植物氧化还原代谢反应副产物与蛋白质功能。

IF 2 4区 生物学 Q4 CELL BIOLOGY
E I Sharova, S S Medvedev
{"title":"植物氧化还原代谢反应副产物与蛋白质功能。","authors":"E I Sharova, S S Medvedev","doi":"10.32607/actanaturae.27477","DOIUrl":null,"url":null,"abstract":"<p><p>Living organisms exhibit an impressive ability to expand the basic information encoded in their genome, specifically regarding the structure and function of protein. Two basic strategies are employed to increase protein diversity and functionality: alternative mRNA splicing and post-translational protein modifications (PTMs). Enzymatic regulation is responsible for the majority of the chemical reactions occurring within living cells. However, plants redox metabolism perpetually generates reactive byproducts that spontaneously interact with and modify biomolecules, including proteins. Reactive carbonyls resulted from the oxidative metabolism of carbohydrates and lipids carbonylate proteins, leading to the latter inactivation and deposition in the form of glycation and lipoxidation end products. The protein nitrosylation caused by reactive nitrogen species plays a crucial role in plant morphogenesis and stress reactions. The redox state of protein thiol groups modified by reactive oxygen species is regulated through the interplay of thioredoxins and glutaredoxins, thereby influencing processes such as protein folding, enzyme activity, and calcium and hormone signaling. This review provides a summary of the PTMs caused by chemically active metabolites and explores their functional consequences in plant proteins.</p>","PeriodicalId":6989,"journal":{"name":"Acta Naturae","volume":"16 4","pages":"48-61"},"PeriodicalIF":2.0000,"publicationDate":"2024-10-01","publicationTypes":"Journal Article","fieldsOfStudy":null,"isOpenAccess":false,"openAccessPdf":"https://www.ncbi.nlm.nih.gov/pmc/articles/PMC11771839/pdf/","citationCount":"0","resultStr":"{\"title\":\"Reactive Byproducts of Plant Redox Metabolism and Protein Functions.\",\"authors\":\"E I Sharova, S S Medvedev\",\"doi\":\"10.32607/actanaturae.27477\",\"DOIUrl\":null,\"url\":null,\"abstract\":\"<p><p>Living organisms exhibit an impressive ability to expand the basic information encoded in their genome, specifically regarding the structure and function of protein. Two basic strategies are employed to increase protein diversity and functionality: alternative mRNA splicing and post-translational protein modifications (PTMs). Enzymatic regulation is responsible for the majority of the chemical reactions occurring within living cells. However, plants redox metabolism perpetually generates reactive byproducts that spontaneously interact with and modify biomolecules, including proteins. Reactive carbonyls resulted from the oxidative metabolism of carbohydrates and lipids carbonylate proteins, leading to the latter inactivation and deposition in the form of glycation and lipoxidation end products. The protein nitrosylation caused by reactive nitrogen species plays a crucial role in plant morphogenesis and stress reactions. The redox state of protein thiol groups modified by reactive oxygen species is regulated through the interplay of thioredoxins and glutaredoxins, thereby influencing processes such as protein folding, enzyme activity, and calcium and hormone signaling. This review provides a summary of the PTMs caused by chemically active metabolites and explores their functional consequences in plant proteins.</p>\",\"PeriodicalId\":6989,\"journal\":{\"name\":\"Acta Naturae\",\"volume\":\"16 4\",\"pages\":\"48-61\"},\"PeriodicalIF\":2.0000,\"publicationDate\":\"2024-10-01\",\"publicationTypes\":\"Journal Article\",\"fieldsOfStudy\":null,\"isOpenAccess\":false,\"openAccessPdf\":\"https://www.ncbi.nlm.nih.gov/pmc/articles/PMC11771839/pdf/\",\"citationCount\":\"0\",\"resultStr\":null,\"platform\":\"Semanticscholar\",\"paperid\":null,\"PeriodicalName\":\"Acta Naturae\",\"FirstCategoryId\":\"99\",\"ListUrlMain\":\"https://doi.org/10.32607/actanaturae.27477\",\"RegionNum\":4,\"RegionCategory\":\"生物学\",\"ArticlePicture\":[],\"TitleCN\":null,\"AbstractTextCN\":null,\"PMCID\":null,\"EPubDate\":\"\",\"PubModel\":\"\",\"JCR\":\"Q4\",\"JCRName\":\"CELL BIOLOGY\",\"Score\":null,\"Total\":0}","platform":"Semanticscholar","paperid":null,"PeriodicalName":"Acta Naturae","FirstCategoryId":"99","ListUrlMain":"https://doi.org/10.32607/actanaturae.27477","RegionNum":4,"RegionCategory":"生物学","ArticlePicture":[],"TitleCN":null,"AbstractTextCN":null,"PMCID":null,"EPubDate":"","PubModel":"","JCR":"Q4","JCRName":"CELL BIOLOGY","Score":null,"Total":0}
引用次数: 0

摘要

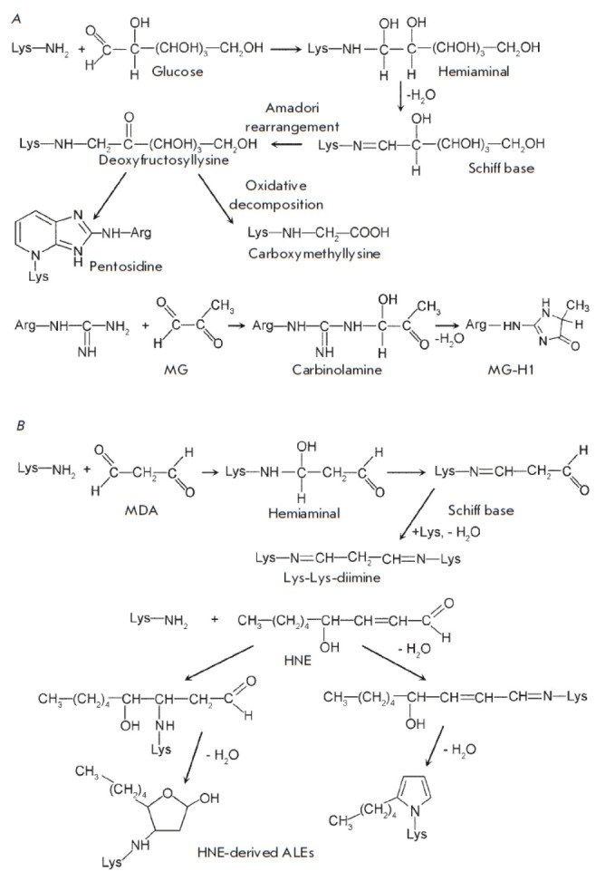
生物体在扩展其基因组编码的基本信息方面表现出令人印象深刻的能力,特别是关于蛋白质的结构和功能。两种基本策略被用来增加蛋白质的多样性和功能:选择性mRNA剪接和翻译后蛋白修饰(PTMs)。活细胞内发生的大部分化学反应都是由酶的调节作用完成的。然而,植物氧化还原代谢不断产生活性副产物,自发地与生物分子相互作用并修饰生物分子,包括蛋白质。活性羰基产生于碳水化合物和脂质羰基化蛋白质的氧化代谢,导致后者失活并以糖基化和脂氧化最终产物的形式沉积。活性氮引起的蛋白质亚硝基化在植物形态发生和胁迫反应中起着至关重要的作用。经活性氧修饰的蛋白质巯基的氧化还原状态是通过硫氧还毒素和戊氧还毒素的相互作用来调节的,从而影响蛋白质折叠、酶活性、钙和激素信号传导等过程。本文综述了化学活性代谢物引起的ptm,并探讨了它们在植物蛋白中的功能影响。
本文章由计算机程序翻译,如有差异,请以英文原文为准。

Reactive Byproducts of Plant Redox Metabolism and Protein Functions.

Reactive Byproducts of Plant Redox Metabolism and Protein Functions.

Reactive Byproducts of Plant Redox Metabolism and Protein Functions.

Reactive Byproducts of Plant Redox Metabolism and Protein Functions.

Living organisms exhibit an impressive ability to expand the basic information encoded in their genome, specifically regarding the structure and function of protein. Two basic strategies are employed to increase protein diversity and functionality: alternative mRNA splicing and post-translational protein modifications (PTMs). Enzymatic regulation is responsible for the majority of the chemical reactions occurring within living cells. However, plants redox metabolism perpetually generates reactive byproducts that spontaneously interact with and modify biomolecules, including proteins. Reactive carbonyls resulted from the oxidative metabolism of carbohydrates and lipids carbonylate proteins, leading to the latter inactivation and deposition in the form of glycation and lipoxidation end products. The protein nitrosylation caused by reactive nitrogen species plays a crucial role in plant morphogenesis and stress reactions. The redox state of protein thiol groups modified by reactive oxygen species is regulated through the interplay of thioredoxins and glutaredoxins, thereby influencing processes such as protein folding, enzyme activity, and calcium and hormone signaling. This review provides a summary of the PTMs caused by chemically active metabolites and explores their functional consequences in plant proteins.

求助全文
通过发布文献求助,成功后即可免费获取论文全文。 去求助
来源期刊
Acta Naturae
Acta Naturae 农林科学-林学
CiteScore
3.50
自引率
5.00%
发文量
0
审稿时长
>12 weeks
期刊介绍: Acta Naturae is an international journal on life sciences based in Moscow, Russia. Our goal is to present scientific work and discovery in molecular biology, biochemistry, biomedical disciplines and biotechnology. These fields represent the most important priorities for the research and engineering development both in Russia and worldwide. Acta Naturae is also a periodical for those who are curious in various aspects of biotechnological business, innovations in pharmaceutical areas, intellectual property protection and social consequences of scientific progress. The journal publishes analytical industrial surveys focused on the development of different spheres of modern life science and technology. Being a radically new and totally unique journal in Russia, Acta Naturae is useful to both representatives of fundamental research and experts in applied sciences.
×
引用
GB/T 7714-2015
复制
MLA
复制
APA
复制
导出至
BibTeX EndNote RefMan NoteFirst NoteExpress
×
提示
您的信息不完整,为了账户安全,请先补充。
现在去补充
×
提示
您因"违规操作"
具体请查看互助需知
我知道了
×
提示
确定
请完成安全验证×
copy
已复制链接
快去分享给好友吧!
我知道了
右上角分享
点击右上角分享
0
联系我们:info@booksci.cn Book学术提供免费学术资源搜索服务,方便国内外学者检索中英文文献。致力于提供最便捷和优质的服务体验。 Copyright © 2023 布克学术 All rights reserved.
京ICP备2023020795号-1
ghs 京公网安备 11010802042870号
Book学术文献互助
Book学术文献互助群
群 号:604180095
Book学术官方微信