鹿特丹评分和中性粒细胞与淋巴细胞比值预测中重度创伤性脑损伤患者预后的比较分析

IF 1.8 Q3 MEDICINE, RESEARCH & EXPERIMENTAL
European Journal of Translational Myology Pub Date : 2025-03-31 Epub Date: 2025-02-21 DOI:10.4081/ejtm.2025.13443
Hamidreza Aghadoost, Ghazaleh Salehabadi, Esmaeil Fakharian, Hanieh Jafari Mohammadabad
{"title":"鹿特丹评分和中性粒细胞与淋巴细胞比值预测中重度创伤性脑损伤患者预后的比较分析","authors":"Hamidreza Aghadoost, Ghazaleh Salehabadi, Esmaeil Fakharian, Hanieh Jafari Mohammadabad","doi":"10.4081/ejtm.2025.13443","DOIUrl":null,"url":null,"abstract":"<p><p>This study aimed to evaluate the role of NLR in predicting outcomes for patients with moderate to severe TBI. A retrospective analysis was conducted from April 2020 to April 2022, including patients aged 16 and older with Glasgow Coma Scale (GCS) scores of 8 or below admitted to Shahid Beheshti Hospital, Kashan. Data on NLR and other clinical markers were collected. Rotterdam scores were calculated using CT scan findings. Patients were followed up for six months post-trauma or until death, and associations between NLR and clinical outcomes were analyzed, with significance set at P < 0.05. Among 195 patients, 130 (66%) had unfavorable outcomes at six months. Admission NLR was significantly higher in patients with unfavorable outcomes compared to those with favorable outcomes (P < 0.001). Receiver operating characteristic analysis indicated that NLR had a sensitivity of 82% and specificity of 91% at a threshold of 5.2 for predicting unfavorable outcomes. Elevated admission NLR in patients with severe TBI was linked to unfavorable six-month functional outcomes and mortality. NLR may serve as a readily accessible clinical marker for prognostication in moderate to severe TBI.</p>","PeriodicalId":46459,"journal":{"name":"European Journal of Translational Myology","volume":" ","pages":""},"PeriodicalIF":1.8000,"publicationDate":"2025-03-31","publicationTypes":"Journal Article","fieldsOfStudy":null,"isOpenAccess":false,"openAccessPdf":"https://www.ncbi.nlm.nih.gov/pmc/articles/PMC12038562/pdf/","citationCount":"0","resultStr":"{\"title\":\"A comparative analysis of Rotterdam score and neutrophil-to-lymphocyte ratio in predicting outcomes for patients with moderate to severe traumatic brain injury.\",\"authors\":\"Hamidreza Aghadoost, Ghazaleh Salehabadi, Esmaeil Fakharian, Hanieh Jafari Mohammadabad\",\"doi\":\"10.4081/ejtm.2025.13443\",\"DOIUrl\":null,\"url\":null,\"abstract\":\"<p><p>This study aimed to evaluate the role of NLR in predicting outcomes for patients with moderate to severe TBI. A retrospective analysis was conducted from April 2020 to April 2022, including patients aged 16 and older with Glasgow Coma Scale (GCS) scores of 8 or below admitted to Shahid Beheshti Hospital, Kashan. Data on NLR and other clinical markers were collected. Rotterdam scores were calculated using CT scan findings. Patients were followed up for six months post-trauma or until death, and associations between NLR and clinical outcomes were analyzed, with significance set at P < 0.05. Among 195 patients, 130 (66%) had unfavorable outcomes at six months. Admission NLR was significantly higher in patients with unfavorable outcomes compared to those with favorable outcomes (P < 0.001). Receiver operating characteristic analysis indicated that NLR had a sensitivity of 82% and specificity of 91% at a threshold of 5.2 for predicting unfavorable outcomes. Elevated admission NLR in patients with severe TBI was linked to unfavorable six-month functional outcomes and mortality. NLR may serve as a readily accessible clinical marker for prognostication in moderate to severe TBI.</p>\",\"PeriodicalId\":46459,\"journal\":{\"name\":\"European Journal of Translational Myology\",\"volume\":\" \",\"pages\":\"\"},\"PeriodicalIF\":1.8000,\"publicationDate\":\"2025-03-31\",\"publicationTypes\":\"Journal Article\",\"fieldsOfStudy\":null,\"isOpenAccess\":false,\"openAccessPdf\":\"https://www.ncbi.nlm.nih.gov/pmc/articles/PMC12038562/pdf/\",\"citationCount\":\"0\",\"resultStr\":null,\"platform\":\"Semanticscholar\",\"paperid\":null,\"PeriodicalName\":\"European Journal of Translational Myology\",\"FirstCategoryId\":\"1085\",\"ListUrlMain\":\"https://doi.org/10.4081/ejtm.2025.13443\",\"RegionNum\":0,\"RegionCategory\":null,\"ArticlePicture\":[],\"TitleCN\":null,\"AbstractTextCN\":null,\"PMCID\":null,\"EPubDate\":\"2025/2/21 0:00:00\",\"PubModel\":\"Epub\",\"JCR\":\"Q3\",\"JCRName\":\"MEDICINE, RESEARCH & EXPERIMENTAL\",\"Score\":null,\"Total\":0}","platform":"Semanticscholar","paperid":null,"PeriodicalName":"European Journal of Translational Myology","FirstCategoryId":"1085","ListUrlMain":"https://doi.org/10.4081/ejtm.2025.13443","RegionNum":0,"RegionCategory":null,"ArticlePicture":[],"TitleCN":null,"AbstractTextCN":null,"PMCID":null,"EPubDate":"2025/2/21 0:00:00","PubModel":"Epub","JCR":"Q3","JCRName":"MEDICINE, RESEARCH & EXPERIMENTAL","Score":null,"Total":0}
引用次数: 0

摘要

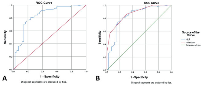
本研究旨在评估NLR在预测中重度TBI患者预后中的作用。回顾性分析了2020年4月至2022年4月期间在卡尚Shahid Beheshti医院住院的16岁及以上格拉斯哥昏迷量表(GCS)评分为8分或以下的患者。收集NLR及其他临床指标数据。鹿特丹评分采用CT扫描结果计算。患者在创伤后随访6个月或至死亡,分析NLR与临床结果的相关性,P < 0.05为显著性。在195例患者中,130例(66%)在6个月时出现不良结果。预后不良的患者入院NLR明显高于预后良好的患者(P < 0.001)。受试者工作特征分析表明,NLR预测不良预后的敏感性为82%,特异性为91%,阈值为5.2。严重TBI患者入院NLR升高与不利的6个月功能结局和死亡率有关。NLR可作为中重度脑外伤患者预后的临床指标。
本文章由计算机程序翻译,如有差异,请以英文原文为准。

A comparative analysis of Rotterdam score and neutrophil-to-lymphocyte ratio in predicting outcomes for patients with moderate to severe traumatic brain injury.

A comparative analysis of Rotterdam score and neutrophil-to-lymphocyte ratio in predicting outcomes for patients with moderate to severe traumatic brain injury.

A comparative analysis of Rotterdam score and neutrophil-to-lymphocyte ratio in predicting outcomes for patients with moderate to severe traumatic brain injury.

A comparative analysis of Rotterdam score and neutrophil-to-lymphocyte ratio in predicting outcomes for patients with moderate to severe traumatic brain injury.

This study aimed to evaluate the role of NLR in predicting outcomes for patients with moderate to severe TBI. A retrospective analysis was conducted from April 2020 to April 2022, including patients aged 16 and older with Glasgow Coma Scale (GCS) scores of 8 or below admitted to Shahid Beheshti Hospital, Kashan. Data on NLR and other clinical markers were collected. Rotterdam scores were calculated using CT scan findings. Patients were followed up for six months post-trauma or until death, and associations between NLR and clinical outcomes were analyzed, with significance set at P < 0.05. Among 195 patients, 130 (66%) had unfavorable outcomes at six months. Admission NLR was significantly higher in patients with unfavorable outcomes compared to those with favorable outcomes (P < 0.001). Receiver operating characteristic analysis indicated that NLR had a sensitivity of 82% and specificity of 91% at a threshold of 5.2 for predicting unfavorable outcomes. Elevated admission NLR in patients with severe TBI was linked to unfavorable six-month functional outcomes and mortality. NLR may serve as a readily accessible clinical marker for prognostication in moderate to severe TBI.

求助全文
通过发布文献求助,成功后即可免费获取论文全文。 去求助
来源期刊
European Journal of Translational Myology
European Journal of Translational Myology MEDICINE, RESEARCH & EXPERIMENTAL-
CiteScore
3.30
自引率
27.30%
发文量
74
审稿时长
10 weeks
×
引用
GB/T 7714-2015
复制
MLA
复制
APA
复制
导出至
BibTeX EndNote RefMan NoteFirst NoteExpress
×
提示
您的信息不完整,为了账户安全,请先补充。
现在去补充
×
提示
您因"违规操作"
具体请查看互助需知
我知道了
×
提示
确定
请完成安全验证×
copy
已复制链接
快去分享给好友吧!
我知道了
右上角分享
点击右上角分享
0
联系我们:info@booksci.cn Book学术提供免费学术资源搜索服务,方便国内外学者检索中英文文献。致力于提供最便捷和优质的服务体验。 Copyright © 2023 布克学术 All rights reserved.
京ICP备2023020795号-1
ghs 京公网安备 11010802042870号
Book学术文献互助
Book学术文献互助群
群 号:604180095
Book学术官方微信