左房肌病和消融后重构对生活质量的影响:DECAAF II亚组分析

IF 2.6 4区 医学 Q3 CARDIAC & CARDIOVASCULAR SYSTEMS
Ghassan Bidaoui, Han Feng, Nour Chouman, Ala Assaf, Chanho Lim, Hadi Younes, Mayana Bsoul, Christian Massad, Francisco Tirado Polo, Yishi Jia, Yingshou Liu, Abboud Hassan, William Rittmeyer, Mario Mekhael, Charbel Noujaim, Amitabh C Pandey, Swati Rao, Omar Kreidieh, Nassir F Marrouche, Eoin Donnellan
{"title":"左房肌病和消融后重构对生活质量的影响:DECAAF II亚组分析","authors":"Ghassan Bidaoui, Han Feng, Nour Chouman, Ala Assaf, Chanho Lim, Hadi Younes, Mayana Bsoul, Christian Massad, Francisco Tirado Polo, Yishi Jia, Yingshou Liu, Abboud Hassan, William Rittmeyer, Mario Mekhael, Charbel Noujaim, Amitabh C Pandey, Swati Rao, Omar Kreidieh, Nassir F Marrouche, Eoin Donnellan","doi":"10.1007/s10840-025-02002-1","DOIUrl":null,"url":null,"abstract":"<p><strong>Background: </strong>Atrial fibrillation (AF) is associated with adverse remodeling of the left atrium (LA). The impact of the extent of atrial myopathy and post-ablation remodeling on quality-of-life (QoL) outcomes has not been studied.</p><p><strong>Objective: </strong>The aim of our study was to investigate the association between atrial myopathy and post-ablation remodeling on quality-of-life outcomes in patients with persistent AF.</p><p><strong>Methods: </strong>We conducted an analysis of DECAAF II participants who underwent late-gadolinium enhancement MRI (LGE-MRI) before and after AF ablation. We assessed atrial myopathy and post-ablation atrial remodeling, scar formation, and fibrosis coverage with ablation. QoL metrics were assessed using the Short Form Survey (SF-36) and Atrial Fibrillation Severity Scale (AFSS). Uni- and multivariable regression models were developed for this analysis.</p><p><strong>Results: </strong>Six hundred thirteen patients with persistent AF were included in our analyses. At baseline, AFSS burden and total AFSS score were 18.94 ± 7.35 and 12.24 ± 8.17, respectively. Following ablation, all QoL and AFSS metrics improved in both the pulmonary vein isolation (PVI) and MRI-guided fibrosis ablation groups. On average, one unit of post-ablation reduction in left atrial volume index (LAVI) was associated with an improvement of 0.085 in total AFSS score (p = 0.001), 0.01 in shortness of breath with activity (p < 0.001), 0.15 in AF burden (p < 0.001), - 0.016 in global well-being (p = 0.018), 0.519 in health change (p < 0.001), 0.19 in vitality (vitality (p = 0.01), and 0.27 in physical functioning (p = 0.001). Baseline fibrosis and residual fibrosis post-ablation were associated with improved vitality and general health.</p><p><strong>Conclusion: </strong>Atrial myopathy and post-ablation atrial remodeling significantly impact QoL in patients with persistent AF undergoing ablation.</p>","PeriodicalId":16202,"journal":{"name":"Journal of Interventional Cardiac Electrophysiology","volume":" ","pages":"1225-1234"},"PeriodicalIF":2.6000,"publicationDate":"2025-09-01","publicationTypes":"Journal Article","fieldsOfStudy":null,"isOpenAccess":false,"openAccessPdf":"https://www.ncbi.nlm.nih.gov/pmc/articles/PMC12399685/pdf/","citationCount":"0","resultStr":"{\"title\":\"Impact of left atrial myopathy and post-ablation remodeling on quality of life: a DECAAF II sub-analysis.\",\"authors\":\"Ghassan Bidaoui, Han Feng, Nour Chouman, Ala Assaf, Chanho Lim, Hadi Younes, Mayana Bsoul, Christian Massad, Francisco Tirado Polo, Yishi Jia, Yingshou Liu, Abboud Hassan, William Rittmeyer, Mario Mekhael, Charbel Noujaim, Amitabh C Pandey, Swati Rao, Omar Kreidieh, Nassir F Marrouche, Eoin Donnellan\",\"doi\":\"10.1007/s10840-025-02002-1\",\"DOIUrl\":null,\"url\":null,\"abstract\":\"<p><strong>Background: </strong>Atrial fibrillation (AF) is associated with adverse remodeling of the left atrium (LA). The impact of the extent of atrial myopathy and post-ablation remodeling on quality-of-life (QoL) outcomes has not been studied.</p><p><strong>Objective: </strong>The aim of our study was to investigate the association between atrial myopathy and post-ablation remodeling on quality-of-life outcomes in patients with persistent AF.</p><p><strong>Methods: </strong>We conducted an analysis of DECAAF II participants who underwent late-gadolinium enhancement MRI (LGE-MRI) before and after AF ablation. We assessed atrial myopathy and post-ablation atrial remodeling, scar formation, and fibrosis coverage with ablation. QoL metrics were assessed using the Short Form Survey (SF-36) and Atrial Fibrillation Severity Scale (AFSS). Uni- and multivariable regression models were developed for this analysis.</p><p><strong>Results: </strong>Six hundred thirteen patients with persistent AF were included in our analyses. At baseline, AFSS burden and total AFSS score were 18.94 ± 7.35 and 12.24 ± 8.17, respectively. Following ablation, all QoL and AFSS metrics improved in both the pulmonary vein isolation (PVI) and MRI-guided fibrosis ablation groups. On average, one unit of post-ablation reduction in left atrial volume index (LAVI) was associated with an improvement of 0.085 in total AFSS score (p = 0.001), 0.01 in shortness of breath with activity (p < 0.001), 0.15 in AF burden (p < 0.001), - 0.016 in global well-being (p = 0.018), 0.519 in health change (p < 0.001), 0.19 in vitality (vitality (p = 0.01), and 0.27 in physical functioning (p = 0.001). Baseline fibrosis and residual fibrosis post-ablation were associated with improved vitality and general health.</p><p><strong>Conclusion: </strong>Atrial myopathy and post-ablation atrial remodeling significantly impact QoL in patients with persistent AF undergoing ablation.</p>\",\"PeriodicalId\":16202,\"journal\":{\"name\":\"Journal of Interventional Cardiac Electrophysiology\",\"volume\":\" \",\"pages\":\"1225-1234\"},\"PeriodicalIF\":2.6000,\"publicationDate\":\"2025-09-01\",\"publicationTypes\":\"Journal Article\",\"fieldsOfStudy\":null,\"isOpenAccess\":false,\"openAccessPdf\":\"https://www.ncbi.nlm.nih.gov/pmc/articles/PMC12399685/pdf/\",\"citationCount\":\"0\",\"resultStr\":null,\"platform\":\"Semanticscholar\",\"paperid\":null,\"PeriodicalName\":\"Journal of Interventional Cardiac Electrophysiology\",\"FirstCategoryId\":\"3\",\"ListUrlMain\":\"https://doi.org/10.1007/s10840-025-02002-1\",\"RegionNum\":4,\"RegionCategory\":\"医学\",\"ArticlePicture\":[],\"TitleCN\":null,\"AbstractTextCN\":null,\"PMCID\":null,\"EPubDate\":\"2025/2/3 0:00:00\",\"PubModel\":\"Epub\",\"JCR\":\"Q3\",\"JCRName\":\"CARDIAC & CARDIOVASCULAR SYSTEMS\",\"Score\":null,\"Total\":0}","platform":"Semanticscholar","paperid":null,"PeriodicalName":"Journal of Interventional Cardiac Electrophysiology","FirstCategoryId":"3","ListUrlMain":"https://doi.org/10.1007/s10840-025-02002-1","RegionNum":4,"RegionCategory":"医学","ArticlePicture":[],"TitleCN":null,"AbstractTextCN":null,"PMCID":null,"EPubDate":"2025/2/3 0:00:00","PubModel":"Epub","JCR":"Q3","JCRName":"CARDIAC & CARDIOVASCULAR SYSTEMS","Score":null,"Total":0}
引用次数: 0

摘要

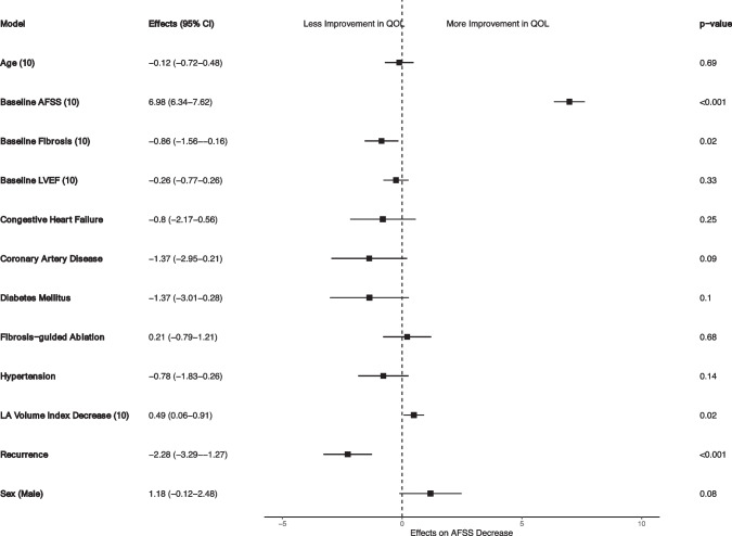
背景:心房颤动(AF)与左心房不良重构(LA)相关。心房肌病的程度和消融后重构对生活质量(QoL)结果的影响尚未研究。目的:本研究的目的是探讨心房肌病和消融后重构对持续性房颤患者生活质量的影响。方法:我们对房颤消融前后接受晚期钆增强MRI (LGE-MRI)检查的DECAAF II患者进行了分析。我们评估了心房肌病和消融后心房重构、瘢痕形成和消融后的纤维化覆盖率。使用简短问卷调查(SF-36)和房颤严重程度量表(AFSS)评估生活质量指标。本分析采用单变量和多变量回归模型。结果:613例持续性房颤患者纳入我们的分析。基线时,AFSS负担和总AFSS评分分别为18.94±7.35和12.24±8.17。消融后,肺静脉隔离(PVI)组和mri引导下的纤维化消融组的所有QoL和AFSS指标均有所改善。平均而言,消融后1单位左房容积指数(LAVI)降低与AFSS总评分改善0.085相关(p = 0.001),与伴有活动的呼吸急促改善0.01相关(p)。结论:心房肌病和消融后心房重构显著影响消融后持续性房颤患者的生活质量。
本文章由计算机程序翻译,如有差异,请以英文原文为准。

Impact of left atrial myopathy and post-ablation remodeling on quality of life: a DECAAF II sub-analysis.

Impact of left atrial myopathy and post-ablation remodeling on quality of life: a DECAAF II sub-analysis.

Impact of left atrial myopathy and post-ablation remodeling on quality of life: a DECAAF II sub-analysis.

Impact of left atrial myopathy and post-ablation remodeling on quality of life: a DECAAF II sub-analysis.

Background: Atrial fibrillation (AF) is associated with adverse remodeling of the left atrium (LA). The impact of the extent of atrial myopathy and post-ablation remodeling on quality-of-life (QoL) outcomes has not been studied.

Objective: The aim of our study was to investigate the association between atrial myopathy and post-ablation remodeling on quality-of-life outcomes in patients with persistent AF.

Methods: We conducted an analysis of DECAAF II participants who underwent late-gadolinium enhancement MRI (LGE-MRI) before and after AF ablation. We assessed atrial myopathy and post-ablation atrial remodeling, scar formation, and fibrosis coverage with ablation. QoL metrics were assessed using the Short Form Survey (SF-36) and Atrial Fibrillation Severity Scale (AFSS). Uni- and multivariable regression models were developed for this analysis.

Results: Six hundred thirteen patients with persistent AF were included in our analyses. At baseline, AFSS burden and total AFSS score were 18.94 ± 7.35 and 12.24 ± 8.17, respectively. Following ablation, all QoL and AFSS metrics improved in both the pulmonary vein isolation (PVI) and MRI-guided fibrosis ablation groups. On average, one unit of post-ablation reduction in left atrial volume index (LAVI) was associated with an improvement of 0.085 in total AFSS score (p = 0.001), 0.01 in shortness of breath with activity (p < 0.001), 0.15 in AF burden (p < 0.001), - 0.016 in global well-being (p = 0.018), 0.519 in health change (p < 0.001), 0.19 in vitality (vitality (p = 0.01), and 0.27 in physical functioning (p = 0.001). Baseline fibrosis and residual fibrosis post-ablation were associated with improved vitality and general health.

Conclusion: Atrial myopathy and post-ablation atrial remodeling significantly impact QoL in patients with persistent AF undergoing ablation.

求助全文
通过发布文献求助,成功后即可免费获取论文全文。 去求助
来源期刊
CiteScore
4.30
自引率
11.10%
发文量
320
审稿时长
4-8 weeks
期刊介绍: The Journal of Interventional Cardiac Electrophysiology is an international publication devoted to fostering research in and development of interventional techniques and therapies for the management of cardiac arrhythmias. It is designed primarily to present original research studies and scholarly scientific reviews of basic and applied science and clinical research in this field. The Journal will adopt a multidisciplinary approach to link physical, experimental, and clinical sciences as applied to the development of and practice in interventional electrophysiology. The Journal will examine techniques ranging from molecular, chemical and pharmacologic therapies to device and ablation technology. Accordingly, original research in clinical, epidemiologic and basic science arenas will be considered for publication. Applied engineering or physical science studies pertaining to interventional electrophysiology will be encouraged. The Journal is committed to providing comprehensive and detailed treatment of major interventional therapies and innovative techniques in a structured and clinically relevant manner. It is directed at clinical practitioners and investigators in the rapidly growing field of interventional electrophysiology. The editorial staff and board reflect this bias and include noted international experts in this area with a wealth of expertise in basic and clinical investigation. Peer review of all submissions, conflict of interest guidelines and periodic editorial board review of all Journal policies have been established.
×
引用
GB/T 7714-2015
复制
MLA
复制
APA
复制
导出至
BibTeX EndNote RefMan NoteFirst NoteExpress
×
提示
您的信息不完整,为了账户安全,请先补充。
现在去补充
×
提示
您因"违规操作"
具体请查看互助需知
我知道了
×
提示
确定
请完成安全验证×
copy
已复制链接
快去分享给好友吧!
我知道了
右上角分享
点击右上角分享
0
联系我们:info@booksci.cn Book学术提供免费学术资源搜索服务,方便国内外学者检索中英文文献。致力于提供最便捷和优质的服务体验。 Copyright © 2023 布克学术 All rights reserved.
京ICP备2023020795号-1
ghs 京公网安备 11010802042870号
Book学术文献互助
Book学术文献互助群
群 号:604180095
Book学术官方微信