抗坏血酸生物合成和循环基因参与大蒜对增殖镰刀菌感染的反应。

IF 0.7 4区 生物学 Q4 BIOCHEMISTRY & MOLECULAR BIOLOGY
A. V. Shchennikova, E. Z. Kochieva, M. A. Filyushin
{"title":"抗坏血酸生物合成和循环基因参与大蒜对增殖镰刀菌感染的反应。","authors":"A. V. Shchennikova,&nbsp;E. Z. Kochieva,&nbsp;M. A. Filyushin","doi":"10.1134/S1607672924601057","DOIUrl":null,"url":null,"abstract":"<p>The expression profile of the key genes of biosynthesis (<i>VTC2</i>, <i>GPP</i>, <i>GalDH</i>, and <i>GalLDH</i>) and recycling (<i>MDHAR1</i>, <i>MDHAR4</i>, and <i>MDHAR5</i>) of ascorbate in response to infection with the fungal pathogen <i>Fusarium proliferatum</i> in garlic cultivars resistant (Podnebesny) and sensitive (Dubkovsky) to <i>Fusarium</i> rot was determined. It was found that differences in resistance to <i>Fusarium</i> lead to discrepancies in the dynamics and expression of individual genes of the ascorbate pathway, as well as in the ascorbate content. It was shown that, in response to infection, the expression level of the <i>MDHAR4</i> gene increases in the resistant cultivar and decreases in the <i>Fusarium</i>-sensitive accession. As infection progresses, the expression levels of the <i>VTC2</i> and <i>GalLDH</i> genes increase significantly (higher in the cv. Dubkovsky than in the cv. Podnebesny). In both cultivars, the ascorbate content increases (1.5 times higher in the cv. Dubkovsky than in the cv. Podnebesny).</p>","PeriodicalId":529,"journal":{"name":"Doklady Biochemistry and Biophysics","volume":"520 1","pages":"49 - 52"},"PeriodicalIF":0.7000,"publicationDate":"2025-01-22","publicationTypes":"Journal Article","fieldsOfStudy":null,"isOpenAccess":false,"openAccessPdf":"","citationCount":"0","resultStr":"{\"title\":\"Ascorbate Biosynthesis and Recycling Genes Are Involved in the Responses of Garlic Allium sativum L. Plants to Fusarium proliferatum Infection\",\"authors\":\"A. V. Shchennikova,&nbsp;E. Z. Kochieva,&nbsp;M. A. Filyushin\",\"doi\":\"10.1134/S1607672924601057\",\"DOIUrl\":null,\"url\":null,\"abstract\":\"<p>The expression profile of the key genes of biosynthesis (<i>VTC2</i>, <i>GPP</i>, <i>GalDH</i>, and <i>GalLDH</i>) and recycling (<i>MDHAR1</i>, <i>MDHAR4</i>, and <i>MDHAR5</i>) of ascorbate in response to infection with the fungal pathogen <i>Fusarium proliferatum</i> in garlic cultivars resistant (Podnebesny) and sensitive (Dubkovsky) to <i>Fusarium</i> rot was determined. It was found that differences in resistance to <i>Fusarium</i> lead to discrepancies in the dynamics and expression of individual genes of the ascorbate pathway, as well as in the ascorbate content. It was shown that, in response to infection, the expression level of the <i>MDHAR4</i> gene increases in the resistant cultivar and decreases in the <i>Fusarium</i>-sensitive accession. As infection progresses, the expression levels of the <i>VTC2</i> and <i>GalLDH</i> genes increase significantly (higher in the cv. Dubkovsky than in the cv. Podnebesny). In both cultivars, the ascorbate content increases (1.5 times higher in the cv. Dubkovsky than in the cv. Podnebesny).</p>\",\"PeriodicalId\":529,\"journal\":{\"name\":\"Doklady Biochemistry and Biophysics\",\"volume\":\"520 1\",\"pages\":\"49 - 52\"},\"PeriodicalIF\":0.7000,\"publicationDate\":\"2025-01-22\",\"publicationTypes\":\"Journal Article\",\"fieldsOfStudy\":null,\"isOpenAccess\":false,\"openAccessPdf\":\"\",\"citationCount\":\"0\",\"resultStr\":null,\"platform\":\"Semanticscholar\",\"paperid\":null,\"PeriodicalName\":\"Doklady Biochemistry and Biophysics\",\"FirstCategoryId\":\"99\",\"ListUrlMain\":\"https://link.springer.com/article/10.1134/S1607672924601057\",\"RegionNum\":4,\"RegionCategory\":\"生物学\",\"ArticlePicture\":[],\"TitleCN\":null,\"AbstractTextCN\":null,\"PMCID\":null,\"EPubDate\":\"\",\"PubModel\":\"\",\"JCR\":\"Q4\",\"JCRName\":\"BIOCHEMISTRY & MOLECULAR BIOLOGY\",\"Score\":null,\"Total\":0}","platform":"Semanticscholar","paperid":null,"PeriodicalName":"Doklady Biochemistry and Biophysics","FirstCategoryId":"99","ListUrlMain":"https://link.springer.com/article/10.1134/S1607672924601057","RegionNum":4,"RegionCategory":"生物学","ArticlePicture":[],"TitleCN":null,"AbstractTextCN":null,"PMCID":null,"EPubDate":"","PubModel":"","JCR":"Q4","JCRName":"BIOCHEMISTRY & MOLECULAR BIOLOGY","Score":null,"Total":0}
引用次数: 0

摘要

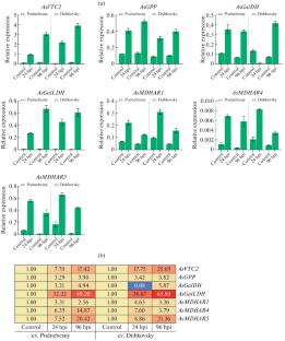
测定了抗坏血酸生物合成关键基因(VTC2、GPP、GalDH和GalLDH)和循环利用关键基因(MDHAR1、MDHAR4和MDHAR5)在大蒜枯萎病抗性品种(Podnebesny)和敏感品种(Dubkovsky)中对增殖镰刀菌感染的表达谱。研究发现,对镰刀菌抗性的差异导致抗坏血酸途径中单个基因的动态和表达以及抗坏血酸含量的差异。结果表明,MDHAR4基因在抗病品种中表达量升高,而在敏感品种中表达量降低。随着感染的进展,VTC2和GalLDH基因的表达水平显著增加(cv中较高)。杜布科夫斯基的简历。Podnebesny)。在这两个品种中,抗坏血酸含量在cv中增加了1.5倍。杜布科夫斯基的简历。Podnebesny)。
本文章由计算机程序翻译,如有差异,请以英文原文为准。

Ascorbate Biosynthesis and Recycling Genes Are Involved in the Responses of Garlic Allium sativum L. Plants to Fusarium proliferatum Infection

Ascorbate Biosynthesis and Recycling Genes Are Involved in the Responses of Garlic Allium sativum L. Plants to Fusarium proliferatum Infection

The expression profile of the key genes of biosynthesis (VTC2, GPP, GalDH, and GalLDH) and recycling (MDHAR1, MDHAR4, and MDHAR5) of ascorbate in response to infection with the fungal pathogen Fusarium proliferatum in garlic cultivars resistant (Podnebesny) and sensitive (Dubkovsky) to Fusarium rot was determined. It was found that differences in resistance to Fusarium lead to discrepancies in the dynamics and expression of individual genes of the ascorbate pathway, as well as in the ascorbate content. It was shown that, in response to infection, the expression level of the MDHAR4 gene increases in the resistant cultivar and decreases in the Fusarium-sensitive accession. As infection progresses, the expression levels of the VTC2 and GalLDH genes increase significantly (higher in the cv. Dubkovsky than in the cv. Podnebesny). In both cultivars, the ascorbate content increases (1.5 times higher in the cv. Dubkovsky than in the cv. Podnebesny).

求助全文
通过发布文献求助,成功后即可免费获取论文全文。 去求助
来源期刊
Doklady Biochemistry and Biophysics
Doklady Biochemistry and Biophysics 生物-生化与分子生物学
CiteScore
1.60
自引率
12.50%
发文量
68
审稿时长
6-12 weeks
期刊介绍: Doklady Biochemistry and Biophysics is a journal consisting of English translations of articles published in Russian in biochemistry and biophysics sections of the Russian-language journal Doklady Akademii Nauk. The journal''s goal is to publish the most significant new research in biochemistry and biophysics carried out in Russia today or in collaboration with Russian authors. The journal accepts only articles in the Russian language that are submitted or recommended by acting Russian or foreign members of the Russian Academy of Sciences. The journal does not accept direct submissions in English.
×
引用
GB/T 7714-2015
复制
MLA
复制
APA
复制
导出至
BibTeX EndNote RefMan NoteFirst NoteExpress
×
提示
您的信息不完整,为了账户安全,请先补充。
现在去补充
×
提示
您因"违规操作"
具体请查看互助需知
我知道了
×
提示
确定
请完成安全验证×
copy
已复制链接
快去分享给好友吧!
我知道了
右上角分享
点击右上角分享
0
联系我们:info@booksci.cn Book学术提供免费学术资源搜索服务,方便国内外学者检索中英文文献。致力于提供最便捷和优质的服务体验。 Copyright © 2023 布克学术 All rights reserved.
京ICP备2023020795号-1
ghs 京公网安备 11010802042870号
Book学术文献互助
Book学术文献互助群
群 号:604180095
Book学术官方微信