术前检测外周血系统免疫炎症指数(SII)作为胆囊癌早期诊断和预后的工具。

IF 2.7 4区 医学 Q3 IMMUNOLOGY
Feng Liu, Pengyu Yin, Baoping Jiao, Zhiyong Shi, Feifei Qiao, Jun Xu
{"title":"术前检测外周血系统免疫炎症指数(SII)作为胆囊癌早期诊断和预后的工具。","authors":"Feng Liu, Pengyu Yin, Baoping Jiao, Zhiyong Shi, Feifei Qiao, Jun Xu","doi":"10.1186/s12865-025-00683-x","DOIUrl":null,"url":null,"abstract":"<p><strong>Objective: </strong>Evidence indicates that the systemic immune-inflammation index (SII) correlates with poor prognosis in various solid tumors. This retrospective study aimed to evaluate the diagnostic and prognostic significance of preoperative SII combined with tumor markers for early detection and prognosis of gallbladder cancer (GBC).</p><p><strong>Methods: </strong>Preoperative SII levels and serum tumor markers [carcinoembryonic antigen (CEA), carbohydrate antigen 125 (CA125), and carbohydrate antigen 19 - 9 (CA19-9)] were measured in GBC patients. Correlations and diagnostic efficacy were analyzed using Spearman correlation and receiver operating characteristic (ROC) curve analyses. The relationship between SII and clinical data was analyzed, and cumulative survival rates of the two groups were compared. Independent risk factors for poor prognosis in GBC patients were assessed using Kaplan-Meier curves and Cox multivariate analysis.</p><p><strong>Results: </strong>Preoperative SII, CEA, CA125, and CA19-9 levels were significantly elevated in GBC patients compared to those with benign lesions. SII positively correlated with CEA, CA125, and CA19-9 levels (r = 0.434, 0.570, 0.614, respectively, all P < 0.001). The area under the ROC curve (AUC) for the combination of SII, CEA, CA125, and CA19-9 was 0.877 for early GBC diagnosis and 0.923 for predicting postoperative mortality, outperforming each marker individually. An SII threshold > 889.52 was predictive of postoperative death. High SII was associated with tumor size, differentiation, tumor-node-metastasis stage, lymph node metastasis, perineural invasion, surgical type, neutrophil-to-lymphocyte ratio, platelet-to-lymphocyte ratio, and serum tumor marker levels. Kaplan-Meier analysis revealed poorer survival in the high SII group. Preoperative SII was identified as an IRF for poor prognosis in GBC patients.</p><p><strong>Conclusion: </strong>Preoperative SII correlates strongly with CEA, CA125, and CA19-9 levels. The combined use of SII and tumor markers offers high diagnostic value for early GBC detection and robust predictive value for postoperative mortality. Preoperative SII serves as an IRF for poor prognosis in GBC patients.</p>","PeriodicalId":9040,"journal":{"name":"BMC Immunology","volume":"26 1","pages":"7"},"PeriodicalIF":2.7000,"publicationDate":"2025-02-18","publicationTypes":"Journal Article","fieldsOfStudy":null,"isOpenAccess":false,"openAccessPdf":"https://www.ncbi.nlm.nih.gov/pmc/articles/PMC11834489/pdf/","citationCount":"0","resultStr":"{\"title\":\"Detecting the preoperative peripheral blood systemic immune-inflammation index (SII) as a tool for early diagnosis and prognosis of gallbladder cancer.\",\"authors\":\"Feng Liu, Pengyu Yin, Baoping Jiao, Zhiyong Shi, Feifei Qiao, Jun Xu\",\"doi\":\"10.1186/s12865-025-00683-x\",\"DOIUrl\":null,\"url\":null,\"abstract\":\"<p><strong>Objective: </strong>Evidence indicates that the systemic immune-inflammation index (SII) correlates with poor prognosis in various solid tumors. This retrospective study aimed to evaluate the diagnostic and prognostic significance of preoperative SII combined with tumor markers for early detection and prognosis of gallbladder cancer (GBC).</p><p><strong>Methods: </strong>Preoperative SII levels and serum tumor markers [carcinoembryonic antigen (CEA), carbohydrate antigen 125 (CA125), and carbohydrate antigen 19 - 9 (CA19-9)] were measured in GBC patients. Correlations and diagnostic efficacy were analyzed using Spearman correlation and receiver operating characteristic (ROC) curve analyses. The relationship between SII and clinical data was analyzed, and cumulative survival rates of the two groups were compared. Independent risk factors for poor prognosis in GBC patients were assessed using Kaplan-Meier curves and Cox multivariate analysis.</p><p><strong>Results: </strong>Preoperative SII, CEA, CA125, and CA19-9 levels were significantly elevated in GBC patients compared to those with benign lesions. SII positively correlated with CEA, CA125, and CA19-9 levels (r = 0.434, 0.570, 0.614, respectively, all P < 0.001). The area under the ROC curve (AUC) for the combination of SII, CEA, CA125, and CA19-9 was 0.877 for early GBC diagnosis and 0.923 for predicting postoperative mortality, outperforming each marker individually. An SII threshold > 889.52 was predictive of postoperative death. High SII was associated with tumor size, differentiation, tumor-node-metastasis stage, lymph node metastasis, perineural invasion, surgical type, neutrophil-to-lymphocyte ratio, platelet-to-lymphocyte ratio, and serum tumor marker levels. Kaplan-Meier analysis revealed poorer survival in the high SII group. Preoperative SII was identified as an IRF for poor prognosis in GBC patients.</p><p><strong>Conclusion: </strong>Preoperative SII correlates strongly with CEA, CA125, and CA19-9 levels. The combined use of SII and tumor markers offers high diagnostic value for early GBC detection and robust predictive value for postoperative mortality. Preoperative SII serves as an IRF for poor prognosis in GBC patients.</p>\",\"PeriodicalId\":9040,\"journal\":{\"name\":\"BMC Immunology\",\"volume\":\"26 1\",\"pages\":\"7\"},\"PeriodicalIF\":2.7000,\"publicationDate\":\"2025-02-18\",\"publicationTypes\":\"Journal Article\",\"fieldsOfStudy\":null,\"isOpenAccess\":false,\"openAccessPdf\":\"https://www.ncbi.nlm.nih.gov/pmc/articles/PMC11834489/pdf/\",\"citationCount\":\"0\",\"resultStr\":null,\"platform\":\"Semanticscholar\",\"paperid\":null,\"PeriodicalName\":\"BMC Immunology\",\"FirstCategoryId\":\"3\",\"ListUrlMain\":\"https://doi.org/10.1186/s12865-025-00683-x\",\"RegionNum\":4,\"RegionCategory\":\"医学\",\"ArticlePicture\":[],\"TitleCN\":null,\"AbstractTextCN\":null,\"PMCID\":null,\"EPubDate\":\"\",\"PubModel\":\"\",\"JCR\":\"Q3\",\"JCRName\":\"IMMUNOLOGY\",\"Score\":null,\"Total\":0}","platform":"Semanticscholar","paperid":null,"PeriodicalName":"BMC Immunology","FirstCategoryId":"3","ListUrlMain":"https://doi.org/10.1186/s12865-025-00683-x","RegionNum":4,"RegionCategory":"医学","ArticlePicture":[],"TitleCN":null,"AbstractTextCN":null,"PMCID":null,"EPubDate":"","PubModel":"","JCR":"Q3","JCRName":"IMMUNOLOGY","Score":null,"Total":0}
引用次数: 0

摘要

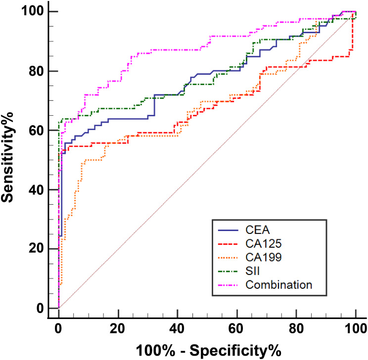
目的:有证据表明,全身免疫炎症指数(SII)与多种实体肿瘤的不良预后相关。本回顾性研究旨在探讨术前SII联合肿瘤标志物对胆囊癌(GBC)早期发现及预后的诊断及预后意义。方法:测定GBC患者术前SII水平及血清肿瘤标志物[癌胚抗原(CEA)、碳水化合物抗原125 (CA125)、碳水化合物抗原19-9 (CA19-9)]。采用Spearman相关和受试者工作特征(ROC)曲线分析相关性和诊断效能。分析SII与临床资料的关系,并比较两组患者的累计生存率。采用Kaplan-Meier曲线和Cox多因素分析评估GBC患者预后不良的独立危险因素。结果:GBC患者术前SII、CEA、CA125、CA19-9水平明显高于良性病变患者。SII与CEA、CA125、CA19-9呈正相关(r分别为0.434、0.570、0.614),P均为889.52,均可预测术后死亡。高SII与肿瘤大小、分化、肿瘤淋巴结转移分期、淋巴结转移、神经周围浸润、手术类型、中性粒细胞与淋巴细胞比值、血小板与淋巴细胞比值以及血清肿瘤标志物水平相关。Kaplan-Meier分析显示高SII组的生存率较低。术前SII被确定为GBC患者预后不良的IRF。结论:术前SII与CEA、CA125、CA19-9水平密切相关。联合使用SII和肿瘤标志物对早期GBC检测有很高的诊断价值,对术后死亡率有很强的预测价值。术前SII可作为GBC患者预后不良的IRF指标。
本文章由计算机程序翻译,如有差异,请以英文原文为准。

Detecting the preoperative peripheral blood systemic immune-inflammation index (SII) as a tool for early diagnosis and prognosis of gallbladder cancer.

Detecting the preoperative peripheral blood systemic immune-inflammation index (SII) as a tool for early diagnosis and prognosis of gallbladder cancer.

Detecting the preoperative peripheral blood systemic immune-inflammation index (SII) as a tool for early diagnosis and prognosis of gallbladder cancer.

Detecting the preoperative peripheral blood systemic immune-inflammation index (SII) as a tool for early diagnosis and prognosis of gallbladder cancer.

Objective: Evidence indicates that the systemic immune-inflammation index (SII) correlates with poor prognosis in various solid tumors. This retrospective study aimed to evaluate the diagnostic and prognostic significance of preoperative SII combined with tumor markers for early detection and prognosis of gallbladder cancer (GBC).

Methods: Preoperative SII levels and serum tumor markers [carcinoembryonic antigen (CEA), carbohydrate antigen 125 (CA125), and carbohydrate antigen 19 - 9 (CA19-9)] were measured in GBC patients. Correlations and diagnostic efficacy were analyzed using Spearman correlation and receiver operating characteristic (ROC) curve analyses. The relationship between SII and clinical data was analyzed, and cumulative survival rates of the two groups were compared. Independent risk factors for poor prognosis in GBC patients were assessed using Kaplan-Meier curves and Cox multivariate analysis.

Results: Preoperative SII, CEA, CA125, and CA19-9 levels were significantly elevated in GBC patients compared to those with benign lesions. SII positively correlated with CEA, CA125, and CA19-9 levels (r = 0.434, 0.570, 0.614, respectively, all P < 0.001). The area under the ROC curve (AUC) for the combination of SII, CEA, CA125, and CA19-9 was 0.877 for early GBC diagnosis and 0.923 for predicting postoperative mortality, outperforming each marker individually. An SII threshold > 889.52 was predictive of postoperative death. High SII was associated with tumor size, differentiation, tumor-node-metastasis stage, lymph node metastasis, perineural invasion, surgical type, neutrophil-to-lymphocyte ratio, platelet-to-lymphocyte ratio, and serum tumor marker levels. Kaplan-Meier analysis revealed poorer survival in the high SII group. Preoperative SII was identified as an IRF for poor prognosis in GBC patients.

Conclusion: Preoperative SII correlates strongly with CEA, CA125, and CA19-9 levels. The combined use of SII and tumor markers offers high diagnostic value for early GBC detection and robust predictive value for postoperative mortality. Preoperative SII serves as an IRF for poor prognosis in GBC patients.

求助全文
通过发布文献求助,成功后即可免费获取论文全文。 去求助
来源期刊
BMC Immunology
BMC Immunology 医学-免疫学
CiteScore
5.50
自引率
0.00%
发文量
54
审稿时长
1 months
期刊介绍: BMC Immunology is an open access journal publishing original peer-reviewed research articles in molecular, cellular, tissue-level, organismal, functional, and developmental aspects of the immune system as well as clinical studies and animal models of human diseases.
×
引用
GB/T 7714-2015
复制
MLA
复制
APA
复制
导出至
BibTeX EndNote RefMan NoteFirst NoteExpress
×
提示
您的信息不完整,为了账户安全,请先补充。
现在去补充
×
提示
您因"违规操作"
具体请查看互助需知
我知道了
×
提示
确定
请完成安全验证×
copy
已复制链接
快去分享给好友吧!
我知道了
右上角分享
点击右上角分享
0
联系我们:info@booksci.cn Book学术提供免费学术资源搜索服务,方便国内外学者检索中英文文献。致力于提供最便捷和优质的服务体验。 Copyright © 2023 布克学术 All rights reserved.
京ICP备2023020795号-1
ghs 京公网安备 11010802042870号
Book学术文献互助
Book学术文献互助群
群 号:604180095
Book学术官方微信