由SORD突变引起的腓骨肌萎缩症基因型和表型谱。

IF 11.7 1区 医学 Q1 CLINICAL NEUROLOGY
Brain Pub Date : 2025-10-03 DOI:10.1093/brain/awaf021
Andrea Cortese, Maike F Dohrn, Riccardo Curro, Sara Negri, Petra Lassuthova, Chiara Pisciotta, Stefano Tozza, Abdullah Al-Ajmi, Changyong Feng, Pedro J Tomaselli, Gorka Fernandez-Eulate, Saif Haddad, Matilde Laurà, Alexander M Rossor, Elisa Vegezzi, Stefano Facchini, James N Sleigh, Adriana Rebelo, Danique Beijer, Jacquelyn Raposo, Mario Saporta, Barbora Lauerova, Helena F Pernice, Pascal Achenbach, Ulrike Schöne, Tayir Alon, Marcus Deschauer, Isabell Cordts, Carolin D Obermaier, Natalie Winter, Peter D Creigh, Janet E Sowden, Tyler Rehbein, Stefania Magri, Alessandro Bertini, Paola Saveri, Paolo Ripellino, Jingyu Huang, Aleksandra Nadaj-Pakleza, Alison Ross, James K L Holt, Kathryn M Brennan, Rivka Sukenik-Halevy, Varoona Bizaoui, Yesim Parman, Esra Battaloglu, Arman Cakar, Hadil Alrohaif, Simon Hammans, Kishore R Kumar, Marina L Kennerson, Hülya Kayserili, Defne A Amado, Katrin Hahn, Paola Valentino, Francesca Cavalcanti, Carlo Gaetano, Franco Taroni, Geir J Braathen, Henry Houlden, Tanya Stojkovic, Stojan Peric, Alessandra Bolino, Stefano C Previtali, Lee Yi-Chung, Ayşe N Başak, Sherifa A Hamed, Ricardo Rojas-Garcia, Kristl G Claeys, Wilson Marques, Teresa Sevilla, Beate Schlotter-Weigel, Fiore Manganelli, Ruxu Zhang, David N Herrmann, Steven S Scherer, Pavel Seeman, Davide Pareyson, Mary M Reilly, Michael E Shy, Stephan Züchner
{"title":"由SORD突变引起的腓骨肌萎缩症基因型和表型谱。","authors":"Andrea Cortese, Maike F Dohrn, Riccardo Curro, Sara Negri, Petra Lassuthova, Chiara Pisciotta, Stefano Tozza, Abdullah Al-Ajmi, Changyong Feng, Pedro J Tomaselli, Gorka Fernandez-Eulate, Saif Haddad, Matilde Laurà, Alexander M Rossor, Elisa Vegezzi, Stefano Facchini, James N Sleigh, Adriana Rebelo, Danique Beijer, Jacquelyn Raposo, Mario Saporta, Barbora Lauerova, Helena F Pernice, Pascal Achenbach, Ulrike Schöne, Tayir Alon, Marcus Deschauer, Isabell Cordts, Carolin D Obermaier, Natalie Winter, Peter D Creigh, Janet E Sowden, Tyler Rehbein, Stefania Magri, Alessandro Bertini, Paola Saveri, Paolo Ripellino, Jingyu Huang, Aleksandra Nadaj-Pakleza, Alison Ross, James K L Holt, Kathryn M Brennan, Rivka Sukenik-Halevy, Varoona Bizaoui, Yesim Parman, Esra Battaloglu, Arman Cakar, Hadil Alrohaif, Simon Hammans, Kishore R Kumar, Marina L Kennerson, Hülya Kayserili, Defne A Amado, Katrin Hahn, Paola Valentino, Francesca Cavalcanti, Carlo Gaetano, Franco Taroni, Geir J Braathen, Henry Houlden, Tanya Stojkovic, Stojan Peric, Alessandra Bolino, Stefano C Previtali, Lee Yi-Chung, Ayşe N Başak, Sherifa A Hamed, Ricardo Rojas-Garcia, Kristl G Claeys, Wilson Marques, Teresa Sevilla, Beate Schlotter-Weigel, Fiore Manganelli, Ruxu Zhang, David N Herrmann, Steven S Scherer, Pavel Seeman, Davide Pareyson, Mary M Reilly, Michael E Shy, Stephan Züchner","doi":"10.1093/brain/awaf021","DOIUrl":null,"url":null,"abstract":"<p><p>Biallelic loss-of-function mutations in the sorbitol dehydrogenase (SORD) gene cause the most common recessive type of Charcot-Marie-Tooth disease (CMT), CMT-SORD. However, the full genotype-phenotype spectrum and progression of the disease remain to be defined. Notably, a multicentre phase 2/3 study to test the efficacy of govorestat (NCT05397665), a new aldose reductase inhibitor, is currently ongoing. Diagnosing CMT-SORD will become imperative when disease-modifying therapies become available. In this cross-sectional multicentre study, we identified 144 patients from 126 families, including 99 males (69%) and 45 females (31%). Patients represented multiple ancestries, including European, Hispanic, Chinese, Near Eastern and Northern African. We confirmed c.757delG (p.Ala253GlnfsTer27) as the most common pathogenic allele, followed by c.458C>A (p.Ala153Asp), while other variants were identified, mostly in single cases. The average sorbitol level in CMT-SORD patients was significantly higher compared to controls and heterozygous carriers, independently from serum storage duration, sex or variant type. Two-thirds of cases were diagnosed with CMT2 while one-third had distal hereditary motor neuropathy. Disease onset was usually in the second decade of life. Although foot dorsiflexion was the most affected muscle group, dorsal and plantar flexion had a similar degree of weakness in most cases (difference of Medical Research Council score ≤ 1). One-fourth of patients used ankle foot orthoses, usually in their 30s, but most patients maintained independent ambulation later in life. Nerve conduction studies were suggestive of a motor predominant axonal neuropathy, with reduced conduction velocities in the intermediate range in a quarter of the cases. Sensory conductions in the upper limbs appeared more frequently affected than in the lower limbs. Foot dorsiflexion and plantar flexion decreased significantly with age. Male sex was significantly associated with the severity of distal lower limb weakness (plantar flexion) and a larger change over time (dorsiflexion). In conclusion, CMT-SORD is a frequent recessive form of axonal, motor predominant CMT, with prominent foot dorsiflexion and plantar flexion involvement. Fasting serum sorbitol is a reliable biomarker of the condition that can be utilized for pathogenicity assessment of identified rare SORD variants.</p>","PeriodicalId":9063,"journal":{"name":"Brain","volume":" ","pages":"3737-3747"},"PeriodicalIF":11.7000,"publicationDate":"2025-10-03","publicationTypes":"Journal Article","fieldsOfStudy":null,"isOpenAccess":false,"openAccessPdf":"https://www.ncbi.nlm.nih.gov/pmc/articles/PMC12493047/pdf/","citationCount":"0","resultStr":"{\"title\":\"Genotype and phenotype spectrum of Charcot-Marie-Tooth disease due to mutations in SORD.\",\"authors\":\"Andrea Cortese, Maike F Dohrn, Riccardo Curro, Sara Negri, Petra Lassuthova, Chiara Pisciotta, Stefano Tozza, Abdullah Al-Ajmi, Changyong Feng, Pedro J Tomaselli, Gorka Fernandez-Eulate, Saif Haddad, Matilde Laurà, Alexander M Rossor, Elisa Vegezzi, Stefano Facchini, James N Sleigh, Adriana Rebelo, Danique Beijer, Jacquelyn Raposo, Mario Saporta, Barbora Lauerova, Helena F Pernice, Pascal Achenbach, Ulrike Schöne, Tayir Alon, Marcus Deschauer, Isabell Cordts, Carolin D Obermaier, Natalie Winter, Peter D Creigh, Janet E Sowden, Tyler Rehbein, Stefania Magri, Alessandro Bertini, Paola Saveri, Paolo Ripellino, Jingyu Huang, Aleksandra Nadaj-Pakleza, Alison Ross, James K L Holt, Kathryn M Brennan, Rivka Sukenik-Halevy, Varoona Bizaoui, Yesim Parman, Esra Battaloglu, Arman Cakar, Hadil Alrohaif, Simon Hammans, Kishore R Kumar, Marina L Kennerson, Hülya Kayserili, Defne A Amado, Katrin Hahn, Paola Valentino, Francesca Cavalcanti, Carlo Gaetano, Franco Taroni, Geir J Braathen, Henry Houlden, Tanya Stojkovic, Stojan Peric, Alessandra Bolino, Stefano C Previtali, Lee Yi-Chung, Ayşe N Başak, Sherifa A Hamed, Ricardo Rojas-Garcia, Kristl G Claeys, Wilson Marques, Teresa Sevilla, Beate Schlotter-Weigel, Fiore Manganelli, Ruxu Zhang, David N Herrmann, Steven S Scherer, Pavel Seeman, Davide Pareyson, Mary M Reilly, Michael E Shy, Stephan Züchner\",\"doi\":\"10.1093/brain/awaf021\",\"DOIUrl\":null,\"url\":null,\"abstract\":\"<p><p>Biallelic loss-of-function mutations in the sorbitol dehydrogenase (SORD) gene cause the most common recessive type of Charcot-Marie-Tooth disease (CMT), CMT-SORD. However, the full genotype-phenotype spectrum and progression of the disease remain to be defined. Notably, a multicentre phase 2/3 study to test the efficacy of govorestat (NCT05397665), a new aldose reductase inhibitor, is currently ongoing. Diagnosing CMT-SORD will become imperative when disease-modifying therapies become available. In this cross-sectional multicentre study, we identified 144 patients from 126 families, including 99 males (69%) and 45 females (31%). Patients represented multiple ancestries, including European, Hispanic, Chinese, Near Eastern and Northern African. We confirmed c.757delG (p.Ala253GlnfsTer27) as the most common pathogenic allele, followed by c.458C>A (p.Ala153Asp), while other variants were identified, mostly in single cases. The average sorbitol level in CMT-SORD patients was significantly higher compared to controls and heterozygous carriers, independently from serum storage duration, sex or variant type. Two-thirds of cases were diagnosed with CMT2 while one-third had distal hereditary motor neuropathy. Disease onset was usually in the second decade of life. Although foot dorsiflexion was the most affected muscle group, dorsal and plantar flexion had a similar degree of weakness in most cases (difference of Medical Research Council score ≤ 1). One-fourth of patients used ankle foot orthoses, usually in their 30s, but most patients maintained independent ambulation later in life. Nerve conduction studies were suggestive of a motor predominant axonal neuropathy, with reduced conduction velocities in the intermediate range in a quarter of the cases. Sensory conductions in the upper limbs appeared more frequently affected than in the lower limbs. Foot dorsiflexion and plantar flexion decreased significantly with age. Male sex was significantly associated with the severity of distal lower limb weakness (plantar flexion) and a larger change over time (dorsiflexion). In conclusion, CMT-SORD is a frequent recessive form of axonal, motor predominant CMT, with prominent foot dorsiflexion and plantar flexion involvement. Fasting serum sorbitol is a reliable biomarker of the condition that can be utilized for pathogenicity assessment of identified rare SORD variants.</p>\",\"PeriodicalId\":9063,\"journal\":{\"name\":\"Brain\",\"volume\":\" \",\"pages\":\"3737-3747\"},\"PeriodicalIF\":11.7000,\"publicationDate\":\"2025-10-03\",\"publicationTypes\":\"Journal Article\",\"fieldsOfStudy\":null,\"isOpenAccess\":false,\"openAccessPdf\":\"https://www.ncbi.nlm.nih.gov/pmc/articles/PMC12493047/pdf/\",\"citationCount\":\"0\",\"resultStr\":null,\"platform\":\"Semanticscholar\",\"paperid\":null,\"PeriodicalName\":\"Brain\",\"FirstCategoryId\":\"3\",\"ListUrlMain\":\"https://doi.org/10.1093/brain/awaf021\",\"RegionNum\":1,\"RegionCategory\":\"医学\",\"ArticlePicture\":[],\"TitleCN\":null,\"AbstractTextCN\":null,\"PMCID\":null,\"EPubDate\":\"\",\"PubModel\":\"\",\"JCR\":\"Q1\",\"JCRName\":\"CLINICAL NEUROLOGY\",\"Score\":null,\"Total\":0}","platform":"Semanticscholar","paperid":null,"PeriodicalName":"Brain","FirstCategoryId":"3","ListUrlMain":"https://doi.org/10.1093/brain/awaf021","RegionNum":1,"RegionCategory":"医学","ArticlePicture":[],"TitleCN":null,"AbstractTextCN":null,"PMCID":null,"EPubDate":"","PubModel":"","JCR":"Q1","JCRName":"CLINICAL NEUROLOGY","Score":null,"Total":0}
引用次数: 0

摘要

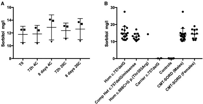
山梨糖醇脱氢酶(SORD)基因的双等位基因功能缺失突变导致最常见的隐性沙克-玛丽-图斯病(CMT), CMT-SORD。然而,完整的基因型-表型谱和疾病的进展仍有待确定。值得注意的是,一项测试新型醛糖还原酶抑制剂govorestat (NCT05397665)疗效的多中心2/3期研究目前正在进行中。当改善疾病的治疗方法可用时,诊断CMT-SORD将变得势在必行。在这项横断面多中心研究中,我们从126个家庭中确定了144例患者,包括99例男性(69%)和45例女性(31%)。患者有多种血统,包括欧洲人、西班牙人、中国人、近东人和北非人。我们证实c.757delG (p.Ala253GlnfsTer27)是最常见的致病等位基因,其次是c.458C>A (p.Ala153Asp),而其他变异主要在单个病例中被发现。CMT-SORD患者的平均山梨醇水平显著高于对照组和杂合携带者,与血清储存时间、性别或变异类型无关。三分之二的病例被诊断为CMT2,而三分之一的病例被诊断为远端遗传性运动神经病(dHMN)。发病通常在生命的第二个十年。虽然足背屈是最受影响的肌肉群,但在大多数情况下,足背屈和足底屈的无力程度相似(医学研究委员会评分差异≤1)。四分之一的患者使用踝关节足矫形器,通常在30多岁,但大多数患者在晚年保持独立行走。神经传导研究(NCS)提示运动为主的轴突神经病变,在四分之一的病例中传导速度在中间范围内降低。上肢感觉传导受影响的频率高于下肢。随着年龄的增长,足背屈曲和足底屈曲明显下降。男性与下肢远端无力(足底屈曲)的严重程度显著相关,且随时间变化更大(背屈)。总之,CMT- sord是一种常见的隐性轴突,运动为主的CMT,伴有明显的足背屈和足底屈受累。空腹血清山梨醇是一种可靠的疾病生物标志物,可用于鉴定罕见的SORD变异的致病性评估。
本文章由计算机程序翻译,如有差异,请以英文原文为准。

Genotype and phenotype spectrum of Charcot-Marie-Tooth disease due to mutations in SORD.

Genotype and phenotype spectrum of Charcot-Marie-Tooth disease due to mutations in SORD.

Genotype and phenotype spectrum of Charcot-Marie-Tooth disease due to mutations in SORD.

Genotype and phenotype spectrum of Charcot-Marie-Tooth disease due to mutations in SORD.

Biallelic loss-of-function mutations in the sorbitol dehydrogenase (SORD) gene cause the most common recessive type of Charcot-Marie-Tooth disease (CMT), CMT-SORD. However, the full genotype-phenotype spectrum and progression of the disease remain to be defined. Notably, a multicentre phase 2/3 study to test the efficacy of govorestat (NCT05397665), a new aldose reductase inhibitor, is currently ongoing. Diagnosing CMT-SORD will become imperative when disease-modifying therapies become available. In this cross-sectional multicentre study, we identified 144 patients from 126 families, including 99 males (69%) and 45 females (31%). Patients represented multiple ancestries, including European, Hispanic, Chinese, Near Eastern and Northern African. We confirmed c.757delG (p.Ala253GlnfsTer27) as the most common pathogenic allele, followed by c.458C>A (p.Ala153Asp), while other variants were identified, mostly in single cases. The average sorbitol level in CMT-SORD patients was significantly higher compared to controls and heterozygous carriers, independently from serum storage duration, sex or variant type. Two-thirds of cases were diagnosed with CMT2 while one-third had distal hereditary motor neuropathy. Disease onset was usually in the second decade of life. Although foot dorsiflexion was the most affected muscle group, dorsal and plantar flexion had a similar degree of weakness in most cases (difference of Medical Research Council score ≤ 1). One-fourth of patients used ankle foot orthoses, usually in their 30s, but most patients maintained independent ambulation later in life. Nerve conduction studies were suggestive of a motor predominant axonal neuropathy, with reduced conduction velocities in the intermediate range in a quarter of the cases. Sensory conductions in the upper limbs appeared more frequently affected than in the lower limbs. Foot dorsiflexion and plantar flexion decreased significantly with age. Male sex was significantly associated with the severity of distal lower limb weakness (plantar flexion) and a larger change over time (dorsiflexion). In conclusion, CMT-SORD is a frequent recessive form of axonal, motor predominant CMT, with prominent foot dorsiflexion and plantar flexion involvement. Fasting serum sorbitol is a reliable biomarker of the condition that can be utilized for pathogenicity assessment of identified rare SORD variants.

求助全文
通过发布文献求助,成功后即可免费获取论文全文。 去求助
来源期刊
Brain
Brain 医学-临床神经学
CiteScore
20.30
自引率
4.10%
发文量
458
审稿时长
3-6 weeks
期刊介绍: Brain, a journal focused on clinical neurology and translational neuroscience, has been publishing landmark papers since 1878. The journal aims to expand its scope by including studies that shed light on disease mechanisms and conducting innovative clinical trials for brain disorders. With a wide range of topics covered, the Editorial Board represents the international readership and diverse coverage of the journal. Accepted articles are promptly posted online, typically within a few weeks of acceptance. As of 2022, Brain holds an impressive impact factor of 14.5, according to the Journal Citation Reports.
×
引用
GB/T 7714-2015
复制
MLA
复制
APA
复制
导出至
BibTeX EndNote RefMan NoteFirst NoteExpress
×
提示
您的信息不完整,为了账户安全,请先补充。
现在去补充
×
提示
您因"违规操作"
具体请查看互助需知
我知道了
×
提示
确定
请完成安全验证×
copy
已复制链接
快去分享给好友吧!
我知道了
右上角分享
点击右上角分享
0
联系我们:info@booksci.cn Book学术提供免费学术资源搜索服务,方便国内外学者检索中英文文献。致力于提供最便捷和优质的服务体验。 Copyright © 2023 布克学术 All rights reserved.
京ICP备2023020795号-1
ghs 京公网安备 11010802042870号
Book学术文献互助
Book学术文献互助群
群 号:604180095
Book学术官方微信