鞘脂代谢产物参与动脉粥样硬化的发病机制:鞘脂在动脉粥样硬化中的研究进展。

IF 10.2 1区 生物学 Q1 BIOCHEMISTRY & MOLECULAR BIOLOGY
Fufangyu Zhao, Mingyan Shao, Mingrui Li, Tianxing Li, Yanfei Zheng, Wenlong Sun, Cheng Ni, Lingru Li
{"title":"鞘脂代谢产物参与动脉粥样硬化的发病机制:鞘脂在动脉粥样硬化中的研究进展。","authors":"Fufangyu Zhao, Mingyan Shao, Mingrui Li, Tianxing Li, Yanfei Zheng, Wenlong Sun, Cheng Ni, Lingru Li","doi":"10.1186/s11658-024-00679-2","DOIUrl":null,"url":null,"abstract":"<p><p>Atherosclerosis, with its complex pathogenesis, is a leading underlying cause of many cardiovascular diseases, which are increasingly prevalent in the population. Sphingolipids play an important role in the development of atherosclerosis. Key metabolites and enzymes in sphingolipid metabolism influence the pathogenesis of atherosclerosis in a variety of ways, including inflammatory responses and oxidative stress. Thus, an investigation of sphingolipid metabolism-related metabolites and key enzymes may provide novel insights and treatment targets for atherosclerosis. This review discusses various mechanisms and research progress on the relationship between various sphingolipid metabolites, related enzymes, and atherosclerosis. Finally, we look into the future research direction of phytosphingolipids.</p>","PeriodicalId":9688,"journal":{"name":"Cellular & Molecular Biology Letters","volume":"30 1","pages":"18"},"PeriodicalIF":10.2000,"publicationDate":"2025-02-07","publicationTypes":"Journal Article","fieldsOfStudy":null,"isOpenAccess":false,"openAccessPdf":"https://www.ncbi.nlm.nih.gov/pmc/articles/PMC11804087/pdf/","citationCount":"0","resultStr":"{\"title\":\"Sphingolipid metabolites involved in the pathogenesis of atherosclerosis: perspectives on sphingolipids in atherosclerosis.\",\"authors\":\"Fufangyu Zhao, Mingyan Shao, Mingrui Li, Tianxing Li, Yanfei Zheng, Wenlong Sun, Cheng Ni, Lingru Li\",\"doi\":\"10.1186/s11658-024-00679-2\",\"DOIUrl\":null,\"url\":null,\"abstract\":\"<p><p>Atherosclerosis, with its complex pathogenesis, is a leading underlying cause of many cardiovascular diseases, which are increasingly prevalent in the population. Sphingolipids play an important role in the development of atherosclerosis. Key metabolites and enzymes in sphingolipid metabolism influence the pathogenesis of atherosclerosis in a variety of ways, including inflammatory responses and oxidative stress. Thus, an investigation of sphingolipid metabolism-related metabolites and key enzymes may provide novel insights and treatment targets for atherosclerosis. This review discusses various mechanisms and research progress on the relationship between various sphingolipid metabolites, related enzymes, and atherosclerosis. Finally, we look into the future research direction of phytosphingolipids.</p>\",\"PeriodicalId\":9688,\"journal\":{\"name\":\"Cellular & Molecular Biology Letters\",\"volume\":\"30 1\",\"pages\":\"18\"},\"PeriodicalIF\":10.2000,\"publicationDate\":\"2025-02-07\",\"publicationTypes\":\"Journal Article\",\"fieldsOfStudy\":null,\"isOpenAccess\":false,\"openAccessPdf\":\"https://www.ncbi.nlm.nih.gov/pmc/articles/PMC11804087/pdf/\",\"citationCount\":\"0\",\"resultStr\":null,\"platform\":\"Semanticscholar\",\"paperid\":null,\"PeriodicalName\":\"Cellular & Molecular Biology Letters\",\"FirstCategoryId\":\"99\",\"ListUrlMain\":\"https://doi.org/10.1186/s11658-024-00679-2\",\"RegionNum\":1,\"RegionCategory\":\"生物学\",\"ArticlePicture\":[],\"TitleCN\":null,\"AbstractTextCN\":null,\"PMCID\":null,\"EPubDate\":\"\",\"PubModel\":\"\",\"JCR\":\"Q1\",\"JCRName\":\"BIOCHEMISTRY & MOLECULAR BIOLOGY\",\"Score\":null,\"Total\":0}","platform":"Semanticscholar","paperid":null,"PeriodicalName":"Cellular & Molecular Biology Letters","FirstCategoryId":"99","ListUrlMain":"https://doi.org/10.1186/s11658-024-00679-2","RegionNum":1,"RegionCategory":"生物学","ArticlePicture":[],"TitleCN":null,"AbstractTextCN":null,"PMCID":null,"EPubDate":"","PubModel":"","JCR":"Q1","JCRName":"BIOCHEMISTRY & MOLECULAR BIOLOGY","Score":null,"Total":0}
引用次数: 0

摘要

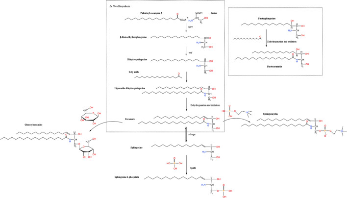
动脉粥样硬化,其复杂的发病机制,是许多心血管疾病的主要潜在原因,这在人群中越来越普遍。鞘脂在动脉粥样硬化的发展中起重要作用。鞘脂代谢中的关键代谢物和酶以多种方式影响动脉粥样硬化的发病机制,包括炎症反应和氧化应激。因此,研究鞘脂代谢相关代谢物和关键酶可能为动脉粥样硬化提供新的见解和治疗靶点。本文就鞘脂代谢产物及相关酶与动脉粥样硬化关系的研究进展及机制作一综述。最后,对植物鞘脂今后的研究方向进行了展望。
本文章由计算机程序翻译,如有差异,请以英文原文为准。

Sphingolipid metabolites involved in the pathogenesis of atherosclerosis: perspectives on sphingolipids in atherosclerosis.

Sphingolipid metabolites involved in the pathogenesis of atherosclerosis: perspectives on sphingolipids in atherosclerosis.

Sphingolipid metabolites involved in the pathogenesis of atherosclerosis: perspectives on sphingolipids in atherosclerosis.

Sphingolipid metabolites involved in the pathogenesis of atherosclerosis: perspectives on sphingolipids in atherosclerosis.

Atherosclerosis, with its complex pathogenesis, is a leading underlying cause of many cardiovascular diseases, which are increasingly prevalent in the population. Sphingolipids play an important role in the development of atherosclerosis. Key metabolites and enzymes in sphingolipid metabolism influence the pathogenesis of atherosclerosis in a variety of ways, including inflammatory responses and oxidative stress. Thus, an investigation of sphingolipid metabolism-related metabolites and key enzymes may provide novel insights and treatment targets for atherosclerosis. This review discusses various mechanisms and research progress on the relationship between various sphingolipid metabolites, related enzymes, and atherosclerosis. Finally, we look into the future research direction of phytosphingolipids.

求助全文
通过发布文献求助,成功后即可免费获取论文全文。 去求助
来源期刊
Cellular & Molecular Biology Letters
Cellular & Molecular Biology Letters 生物-生化与分子生物学
CiteScore
11.60
自引率
13.30%
发文量
101
审稿时长
3 months
期刊介绍: Cellular & Molecular Biology Letters is an international journal dedicated to the dissemination of fundamental knowledge in all areas of cellular and molecular biology, cancer cell biology, and certain aspects of biochemistry, biophysics and biotechnology.
×
引用
GB/T 7714-2015
复制
MLA
复制
APA
复制
导出至
BibTeX EndNote RefMan NoteFirst NoteExpress
×
提示
您的信息不完整,为了账户安全,请先补充。
现在去补充
×
提示
您因"违规操作"
具体请查看互助需知
我知道了
×
提示
确定
请完成安全验证×
copy
已复制链接
快去分享给好友吧!
我知道了
右上角分享
点击右上角分享
0
联系我们:info@booksci.cn Book学术提供免费学术资源搜索服务,方便国内外学者检索中英文文献。致力于提供最便捷和优质的服务体验。 Copyright © 2023 布克学术 All rights reserved.
京ICP备2023020795号-1
ghs 京公网安备 11010802042870号
Book学术文献互助
Book学术文献互助群
群 号:604180095
Book学术官方微信