在观察性研究中识别有意义的异质性治疗效果的广义框架:参数数据自适应g计算方法。

IF 1.9 3区 医学 Q3 HEALTH CARE SCIENCES & SERVICES
Statistical Methods in Medical Research Pub Date : 2025-04-01 Epub Date: 2025-02-24 DOI:10.1177/09622802251316969
Roch A Nianogo, Stephen O'Neill, Kosuke Inoue
{"title":"在观察性研究中识别有意义的异质性治疗效果的广义框架:参数数据自适应g计算方法。","authors":"Roch A Nianogo, Stephen O'Neill, Kosuke Inoue","doi":"10.1177/09622802251316969","DOIUrl":null,"url":null,"abstract":"<p><p>There has been a renewed interest in identifying heterogenous treatment effects (HTEs) to guide personalized medicine. The objective was to illustrate the use of a step-by-step transparent parametric data-adaptive approach (the generalized HTE approach) based on the G-computation algorithm to detect heterogenous subgroups and estimate meaningful conditional average treatment effects (CATE). The following seven steps implement the generalized HTE approach: Step 1: Select variables that satisfy the backdoor criterion and potential effect modifiers; Step 2: Specify a flexible saturated model including potential confounders and effect modifiers; Step 3: Apply a selection method to reduce overfitting; Step 4: Predict potential outcomes under treatment and no treatment; Step 5: Contrast the potential outcomes for each individual; Step 6: Fit cluster modeling to identify potential effect modifiers; Step 7: Estimate subgroup CATEs. We illustrated the use of this approach using simulated and real data. Our generalized HTE approach successfully identified HTEs and subgroups defined by all effect modifiers using simulated and real data. Our study illustrates that it is feasible to use a step-by-step parametric and transparent data-adaptive approach to detect effect modifiers and identify meaningful HTEs in an observational setting. This approach should be more appealing to epidemiologists interested in explanation.</p>","PeriodicalId":22038,"journal":{"name":"Statistical Methods in Medical Research","volume":" ","pages":"648-662"},"PeriodicalIF":1.9000,"publicationDate":"2025-04-01","publicationTypes":"Journal Article","fieldsOfStudy":null,"isOpenAccess":false,"openAccessPdf":"https://www.ncbi.nlm.nih.gov/pmc/articles/PMC12075891/pdf/","citationCount":"0","resultStr":"{\"title\":\"Generalized framework for identifying meaningful heterogenous treatment effects in observational studies: A parametric data-adaptive G-computation approach.\",\"authors\":\"Roch A Nianogo, Stephen O'Neill, Kosuke Inoue\",\"doi\":\"10.1177/09622802251316969\",\"DOIUrl\":null,\"url\":null,\"abstract\":\"<p><p>There has been a renewed interest in identifying heterogenous treatment effects (HTEs) to guide personalized medicine. The objective was to illustrate the use of a step-by-step transparent parametric data-adaptive approach (the generalized HTE approach) based on the G-computation algorithm to detect heterogenous subgroups and estimate meaningful conditional average treatment effects (CATE). The following seven steps implement the generalized HTE approach: Step 1: Select variables that satisfy the backdoor criterion and potential effect modifiers; Step 2: Specify a flexible saturated model including potential confounders and effect modifiers; Step 3: Apply a selection method to reduce overfitting; Step 4: Predict potential outcomes under treatment and no treatment; Step 5: Contrast the potential outcomes for each individual; Step 6: Fit cluster modeling to identify potential effect modifiers; Step 7: Estimate subgroup CATEs. We illustrated the use of this approach using simulated and real data. Our generalized HTE approach successfully identified HTEs and subgroups defined by all effect modifiers using simulated and real data. Our study illustrates that it is feasible to use a step-by-step parametric and transparent data-adaptive approach to detect effect modifiers and identify meaningful HTEs in an observational setting. This approach should be more appealing to epidemiologists interested in explanation.</p>\",\"PeriodicalId\":22038,\"journal\":{\"name\":\"Statistical Methods in Medical Research\",\"volume\":\" \",\"pages\":\"648-662\"},\"PeriodicalIF\":1.9000,\"publicationDate\":\"2025-04-01\",\"publicationTypes\":\"Journal Article\",\"fieldsOfStudy\":null,\"isOpenAccess\":false,\"openAccessPdf\":\"https://www.ncbi.nlm.nih.gov/pmc/articles/PMC12075891/pdf/\",\"citationCount\":\"0\",\"resultStr\":null,\"platform\":\"Semanticscholar\",\"paperid\":null,\"PeriodicalName\":\"Statistical Methods in Medical Research\",\"FirstCategoryId\":\"3\",\"ListUrlMain\":\"https://doi.org/10.1177/09622802251316969\",\"RegionNum\":3,\"RegionCategory\":\"医学\",\"ArticlePicture\":[],\"TitleCN\":null,\"AbstractTextCN\":null,\"PMCID\":null,\"EPubDate\":\"2025/2/24 0:00:00\",\"PubModel\":\"Epub\",\"JCR\":\"Q3\",\"JCRName\":\"HEALTH CARE SCIENCES & SERVICES\",\"Score\":null,\"Total\":0}","platform":"Semanticscholar","paperid":null,"PeriodicalName":"Statistical Methods in Medical Research","FirstCategoryId":"3","ListUrlMain":"https://doi.org/10.1177/09622802251316969","RegionNum":3,"RegionCategory":"医学","ArticlePicture":[],"TitleCN":null,"AbstractTextCN":null,"PMCID":null,"EPubDate":"2025/2/24 0:00:00","PubModel":"Epub","JCR":"Q3","JCRName":"HEALTH CARE SCIENCES & SERVICES","Score":null,"Total":0}
引用次数: 0

摘要

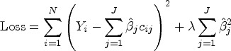
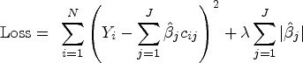
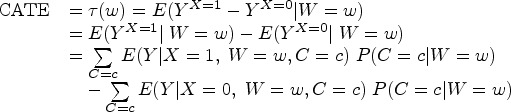
人们对识别异质性治疗效果(HTEs)以指导个性化医疗重新产生了兴趣。目的是说明使用基于g计算算法的一步一步透明参数数据自适应方法(广义HTE方法)来检测异质子组并估计有意义的条件平均治疗效果(CATE)。以下七个步骤实现广义HTE方法:步骤1:选择满足后门条件和潜在效应修饰符的变量;步骤2:指定一个灵活的饱和模型,包括潜在的混杂因素和效果调节器;步骤3:采用选择方法减少过拟合;步骤4:预测治疗和未治疗的潜在结果;第五步:对比每个个体的潜在结果;步骤6:拟合聚类建模,识别潜在的效应修饰因子;步骤7:估计子组CATEs。我们使用模拟和真实数据说明了这种方法的使用。我们的广义HTE方法使用模拟和真实数据成功地识别了由所有效果修饰符定义的HTE和子群。我们的研究表明,在观测环境中,使用一步一步的参数化和透明的数据自适应方法来检测效应修饰因子和识别有意义的hte是可行的。这种方法应该对对解释感兴趣的流行病学家更有吸引力。
本文章由计算机程序翻译,如有差异,请以英文原文为准。

Generalized framework for identifying meaningful heterogenous treatment effects in observational studies: A parametric data-adaptive G-computation approach.

Generalized framework for identifying meaningful heterogenous treatment effects in observational studies: A parametric data-adaptive G-computation approach.

Generalized framework for identifying meaningful heterogenous treatment effects in observational studies: A parametric data-adaptive G-computation approach.

Generalized framework for identifying meaningful heterogenous treatment effects in observational studies: A parametric data-adaptive G-computation approach.

There has been a renewed interest in identifying heterogenous treatment effects (HTEs) to guide personalized medicine. The objective was to illustrate the use of a step-by-step transparent parametric data-adaptive approach (the generalized HTE approach) based on the G-computation algorithm to detect heterogenous subgroups and estimate meaningful conditional average treatment effects (CATE). The following seven steps implement the generalized HTE approach: Step 1: Select variables that satisfy the backdoor criterion and potential effect modifiers; Step 2: Specify a flexible saturated model including potential confounders and effect modifiers; Step 3: Apply a selection method to reduce overfitting; Step 4: Predict potential outcomes under treatment and no treatment; Step 5: Contrast the potential outcomes for each individual; Step 6: Fit cluster modeling to identify potential effect modifiers; Step 7: Estimate subgroup CATEs. We illustrated the use of this approach using simulated and real data. Our generalized HTE approach successfully identified HTEs and subgroups defined by all effect modifiers using simulated and real data. Our study illustrates that it is feasible to use a step-by-step parametric and transparent data-adaptive approach to detect effect modifiers and identify meaningful HTEs in an observational setting. This approach should be more appealing to epidemiologists interested in explanation.

求助全文
通过发布文献求助,成功后即可免费获取论文全文。 去求助
来源期刊
Statistical Methods in Medical Research
Statistical Methods in Medical Research 医学-数学与计算生物学
CiteScore
4.10
自引率
4.30%
发文量
127
审稿时长
>12 weeks
期刊介绍: Statistical Methods in Medical Research is a peer reviewed scholarly journal and is the leading vehicle for articles in all the main areas of medical statistics and an essential reference for all medical statisticians. This unique journal is devoted solely to statistics and medicine and aims to keep professionals abreast of the many powerful statistical techniques now available to the medical profession. This journal is a member of the Committee on Publication Ethics (COPE)
×
引用
GB/T 7714-2015
复制
MLA
复制
APA
复制
导出至
BibTeX EndNote RefMan NoteFirst NoteExpress
×
提示
您的信息不完整,为了账户安全,请先补充。
现在去补充
×
提示
您因"违规操作"
具体请查看互助需知
我知道了
×
提示
确定
请完成安全验证×
copy
已复制链接
快去分享给好友吧!
我知道了
右上角分享
点击右上角分享
0
联系我们:info@booksci.cn Book学术提供免费学术资源搜索服务,方便国内外学者检索中英文文献。致力于提供最便捷和优质的服务体验。 Copyright © 2023 布克学术 All rights reserved.
京ICP备2023020795号-1
ghs 京公网安备 11010802042870号
Book学术文献互助
Book学术文献互助群
群 号:604180095
Book学术官方微信