新出现的抗高血压疗法与心血管、肾脏和代谢结果:一项孟德尔随机研究。

IF 6.1 1区 医学 Q1 CARDIAC & CARDIOVASCULAR SYSTEMS
Nhu Ngoc Le, Tran Quoc Bao Tran, John McClure, Dipender Gill, Sandosh Padmanabhan
{"title":"新出现的抗高血压疗法与心血管、肾脏和代谢结果:一项孟德尔随机研究。","authors":"Nhu Ngoc Le, Tran Quoc Bao Tran, John McClure, Dipender Gill, Sandosh Padmanabhan","doi":"10.1093/ehjcvp/pvaf015","DOIUrl":null,"url":null,"abstract":"<p><strong>Aims: </strong>Emerging antihypertensive drug classes offer new opportunities to manage hypertension; however, their long-term effects on cardiovascular, kidney, and metabolic (CKM) outcomes remain to be elucidated. This study aims to explore the effects of phosphodiesterase type 5 inhibitors (PDE5i), soluble guanylate cyclase stimulators (sGCs), endothelin receptor antagonists (ERAs), and angiotensinogen inhibitors (AGTis) on a range of CKM outcomes.</p><p><strong>Methods and results: </strong>Mendelian randomization (MR), summary-based MR (SMR), and colocalization analyses were applied to assess the drug effect on coronary artery disease (CAD), myocardial infarction (MI), ischaemic stroke, atrial fibrillation (AF), heart failure (HF), type 2 diabetes (T2D), and chronic kidney disease (CKD). Genetic association and gene expression summary data were obtained from the largest European-ancestry genome-wide association studies (GWAS) and the genotype-tissue expression version 8 for 29 tissues relevant to the outcomes' pathophysiology.Genetically predicted systolic blood pressure (SBP) reduction was associated with reduced risks of all outcomes. PDE5i was associated with reduced risks of CAD (OR per 10-mmHg decrease in SBP: 0.348[95% confidence interval (CI): 0.199-0.607]) and ischaemic stroke (0.588[0.453-0.763]). sGCs showed protective effects against CAD (0.332[0.236-0.469]), MI (0.238[0.168-0.337]), and CKD (0.55[0.398-0.761]). ERA and AGTi showed protective effects against CAD and ischaemic stroke. SMR and colocalization supported the association of gene expression levels of GUCY1A3 and PDE5A with CAD and MI risk.</p><p><strong>Conclusion: </strong>Our study highlights the potential of PDE5i, sGCs, ERA, and AGTi in reducing cardiovascular and renal risks. These findings underscore the necessity for targeted clinical trials to validate the efficacy and safety of these therapies.</p>","PeriodicalId":11982,"journal":{"name":"European Heart Journal - Cardiovascular Pharmacotherapy","volume":" ","pages":"264-274"},"PeriodicalIF":6.1000,"publicationDate":"2025-05-02","publicationTypes":"Journal Article","fieldsOfStudy":null,"isOpenAccess":false,"openAccessPdf":"https://www.ncbi.nlm.nih.gov/pmc/articles/PMC12046581/pdf/","citationCount":"0","resultStr":"{\"title\":\"Emerging antihypertensive therapies and cardiovascular, kidney, and metabolic outcomes: a Mendelian randomization study.\",\"authors\":\"Nhu Ngoc Le, Tran Quoc Bao Tran, John McClure, Dipender Gill, Sandosh Padmanabhan\",\"doi\":\"10.1093/ehjcvp/pvaf015\",\"DOIUrl\":null,\"url\":null,\"abstract\":\"<p><strong>Aims: </strong>Emerging antihypertensive drug classes offer new opportunities to manage hypertension; however, their long-term effects on cardiovascular, kidney, and metabolic (CKM) outcomes remain to be elucidated. This study aims to explore the effects of phosphodiesterase type 5 inhibitors (PDE5i), soluble guanylate cyclase stimulators (sGCs), endothelin receptor antagonists (ERAs), and angiotensinogen inhibitors (AGTis) on a range of CKM outcomes.</p><p><strong>Methods and results: </strong>Mendelian randomization (MR), summary-based MR (SMR), and colocalization analyses were applied to assess the drug effect on coronary artery disease (CAD), myocardial infarction (MI), ischaemic stroke, atrial fibrillation (AF), heart failure (HF), type 2 diabetes (T2D), and chronic kidney disease (CKD). Genetic association and gene expression summary data were obtained from the largest European-ancestry genome-wide association studies (GWAS) and the genotype-tissue expression version 8 for 29 tissues relevant to the outcomes' pathophysiology.Genetically predicted systolic blood pressure (SBP) reduction was associated with reduced risks of all outcomes. PDE5i was associated with reduced risks of CAD (OR per 10-mmHg decrease in SBP: 0.348[95% confidence interval (CI): 0.199-0.607]) and ischaemic stroke (0.588[0.453-0.763]). sGCs showed protective effects against CAD (0.332[0.236-0.469]), MI (0.238[0.168-0.337]), and CKD (0.55[0.398-0.761]). ERA and AGTi showed protective effects against CAD and ischaemic stroke. SMR and colocalization supported the association of gene expression levels of GUCY1A3 and PDE5A with CAD and MI risk.</p><p><strong>Conclusion: </strong>Our study highlights the potential of PDE5i, sGCs, ERA, and AGTi in reducing cardiovascular and renal risks. These findings underscore the necessity for targeted clinical trials to validate the efficacy and safety of these therapies.</p>\",\"PeriodicalId\":11982,\"journal\":{\"name\":\"European Heart Journal - Cardiovascular Pharmacotherapy\",\"volume\":\" \",\"pages\":\"264-274\"},\"PeriodicalIF\":6.1000,\"publicationDate\":\"2025-05-02\",\"publicationTypes\":\"Journal Article\",\"fieldsOfStudy\":null,\"isOpenAccess\":false,\"openAccessPdf\":\"https://www.ncbi.nlm.nih.gov/pmc/articles/PMC12046581/pdf/\",\"citationCount\":\"0\",\"resultStr\":null,\"platform\":\"Semanticscholar\",\"paperid\":null,\"PeriodicalName\":\"European Heart Journal - Cardiovascular Pharmacotherapy\",\"FirstCategoryId\":\"3\",\"ListUrlMain\":\"https://doi.org/10.1093/ehjcvp/pvaf015\",\"RegionNum\":1,\"RegionCategory\":\"医学\",\"ArticlePicture\":[],\"TitleCN\":null,\"AbstractTextCN\":null,\"PMCID\":null,\"EPubDate\":\"\",\"PubModel\":\"\",\"JCR\":\"Q1\",\"JCRName\":\"CARDIAC & CARDIOVASCULAR SYSTEMS\",\"Score\":null,\"Total\":0}","platform":"Semanticscholar","paperid":null,"PeriodicalName":"European Heart Journal - Cardiovascular Pharmacotherapy","FirstCategoryId":"3","ListUrlMain":"https://doi.org/10.1093/ehjcvp/pvaf015","RegionNum":1,"RegionCategory":"医学","ArticlePicture":[],"TitleCN":null,"AbstractTextCN":null,"PMCID":null,"EPubDate":"","PubModel":"","JCR":"Q1","JCRName":"CARDIAC & CARDIOVASCULAR SYSTEMS","Score":null,"Total":0}
引用次数: 0

摘要

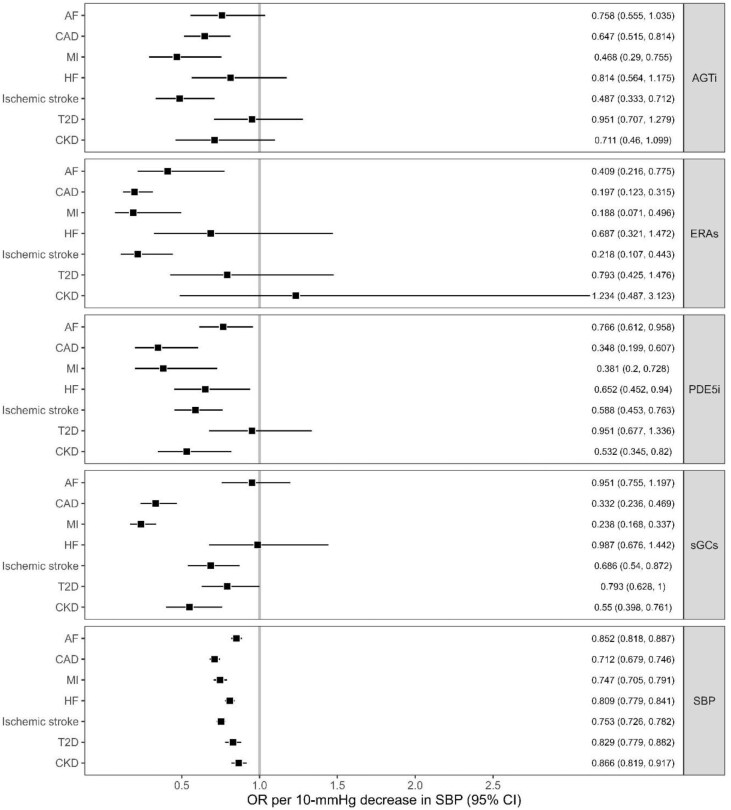
目的:新出现的降压药物为控制高血压提供了新的机会,然而,它们对心血管、肾脏和代谢(CKM)结果的长期影响仍有待阐明。本研究旨在探讨磷酸二酯酶5型抑制剂(PDE5i)、可溶性鸟苷酸环化酶刺激剂(sGCs)、内皮素受体拮抗剂(ERA)和血管紧张素原抑制剂(AGTi)对一系列CKM结果的影响。方法和结果:应用孟德尔随机化(MR)、基于汇总的MR (SMR)和共定位分析来评估药物对冠状动脉疾病(CAD)、心肌梗死(MI)、缺血性卒中、心房颤动(AF)、心力衰竭(HF)、2型糖尿病(T2D)和慢性肾脏疾病(CKD)的影响。遗传关联和基因表达汇总数据来自最大的欧洲血统全基因组关联研究(GWAS)和基因型组织表达(GTEx)版本8,涉及29个与结果病理生理相关的组织。基因预测的收缩压(SBP)降低与所有结局的风险降低相关。PDE5i与冠心病(收缩压每降低10 mmhg OR: 0.348[95% CI: 0.199-0.607])和缺血性卒中(0.588[0.453-0.763])的风险降低相关。sGCs对CAD(0.332[0.236-0.469])、MI(0.238[0.168-0.337])和CKD(0.55[0.398-0.761])具有保护作用。ERA和AGTi对冠心病和缺血性脑卒中有保护作用。SMR和共定位支持GUCY1A3和PDE5A基因表达水平与CAD和MI风险的关联。结论:我们的研究强调了PDE5i、sGCs、ERA和AGTi在降低心血管和肾脏风险方面的潜力。这些发现强调了有针对性的临床试验的必要性,以验证这些疗法的有效性和安全性。
本文章由计算机程序翻译,如有差异,请以英文原文为准。

Emerging antihypertensive therapies and cardiovascular, kidney, and metabolic outcomes: a Mendelian randomization study.

Emerging antihypertensive therapies and cardiovascular, kidney, and metabolic outcomes: a Mendelian randomization study.

Emerging antihypertensive therapies and cardiovascular, kidney, and metabolic outcomes: a Mendelian randomization study.

Emerging antihypertensive therapies and cardiovascular, kidney, and metabolic outcomes: a Mendelian randomization study.

Aims: Emerging antihypertensive drug classes offer new opportunities to manage hypertension; however, their long-term effects on cardiovascular, kidney, and metabolic (CKM) outcomes remain to be elucidated. This study aims to explore the effects of phosphodiesterase type 5 inhibitors (PDE5i), soluble guanylate cyclase stimulators (sGCs), endothelin receptor antagonists (ERAs), and angiotensinogen inhibitors (AGTis) on a range of CKM outcomes.

Methods and results: Mendelian randomization (MR), summary-based MR (SMR), and colocalization analyses were applied to assess the drug effect on coronary artery disease (CAD), myocardial infarction (MI), ischaemic stroke, atrial fibrillation (AF), heart failure (HF), type 2 diabetes (T2D), and chronic kidney disease (CKD). Genetic association and gene expression summary data were obtained from the largest European-ancestry genome-wide association studies (GWAS) and the genotype-tissue expression version 8 for 29 tissues relevant to the outcomes' pathophysiology.Genetically predicted systolic blood pressure (SBP) reduction was associated with reduced risks of all outcomes. PDE5i was associated with reduced risks of CAD (OR per 10-mmHg decrease in SBP: 0.348[95% confidence interval (CI): 0.199-0.607]) and ischaemic stroke (0.588[0.453-0.763]). sGCs showed protective effects against CAD (0.332[0.236-0.469]), MI (0.238[0.168-0.337]), and CKD (0.55[0.398-0.761]). ERA and AGTi showed protective effects against CAD and ischaemic stroke. SMR and colocalization supported the association of gene expression levels of GUCY1A3 and PDE5A with CAD and MI risk.

Conclusion: Our study highlights the potential of PDE5i, sGCs, ERA, and AGTi in reducing cardiovascular and renal risks. These findings underscore the necessity for targeted clinical trials to validate the efficacy and safety of these therapies.

求助全文
通过发布文献求助,成功后即可免费获取论文全文。 去求助
来源期刊
European Heart Journal - Cardiovascular Pharmacotherapy
European Heart Journal - Cardiovascular Pharmacotherapy Medicine-Cardiology and Cardiovascular Medicine
CiteScore
10.10
自引率
14.10%
发文量
65
期刊介绍: The European Heart Journal - Cardiovascular Pharmacotherapy (EHJ-CVP) is an international, peer-reviewed journal published in English, specifically dedicated to clinical cardiovascular pharmacology. EHJ-CVP publishes original articles focusing on clinical research involving both new and established drugs and methods, along with meta-analyses and topical reviews. The journal's primary aim is to enhance the pharmacological treatment of patients with cardiovascular disease by interpreting and integrating new scientific developments in this field. While the emphasis is on clinical topics, EHJ-CVP also considers basic research articles from fields such as physiology and molecular biology that contribute to the understanding of cardiovascular drug therapy. These may include articles related to new drug development and evaluation, the physiological and pharmacological basis of drug action, metabolism, drug interactions, and side effects.
×
引用
GB/T 7714-2015
复制
MLA
复制
APA
复制
导出至
BibTeX EndNote RefMan NoteFirst NoteExpress
×
提示
您的信息不完整,为了账户安全,请先补充。
现在去补充
×
提示
您因"违规操作"
具体请查看互助需知
我知道了
×
提示
确定
请完成安全验证×
copy
已复制链接
快去分享给好友吧!
我知道了
右上角分享
点击右上角分享
0
联系我们:info@booksci.cn Book学术提供免费学术资源搜索服务,方便国内外学者检索中英文文献。致力于提供最便捷和优质的服务体验。 Copyright © 2023 布克学术 All rights reserved.
京ICP备2023020795号-1
ghs 京公网安备 11010802042870号
Book学术文献互助
Book学术文献互助群
群 号:604180095
Book学术官方微信