淋巴细胞亚群预测急性百草枯中毒的死亡率。

0 MEDICINE, RESEARCH & EXPERIMENTAL
Qian Dong, Huan Xu, Pengjie Xu, Jiang Liu
{"title":"淋巴细胞亚群预测急性百草枯中毒的死亡率。","authors":"Qian Dong, Huan Xu, Pengjie Xu, Jiang Liu","doi":"10.17305/bb.2025.11891","DOIUrl":null,"url":null,"abstract":"<p><p>Paraquat (PQ) is a highly effective herbicide widely used in agricultural production, known for its strong herbicidal power, rapid action, and minimal environmental pollution. However, it is also highly toxic to humans and animals, with acute lung injury (ALI) being the primary cause of death. While the toxic mechanisms of PQ have been studied from various perspectives, its effects on lymphocytes and their subsets remain unclear. This study aimed to explore the relationship between lymphocyte dysfunction and mortality in acute PQ poisoning. A total of 92 patients with PQ poisoning who visited the emergency department of The Affiliated Lihuili Hospital of Ningbo University between January 1, 2016, and September 30, 2021, were included. Basic demographic and laboratory data within 24 h of admission were collected. Peripheral blood lymphocyte subsets were analyzed using flow cytometry. To identify independent risk factors for mortality, patients were followed up for 90 days. COX proportional hazards models and LASSO regression were applied to screen for predictive variables and develop a predictive model. All participants provided informed consent, and the study was approved by the relevant ethics committee. Among the 92 patients, 36 died. Compared with the survival group, the death group showed significantly higher white blood cell and neutrophil counts, lymphocyte counts, and CD4+/CD8+ T cell ratios, while the percentage of natural killer (NK) cells was significantly lower (P < 0.001). COX regression analysis identified these factors as independent risk factors for mortality: lymphocyte count: hazard ratio (HR) = 1.59; 95% confidence interval (CI), 1.02-2.47; P = 0.04 neutrophil count: HR = 1.12; 95% CI, 1.06-1.18; P = 0.04 CD4+/CD8+ T cell ratio: HR = 2.01; 95% CI, 1.03-3.92; P = 0.04 NK cell percentage: HR = 0.88; 95% CI, 0.82-0.95; P = 0.002. These findings suggest that lymphocyte count, neutrophil count, CD4+/CD8+ T cell ratio, and NK cell percentage are all associated with mortality in PQ poisoning cases.</p>","PeriodicalId":72398,"journal":{"name":"Biomolecules & biomedicine","volume":" ","pages":"2058-2066"},"PeriodicalIF":0.0000,"publicationDate":"2025-08-05","publicationTypes":"Journal Article","fieldsOfStudy":null,"isOpenAccess":false,"openAccessPdf":"https://www.ncbi.nlm.nih.gov/pmc/articles/PMC12450086/pdf/","citationCount":"0","resultStr":"{\"title\":\"Lymphocyte subsets predict mortality in acute paraquat poisoning.\",\"authors\":\"Qian Dong, Huan Xu, Pengjie Xu, Jiang Liu\",\"doi\":\"10.17305/bb.2025.11891\",\"DOIUrl\":null,\"url\":null,\"abstract\":\"<p><p>Paraquat (PQ) is a highly effective herbicide widely used in agricultural production, known for its strong herbicidal power, rapid action, and minimal environmental pollution. However, it is also highly toxic to humans and animals, with acute lung injury (ALI) being the primary cause of death. While the toxic mechanisms of PQ have been studied from various perspectives, its effects on lymphocytes and their subsets remain unclear. This study aimed to explore the relationship between lymphocyte dysfunction and mortality in acute PQ poisoning. A total of 92 patients with PQ poisoning who visited the emergency department of The Affiliated Lihuili Hospital of Ningbo University between January 1, 2016, and September 30, 2021, were included. Basic demographic and laboratory data within 24 h of admission were collected. Peripheral blood lymphocyte subsets were analyzed using flow cytometry. To identify independent risk factors for mortality, patients were followed up for 90 days. COX proportional hazards models and LASSO regression were applied to screen for predictive variables and develop a predictive model. All participants provided informed consent, and the study was approved by the relevant ethics committee. Among the 92 patients, 36 died. Compared with the survival group, the death group showed significantly higher white blood cell and neutrophil counts, lymphocyte counts, and CD4+/CD8+ T cell ratios, while the percentage of natural killer (NK) cells was significantly lower (P < 0.001). COX regression analysis identified these factors as independent risk factors for mortality: lymphocyte count: hazard ratio (HR) = 1.59; 95% confidence interval (CI), 1.02-2.47; P = 0.04 neutrophil count: HR = 1.12; 95% CI, 1.06-1.18; P = 0.04 CD4+/CD8+ T cell ratio: HR = 2.01; 95% CI, 1.03-3.92; P = 0.04 NK cell percentage: HR = 0.88; 95% CI, 0.82-0.95; P = 0.002. These findings suggest that lymphocyte count, neutrophil count, CD4+/CD8+ T cell ratio, and NK cell percentage are all associated with mortality in PQ poisoning cases.</p>\",\"PeriodicalId\":72398,\"journal\":{\"name\":\"Biomolecules & biomedicine\",\"volume\":\" \",\"pages\":\"2058-2066\"},\"PeriodicalIF\":0.0000,\"publicationDate\":\"2025-08-05\",\"publicationTypes\":\"Journal Article\",\"fieldsOfStudy\":null,\"isOpenAccess\":false,\"openAccessPdf\":\"https://www.ncbi.nlm.nih.gov/pmc/articles/PMC12450086/pdf/\",\"citationCount\":\"0\",\"resultStr\":null,\"platform\":\"Semanticscholar\",\"paperid\":null,\"PeriodicalName\":\"Biomolecules & biomedicine\",\"FirstCategoryId\":\"1085\",\"ListUrlMain\":\"https://doi.org/10.17305/bb.2025.11891\",\"RegionNum\":0,\"RegionCategory\":null,\"ArticlePicture\":[],\"TitleCN\":null,\"AbstractTextCN\":null,\"PMCID\":null,\"EPubDate\":\"\",\"PubModel\":\"\",\"JCR\":\"0\",\"JCRName\":\"MEDICINE, RESEARCH & EXPERIMENTAL\",\"Score\":null,\"Total\":0}","platform":"Semanticscholar","paperid":null,"PeriodicalName":"Biomolecules & biomedicine","FirstCategoryId":"1085","ListUrlMain":"https://doi.org/10.17305/bb.2025.11891","RegionNum":0,"RegionCategory":null,"ArticlePicture":[],"TitleCN":null,"AbstractTextCN":null,"PMCID":null,"EPubDate":"","PubModel":"","JCR":"0","JCRName":"MEDICINE, RESEARCH & EXPERIMENTAL","Score":null,"Total":0}
引用次数: 0

摘要

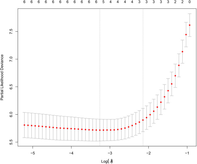
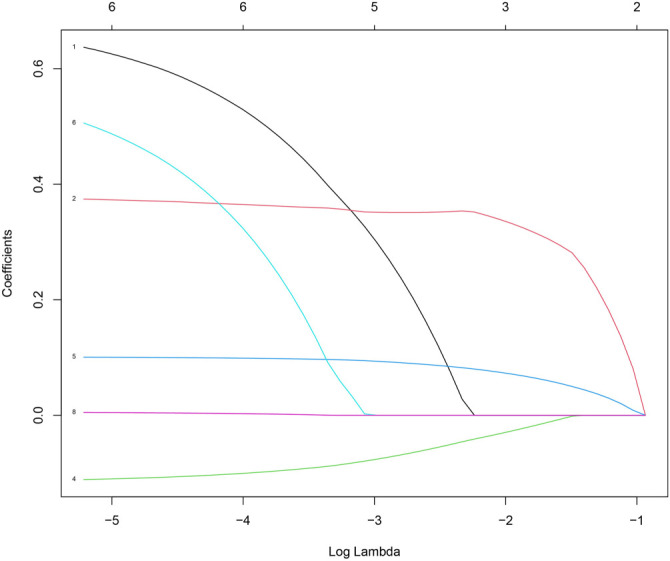
百草枯是一种广泛应用于农业生产的高效除草剂,具有除草力强、见效快、对环境污染小等优点。然而,它对人类和动物也有很高的毒性,急性肺损伤(ALI)是死亡的主要原因。虽然PQ的毒性机制已经从不同的角度进行了研究,但其对淋巴细胞及其亚群的影响尚不清楚。本研究旨在探讨急性PQ中毒患者淋巴细胞功能障碍与死亡率的关系。选取2016年1月1日至2021年9月30日在宁波大学附属丽丽医院急诊科就诊的92例PQ中毒患者。入院24小时内收集基本人口学和实验室数据。用流式细胞术分析外周血淋巴细胞亚群。为了确定死亡的独立危险因素,对患者进行了90天的随访。采用COX比例风险模型和LASSO回归筛选预测变量,建立预测模型。所有受试者均提供知情同意,本研究经相关伦理委员会批准。92名患者中,36人死亡。与生存组比较,死亡组白细胞、中性粒细胞计数、淋巴细胞计数、CD4+/CD8+ T细胞比值显著升高,自然杀伤细胞(NK)百分比显著降低(P < 0.001)。COX回归分析确定这些因素为死亡率的独立危险因素:淋巴细胞计数:危险比(HR) = 1.59;95%置信区间(CI), 1.02-2.47;中性粒细胞计数:HR = 1.12;95% ci, 1.06-1.18;P = 0.04 CD4+/CD8+ T细胞比值:HR = 2.01;95% ci, 1.03-3.92;NK细胞百分比:HR = 0.88;95% ci, 0.82-0.95;P = 0.002。上述结果提示,淋巴细胞计数、中性粒细胞计数、CD4+/CD8+ T细胞比值和NK细胞百分比均与PQ中毒病例的死亡率相关。
本文章由计算机程序翻译,如有差异,请以英文原文为准。

Lymphocyte subsets predict mortality in acute paraquat poisoning.

Lymphocyte subsets predict mortality in acute paraquat poisoning.

Lymphocyte subsets predict mortality in acute paraquat poisoning.

Lymphocyte subsets predict mortality in acute paraquat poisoning.

Paraquat (PQ) is a highly effective herbicide widely used in agricultural production, known for its strong herbicidal power, rapid action, and minimal environmental pollution. However, it is also highly toxic to humans and animals, with acute lung injury (ALI) being the primary cause of death. While the toxic mechanisms of PQ have been studied from various perspectives, its effects on lymphocytes and their subsets remain unclear. This study aimed to explore the relationship between lymphocyte dysfunction and mortality in acute PQ poisoning. A total of 92 patients with PQ poisoning who visited the emergency department of The Affiliated Lihuili Hospital of Ningbo University between January 1, 2016, and September 30, 2021, were included. Basic demographic and laboratory data within 24 h of admission were collected. Peripheral blood lymphocyte subsets were analyzed using flow cytometry. To identify independent risk factors for mortality, patients were followed up for 90 days. COX proportional hazards models and LASSO regression were applied to screen for predictive variables and develop a predictive model. All participants provided informed consent, and the study was approved by the relevant ethics committee. Among the 92 patients, 36 died. Compared with the survival group, the death group showed significantly higher white blood cell and neutrophil counts, lymphocyte counts, and CD4+/CD8+ T cell ratios, while the percentage of natural killer (NK) cells was significantly lower (P < 0.001). COX regression analysis identified these factors as independent risk factors for mortality: lymphocyte count: hazard ratio (HR) = 1.59; 95% confidence interval (CI), 1.02-2.47; P = 0.04 neutrophil count: HR = 1.12; 95% CI, 1.06-1.18; P = 0.04 CD4+/CD8+ T cell ratio: HR = 2.01; 95% CI, 1.03-3.92; P = 0.04 NK cell percentage: HR = 0.88; 95% CI, 0.82-0.95; P = 0.002. These findings suggest that lymphocyte count, neutrophil count, CD4+/CD8+ T cell ratio, and NK cell percentage are all associated with mortality in PQ poisoning cases.

求助全文
通过发布文献求助,成功后即可免费获取论文全文。 去求助
来源期刊
CiteScore
1.10
自引率
0.00%
发文量
0
×
引用
GB/T 7714-2015
复制
MLA
复制
APA
复制
导出至
BibTeX EndNote RefMan NoteFirst NoteExpress
×
提示
您的信息不完整,为了账户安全,请先补充。
现在去补充
×
提示
您因"违规操作"
具体请查看互助需知
我知道了
×
提示
确定
请完成安全验证×
copy
已复制链接
快去分享给好友吧!
我知道了
右上角分享
点击右上角分享
0
联系我们:info@booksci.cn Book学术提供免费学术资源搜索服务,方便国内外学者检索中英文文献。致力于提供最便捷和优质的服务体验。 Copyright © 2023 布克学术 All rights reserved.
京ICP备2023020795号-1
ghs 京公网安备 11010802042870号
Book学术文献互助
Book学术文献互助群
群 号:604180095
Book学术官方微信