雄性灰鲸在觅食地的粪便睾酮水平随成熟度和时间的变化。

IF 2.5 3区 环境科学与生态学 Q2 BIODIVERSITY CONSERVATION
Conservation Physiology Pub Date : 2025-01-20 eCollection Date: 2025-01-01 DOI:10.1093/conphys/coae094
A Fernandez Ajó, C L Buck, K E Hunt, E Pirotta, L New, D Dillon, K C Bierlich, L Hildebrand, C N Bird, L G Torres
{"title":"雄性灰鲸在觅食地的粪便睾酮水平随成熟度和时间的变化。","authors":"A Fernandez Ajó, C L Buck, K E Hunt, E Pirotta, L New, D Dillon, K C Bierlich, L Hildebrand, C N Bird, L G Torres","doi":"10.1093/conphys/coae094","DOIUrl":null,"url":null,"abstract":"<p><p>Understanding wildlife reproductive seasonality is crucial for effective management and long-term monitoring of species. This study investigates the seasonal variability of testosterone in male Pacific Coast Feeding Group (PCFG) gray whales, using an eight-year dataset (2016-2023) of individual sightings, drone-based photogrammetry and endocrine analysis of faecal samples. We analyzed the relationship between faecal testosterone levels and total body length (TL), body condition (body area index, BAI), sexual maturity and day of the year using generalized additive mixed models. Our findings reveal a significant increase in faecal testosterone levels in mature males (MM) towards the end of the foraging season. This increase was not observed in JM, highlighting age-dependent development of sexual characteristics. No significant relationship was found between testosterone levels and TL. Additionally, BAI was not significantly associated with testosterone levels. Our results suggest that the increasing testosterone levels in MM gray whales may indicate preparation for mating before the southbound migration. These findings provide valuable insights into the reproductive biology of PCFG gray whales and underscore the importance of non-invasive faecal sampling for studying reproductive seasonality in large whales. Our approach not only provides further insights into the seasonality of male reproduction for the PCFG gray whales but also offers tools to enhance the understanding of male reproduction in baleen whales broadly with non-invasive approaches.</p>","PeriodicalId":54331,"journal":{"name":"Conservation Physiology","volume":"13 1","pages":"coae094"},"PeriodicalIF":2.5000,"publicationDate":"2025-01-20","publicationTypes":"Journal Article","fieldsOfStudy":null,"isOpenAccess":false,"openAccessPdf":"https://www.ncbi.nlm.nih.gov/pmc/articles/PMC11744369/pdf/","citationCount":"0","resultStr":"{\"title\":\"Variation in faecal testosterone levels in male gray whales on a foraging ground relative to maturity and timing.\",\"authors\":\"A Fernandez Ajó, C L Buck, K E Hunt, E Pirotta, L New, D Dillon, K C Bierlich, L Hildebrand, C N Bird, L G Torres\",\"doi\":\"10.1093/conphys/coae094\",\"DOIUrl\":null,\"url\":null,\"abstract\":\"<p><p>Understanding wildlife reproductive seasonality is crucial for effective management and long-term monitoring of species. This study investigates the seasonal variability of testosterone in male Pacific Coast Feeding Group (PCFG) gray whales, using an eight-year dataset (2016-2023) of individual sightings, drone-based photogrammetry and endocrine analysis of faecal samples. We analyzed the relationship between faecal testosterone levels and total body length (TL), body condition (body area index, BAI), sexual maturity and day of the year using generalized additive mixed models. Our findings reveal a significant increase in faecal testosterone levels in mature males (MM) towards the end of the foraging season. This increase was not observed in JM, highlighting age-dependent development of sexual characteristics. No significant relationship was found between testosterone levels and TL. Additionally, BAI was not significantly associated with testosterone levels. Our results suggest that the increasing testosterone levels in MM gray whales may indicate preparation for mating before the southbound migration. These findings provide valuable insights into the reproductive biology of PCFG gray whales and underscore the importance of non-invasive faecal sampling for studying reproductive seasonality in large whales. Our approach not only provides further insights into the seasonality of male reproduction for the PCFG gray whales but also offers tools to enhance the understanding of male reproduction in baleen whales broadly with non-invasive approaches.</p>\",\"PeriodicalId\":54331,\"journal\":{\"name\":\"Conservation Physiology\",\"volume\":\"13 1\",\"pages\":\"coae094\"},\"PeriodicalIF\":2.5000,\"publicationDate\":\"2025-01-20\",\"publicationTypes\":\"Journal Article\",\"fieldsOfStudy\":null,\"isOpenAccess\":false,\"openAccessPdf\":\"https://www.ncbi.nlm.nih.gov/pmc/articles/PMC11744369/pdf/\",\"citationCount\":\"0\",\"resultStr\":null,\"platform\":\"Semanticscholar\",\"paperid\":null,\"PeriodicalName\":\"Conservation Physiology\",\"FirstCategoryId\":\"93\",\"ListUrlMain\":\"https://doi.org/10.1093/conphys/coae094\",\"RegionNum\":3,\"RegionCategory\":\"环境科学与生态学\",\"ArticlePicture\":[],\"TitleCN\":null,\"AbstractTextCN\":null,\"PMCID\":null,\"EPubDate\":\"2025/1/1 0:00:00\",\"PubModel\":\"eCollection\",\"JCR\":\"Q2\",\"JCRName\":\"BIODIVERSITY CONSERVATION\",\"Score\":null,\"Total\":0}","platform":"Semanticscholar","paperid":null,"PeriodicalName":"Conservation Physiology","FirstCategoryId":"93","ListUrlMain":"https://doi.org/10.1093/conphys/coae094","RegionNum":3,"RegionCategory":"环境科学与生态学","ArticlePicture":[],"TitleCN":null,"AbstractTextCN":null,"PMCID":null,"EPubDate":"2025/1/1 0:00:00","PubModel":"eCollection","JCR":"Q2","JCRName":"BIODIVERSITY CONSERVATION","Score":null,"Total":0}
引用次数: 0

摘要

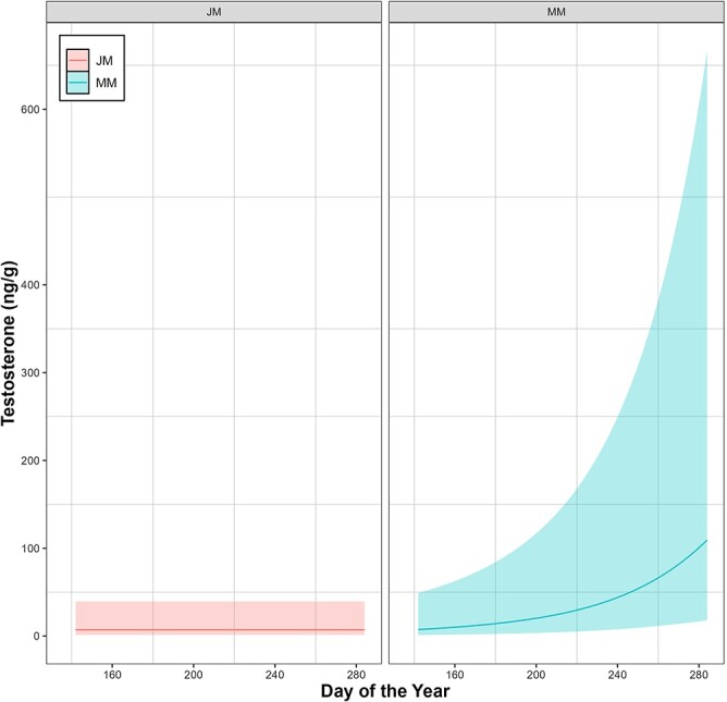
了解野生动物的繁殖季节性对物种的有效管理和长期监测至关重要。本研究利用8年(2016-2023年)的个体观测、无人机摄影测量和粪便样本的内分泌分析数据,调查了雄性太平洋海岸喂养群(PCFG)灰鲸睾酮的季节性变化。我们采用广义加性混合模型分析了粪便睾酮水平与总体长(TL)、身体状况(身体面积指数,BAI)、性成熟和年月日的关系。我们的研究结果表明,成熟雄性(MM)的粪便睾丸激素水平在觅食季节结束时显著增加。在JM中没有观察到这种增加,突出了性特征的年龄依赖性发展。睾酮水平与TL无显著相关,BAI与睾酮水平无显著相关。我们的研究结果表明,MM灰鲸睾酮水平的上升可能表明在南下迁徙之前为交配做了准备。这些发现为PCFG灰鲸的生殖生物学提供了有价值的见解,并强调了非侵入性粪便取样对研究大型鲸的生殖季节性的重要性。我们的方法不仅为PCFG灰鲸雄性繁殖的季节性提供了进一步的见解,而且还提供了一种工具,可以通过非侵入性方法广泛地提高对须鲸雄性繁殖的理解。
本文章由计算机程序翻译,如有差异,请以英文原文为准。

Variation in faecal testosterone levels in male gray whales on a foraging ground relative to maturity and timing.

Variation in faecal testosterone levels in male gray whales on a foraging ground relative to maturity and timing.

Variation in faecal testosterone levels in male gray whales on a foraging ground relative to maturity and timing.

Variation in faecal testosterone levels in male gray whales on a foraging ground relative to maturity and timing.

Understanding wildlife reproductive seasonality is crucial for effective management and long-term monitoring of species. This study investigates the seasonal variability of testosterone in male Pacific Coast Feeding Group (PCFG) gray whales, using an eight-year dataset (2016-2023) of individual sightings, drone-based photogrammetry and endocrine analysis of faecal samples. We analyzed the relationship between faecal testosterone levels and total body length (TL), body condition (body area index, BAI), sexual maturity and day of the year using generalized additive mixed models. Our findings reveal a significant increase in faecal testosterone levels in mature males (MM) towards the end of the foraging season. This increase was not observed in JM, highlighting age-dependent development of sexual characteristics. No significant relationship was found between testosterone levels and TL. Additionally, BAI was not significantly associated with testosterone levels. Our results suggest that the increasing testosterone levels in MM gray whales may indicate preparation for mating before the southbound migration. These findings provide valuable insights into the reproductive biology of PCFG gray whales and underscore the importance of non-invasive faecal sampling for studying reproductive seasonality in large whales. Our approach not only provides further insights into the seasonality of male reproduction for the PCFG gray whales but also offers tools to enhance the understanding of male reproduction in baleen whales broadly with non-invasive approaches.

求助全文
通过发布文献求助,成功后即可免费获取论文全文。 去求助
来源期刊
Conservation Physiology
Conservation Physiology Environmental Science-Management, Monitoring, Policy and Law
CiteScore
5.10
自引率
3.70%
发文量
71
审稿时长
11 weeks
期刊介绍: Conservation Physiology is an online only, fully open access journal published on behalf of the Society for Experimental Biology. Biodiversity across the globe faces a growing number of threats associated with human activities. Conservation Physiology will publish research on all taxa (microbes, plants and animals) focused on understanding and predicting how organisms, populations, ecosystems and natural resources respond to environmental change and stressors. Physiology is considered in the broadest possible terms to include functional and mechanistic responses at all scales. We also welcome research towards developing and refining strategies to rebuild populations, restore ecosystems, inform conservation policy, and manage living resources. We define conservation physiology broadly and encourage potential authors to contact the editorial team if they have any questions regarding the remit of the journal.
×
引用
GB/T 7714-2015
复制
MLA
复制
APA
复制
导出至
BibTeX EndNote RefMan NoteFirst NoteExpress
×
提示
您的信息不完整,为了账户安全,请先补充。
现在去补充
×
提示
您因"违规操作"
具体请查看互助需知
我知道了
×
提示
确定
请完成安全验证×
copy
已复制链接
快去分享给好友吧!
我知道了
右上角分享
点击右上角分享
0
联系我们:info@booksci.cn Book学术提供免费学术资源搜索服务,方便国内外学者检索中英文文献。致力于提供最便捷和优质的服务体验。 Copyright © 2023 布克学术 All rights reserved.
京ICP备2023020795号-1
ghs 京公网安备 11010802042870号
Book学术文献互助
Book学术文献互助群
群 号:604180095
Book学术官方微信