr":"{\"title\":\"Brain concentrations and brain-blood ratios of amitriptyline and nortriptyline in forensic postmortem cases.\",\"authors\":\"Mikayla Zoë van der Meer, Brian Schou Rasmussen, Michael Nedahl, Marie Katrine Klose Nielsen\",\"doi\":\"10.1093/jat/bkaf017\",\"DOIUrl\":null,\"url\":null,\"abstract\":\"<p><p>Concentrations of amitriptyline and nortriptyline in postmortem blood samples may not accurately reflect the concentrations at the time of death due to postmortem redistribution or degradation. The brain is suggested as an alternative matrix since it is less subjected to postmortem redistribution and more protected against trauma and putrefaction, but reference concentrations in brain tissue are scarce. In this study, we aimed to provide concentrations in brain tissue and brain-blood ratios in 53 postmortem cases, where amitriptyline and/or nortriptyline were detected. To establish reference levels, each case was assigned to one of three classes according to the cause of death: (i) lethal intoxication by the sum of amitriptyline and nortriptyline or nortriptyline alone, (ii) lethal intoxication by the drugs in combination with other drugs, and (iii) the cause of death was not influenced by amitriptyline and/or nortriptyline. A positive correlation between blood and brain concentrations was found with a Spearman coefficient of 0.98. In 42 cases, where both drugs were detected, the 10-90 percentiles in brain tissue ranged from 0.17-9.1 mg/kg (median: 0.78 mg/kg) for amitriptyline and 0.22-5.0 mg/kg (median: 1.43 mg/kg) for nortriptyline across all classes. In 11 cases where only nortriptyline was detected, the percentiles ranged from 0.32-7.2 mg/kg (median: 0.28 mg/kg) in brain tissue. A median brain-blood ratio of 3.4 was found for amitriptyline, 8.5 for nortriptyline as a metabolite of amitriptyline and 9.7 for nortriptyline as an individual ingested drug. No significant difference was found between the different classes. The obtained brain concentrations and brain-blood ratio can contribute to the alternative or complementary use of brain tissue for future toxicological investigations.</p>\",\"PeriodicalId\":14905,\"journal\":{\"name\":\"Journal of analytical toxicology\",\"volume\":\" \",\"pages\":\"209-215\"},\"PeriodicalIF\":2.6000,\"publicationDate\":\"2025-04-12\",\"publicationTypes\":\"Journal Article\",\"fieldsOfStudy\":null,\"isOpenAccess\":false,\"openAccessPdf\":\"https://www.ncbi.nlm.nih.gov/pmc/articles/PMC12000722/pdf/\",\"citationCount\":\"0\",\"resultStr\":null,\"platform\":\"Semanticscholar\",\"paperid\":null,\"PeriodicalName\":\"Journal of analytical toxicology\",\"FirstCategoryId\":\"3\",\"ListUrlMain\":\"https://doi.org/10.1093/jat/bkaf017\",\"RegionNum\":3,\"RegionCategory\":\"医学\",\"ArticlePicture\":[],\"TitleCN\":null,\"AbstractTextCN\":null,\"PMCID\":null,\"EPubDate\":\"\",\"PubModel\":\"\",\"JCR\":\"Q3\",\"JCRName\":\"CHEMISTRY, ANALYTICAL\",\"Score\":null,\"Total\":0}","platform":"Semanticscholar","paperid":null,"PeriodicalName":"Journal of analytical toxicology","FirstCategoryId":"3","ListUrlMain":"https://doi.org/10.1093/jat/bkaf017","RegionNum":3,"RegionCategory":"医学","ArticlePicture":[],"TitleCN":null,"AbstractTextCN":null,"PMCID":null,"EPubDate":"","PubModel":"","JCR":"Q3","JCRName":"CHEMISTRY, ANALYTICAL","Score":null,"Total":0}
引用次数: 0

摘要

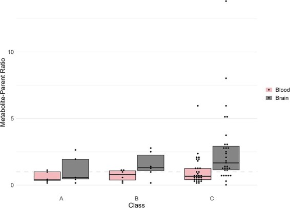
死后血液样本中阿米替林和去甲替林的浓度可能不能准确反映死亡时的浓度,因为死后再分布或降解。由于大脑较少受到死后再分配的影响,并且更能防止创伤和腐烂,因此建议将其作为替代基质,但脑组织中的参考浓度很少。在这项研究中,我们的目的是提供53例尸检病例中阿米替林和/或去甲替林检测的脑组织浓度和脑血比。为了确定参考水平,根据死亡原因将每个病例分为三类:(A)阿米替林和去甲替林合并致死中毒或单独去甲替林致死中毒,(B)药物与其他药物联合致死中毒,(C)死亡原因不受阿米替林和/或去甲替林的影响。血药浓度与脑药浓度呈正相关,Spearman系数为0.98。在42例检测到两种药物的病例中,阿米替林在脑组织中的10-90百分位数范围为0.17-9.1 mg/kg(中位数:0.78 mg/kg),去甲替林在所有类别中为0.22-5.0 mg/kg(中位数:1.43 mg/kg)。在11例仅检测到去甲替林的病例中,脑组织中百分位数范围为0.32-7.2 mg/kg(中位数:0.28 mg/kg)。阿米替林的中位脑血比为3.4,作为阿米替林代谢物的去甲替林为8.5,作为个体摄入药物的去甲替林为9.7。不同类别间无显著差异。获得的脑浓度和脑血比可以为未来的毒理学研究提供脑组织的替代或补充使用。
本文章由计算机程序翻译,如有差异,请以英文原文为准。

Brain concentrations and brain-blood ratios of amitriptyline and nortriptyline in forensic postmortem cases.

Brain concentrations and brain-blood ratios of amitriptyline and nortriptyline in forensic postmortem cases.

Brain concentrations and brain-blood ratios of amitriptyline and nortriptyline in forensic postmortem cases.

Brain concentrations and brain-blood ratios of amitriptyline and nortriptyline in forensic postmortem cases.

Concentrations of amitriptyline and nortriptyline in postmortem blood samples may not accurately reflect the concentrations at the time of death due to postmortem redistribution or degradation. The brain is suggested as an alternative matrix since it is less subjected to postmortem redistribution and more protected against trauma and putrefaction, but reference concentrations in brain tissue are scarce. In this study, we aimed to provide concentrations in brain tissue and brain-blood ratios in 53 postmortem cases, where amitriptyline and/or nortriptyline were detected. To establish reference levels, each case was assigned to one of three classes according to the cause of death: (i) lethal intoxication by the sum of amitriptyline and nortriptyline or nortriptyline alone, (ii) lethal intoxication by the drugs in combination with other drugs, and (iii) the cause of death was not influenced by amitriptyline and/or nortriptyline. A positive correlation between blood and brain concentrations was found with a Spearman coefficient of 0.98. In 42 cases, where both drugs were detected, the 10-90 percentiles in brain tissue ranged from 0.17-9.1 mg/kg (median: 0.78 mg/kg) for amitriptyline and 0.22-5.0 mg/kg (median: 1.43 mg/kg) for nortriptyline across all classes. In 11 cases where only nortriptyline was detected, the percentiles ranged from 0.32-7.2 mg/kg (median: 0.28 mg/kg) in brain tissue. A median brain-blood ratio of 3.4 was found for amitriptyline, 8.5 for nortriptyline as a metabolite of amitriptyline and 9.7 for nortriptyline as an individual ingested drug. No significant difference was found between the different classes. The obtained brain concentrations and brain-blood ratio can contribute to the alternative or complementary use of brain tissue for future toxicological investigations.

求助全文
通过发布文献求助,成功后即可免费获取论文全文。 去求助
来源期刊
CiteScore
5.10
自引率
20.00%
发文量
92
审稿时长
6-12 weeks
期刊介绍: The Journal of Analytical Toxicology (JAT) is an international toxicology journal devoted to the timely dissemination of scientific communications concerning potentially toxic substances and drug identification, isolation, and quantitation. Since its inception in 1977, the Journal of Analytical Toxicology has striven to present state-of-the-art techniques used in toxicology labs. The peer-review process provided by the distinguished members of the Editorial Advisory Board ensures the high-quality and integrity of articles published in the Journal of Analytical Toxicology. Timely presentation of the latest toxicology developments is ensured through Technical Notes, Case Reports, and Letters to the Editor.
×
引用
GB/T 7714-2015
复制
MLA
复制
APA
复制
导出至
BibTeX EndNote RefMan NoteFirst NoteExpress
×
提示
您的信息不完整,为了账户安全,请先补充。
现在去补充
×
提示
您因"违规操作"
具体请查看互助需知
我知道了
×
提示
确定
请完成安全验证×
copy
已复制链接
快去分享给好友吧!
我知道了
右上角分享
点击右上角分享
0
联系我们:info@booksci.cn Book学术提供免费学术资源搜索服务,方便国内外学者检索中英文文献。致力于提供最便捷和优质的服务体验。 Copyright © 2023 布克学术 All rights reserved.
京ICP备2023020795号-1
ghs 京公网安备 11010802042870号
Book学术文献互助
Book学术文献互助群
群 号:604180095
Book学术官方微信