各种激素在不同多囊卵巢综合征表型中的诊断效用:一项横断面研究。

IF 1.1 Q2 Medicine
Journal of Human Reproductive Sciences Pub Date : 2024-10-01 Epub Date: 2024-12-23 DOI:10.4103/jhrs.jhrs_152_24
Padala Ravi Kumar, Radha Krishna Telagareddy, Deepak Kumar Dash, Debasish Patro
{"title":"各种激素在不同多囊卵巢综合征表型中的诊断效用:一项横断面研究。","authors":"Padala Ravi Kumar, Radha Krishna Telagareddy, Deepak Kumar Dash, Debasish Patro","doi":"10.4103/jhrs.jhrs_152_24","DOIUrl":null,"url":null,"abstract":"<p><strong>Background: </strong>Polycystic ovary syndrome (PCOS) presents a complex diagnostic challenge due to its heterogeneous nature.</p><p><strong>Aim: </strong>This study aimed to examine the diagnostic utility of various hormones across different PCOS phenotypes.</p><p><strong>Settings and design: </strong>This cross-sectional study was carried out in 187 newly diagnosed PCOS women (18-40 years) attending the outdoor clinics of the department of endocrinology and obstetrics and gynaecology of a tertiary care centre in India.</p><p><strong>Materials and methods: </strong>One hundred and eighty-seven PCOS women based on revised Rotterdam 2003 criteria were recruited. Ninety-four age-matched healthy females were taken as controls. All PCOS women were categorised into four phenotypes (A, B, C and D) based on the National Institute of Health (2012) criteria. Detailed clinical examination and hormonal investigations including testosterone, androstenedione, dehydroepiandrosterone sulphate (DHEAS) and anti-Müllerian hormone (AMH) were performed.</p><p><strong>Statistical analysis used: </strong>The receiver operating characteristic curve (ROC) was generated to find the diagnostic utility of various hormones by using SPSS version 26.0 software.</p><p><strong>Results: </strong>The largest PCOS group was phenotype A (33.15%, <i>n</i> = 61) followed by phenotype B (28.6%, <i>n</i> = 52), phenotype D (23.9%, <i>n</i> = 44) and phenotype C (16.3%, <i>n</i> = 30). In ROC analysis, AMH and testosterone (except phenotype D) were good diagnostic parameters for PCOS. AMH cutoffs varied from 4.4 to 5.6 ng/mL with sensitivities and specificities ranging from 86% to 97% and 85% to 100%, respectively, across all PCOS phenotypes. In the entire PCOS cohort, AMH at an optimal cutoff of 5.28 ng/mL had sensitivity and specificity of 87% and 97%, respectively, for the diagnosis of PCOS. Optimal testosterone cutoffs were 29.3, 25.1 and 23.1 ng/dL for phenotypes A, B and C, respectively, with reasonable sensitivities and specificities but not in phenotype D. Luteinising hormone (LH), follicle-stimulating hormone (FSH), LH/FSH ratio, androstenedione and DHEAS had low-to-moderate sensitivity across all phenotypes.</p><p><strong>Conclusion: </strong>AMH is a useful hormonal diagnostic marker for PCOS across all phenotypes.</p>","PeriodicalId":15975,"journal":{"name":"Journal of Human Reproductive Sciences","volume":"17 4","pages":"275-283"},"PeriodicalIF":1.1000,"publicationDate":"2024-10-01","publicationTypes":"Journal Article","fieldsOfStudy":null,"isOpenAccess":false,"openAccessPdf":"https://www.ncbi.nlm.nih.gov/pmc/articles/PMC11741125/pdf/","citationCount":"0","resultStr":"{\"title\":\"Diagnostic Utility of Various Hormones across Different Polycystic Ovary Syndrome Phenotypes: A Cross-sectional Study.\",\"authors\":\"Padala Ravi Kumar, Radha Krishna Telagareddy, Deepak Kumar Dash, Debasish Patro\",\"doi\":\"10.4103/jhrs.jhrs_152_24\",\"DOIUrl\":null,\"url\":null,\"abstract\":\"<p><strong>Background: </strong>Polycystic ovary syndrome (PCOS) presents a complex diagnostic challenge due to its heterogeneous nature.</p><p><strong>Aim: </strong>This study aimed to examine the diagnostic utility of various hormones across different PCOS phenotypes.</p><p><strong>Settings and design: </strong>This cross-sectional study was carried out in 187 newly diagnosed PCOS women (18-40 years) attending the outdoor clinics of the department of endocrinology and obstetrics and gynaecology of a tertiary care centre in India.</p><p><strong>Materials and methods: </strong>One hundred and eighty-seven PCOS women based on revised Rotterdam 2003 criteria were recruited. Ninety-four age-matched healthy females were taken as controls. All PCOS women were categorised into four phenotypes (A, B, C and D) based on the National Institute of Health (2012) criteria. Detailed clinical examination and hormonal investigations including testosterone, androstenedione, dehydroepiandrosterone sulphate (DHEAS) and anti-Müllerian hormone (AMH) were performed.</p><p><strong>Statistical analysis used: </strong>The receiver operating characteristic curve (ROC) was generated to find the diagnostic utility of various hormones by using SPSS version 26.0 software.</p><p><strong>Results: </strong>The largest PCOS group was phenotype A (33.15%, <i>n</i> = 61) followed by phenotype B (28.6%, <i>n</i> = 52), phenotype D (23.9%, <i>n</i> = 44) and phenotype C (16.3%, <i>n</i> = 30). In ROC analysis, AMH and testosterone (except phenotype D) were good diagnostic parameters for PCOS. AMH cutoffs varied from 4.4 to 5.6 ng/mL with sensitivities and specificities ranging from 86% to 97% and 85% to 100%, respectively, across all PCOS phenotypes. In the entire PCOS cohort, AMH at an optimal cutoff of 5.28 ng/mL had sensitivity and specificity of 87% and 97%, respectively, for the diagnosis of PCOS. Optimal testosterone cutoffs were 29.3, 25.1 and 23.1 ng/dL for phenotypes A, B and C, respectively, with reasonable sensitivities and specificities but not in phenotype D. Luteinising hormone (LH), follicle-stimulating hormone (FSH), LH/FSH ratio, androstenedione and DHEAS had low-to-moderate sensitivity across all phenotypes.</p><p><strong>Conclusion: </strong>AMH is a useful hormonal diagnostic marker for PCOS across all phenotypes.</p>\",\"PeriodicalId\":15975,\"journal\":{\"name\":\"Journal of Human Reproductive Sciences\",\"volume\":\"17 4\",\"pages\":\"275-283\"},\"PeriodicalIF\":1.1000,\"publicationDate\":\"2024-10-01\",\"publicationTypes\":\"Journal Article\",\"fieldsOfStudy\":null,\"isOpenAccess\":false,\"openAccessPdf\":\"https://www.ncbi.nlm.nih.gov/pmc/articles/PMC11741125/pdf/\",\"citationCount\":\"0\",\"resultStr\":null,\"platform\":\"Semanticscholar\",\"paperid\":null,\"PeriodicalName\":\"Journal of Human Reproductive Sciences\",\"FirstCategoryId\":\"1085\",\"ListUrlMain\":\"https://doi.org/10.4103/jhrs.jhrs_152_24\",\"RegionNum\":0,\"RegionCategory\":null,\"ArticlePicture\":[],\"TitleCN\":null,\"AbstractTextCN\":null,\"PMCID\":null,\"EPubDate\":\"2024/12/23 0:00:00\",\"PubModel\":\"Epub\",\"JCR\":\"Q2\",\"JCRName\":\"Medicine\",\"Score\":null,\"Total\":0}","platform":"Semanticscholar","paperid":null,"PeriodicalName":"Journal of Human Reproductive Sciences","FirstCategoryId":"1085","ListUrlMain":"https://doi.org/10.4103/jhrs.jhrs_152_24","RegionNum":0,"RegionCategory":null,"ArticlePicture":[],"TitleCN":null,"AbstractTextCN":null,"PMCID":null,"EPubDate":"2024/12/23 0:00:00","PubModel":"Epub","JCR":"Q2","JCRName":"Medicine","Score":null,"Total":0}
引用次数: 0

摘要

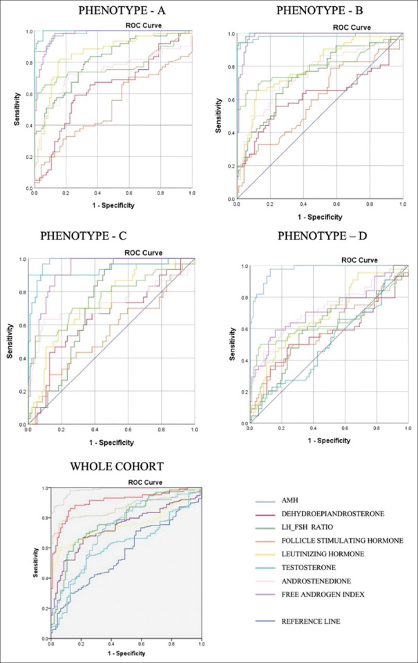
背景:多囊卵巢综合征(PCOS)由于其异质性而呈现出复杂的诊断挑战。目的:本研究旨在探讨各种激素在不同PCOS表型中的诊断效用。背景和设计:本横断面研究在印度一家三级保健中心内分泌科和妇产科室外诊所就诊的187名新诊断为多囊卵巢综合征的妇女(18-40岁)中进行。材料和方法:根据2003年修订的鹿特丹标准招募了187名PCOS妇女。94名年龄匹配的健康女性作为对照。根据国家卫生研究所(2012年)的标准,所有多囊卵巢综合征妇女被分为四种表型(A、B、C和D)。进行了详细的临床检查和激素检查,包括睾酮、雄烯二酮、硫酸脱氢表雄酮(DHEAS)和抗勒氏杆菌激素(AMH)。采用统计学分析:采用SPSS 26.0版软件,生成受试者工作特征曲线(ROC),寻找各种激素的诊断效用。结果:PCOS组以A型最多(33.15%,n = 61),其次为B型(28.6%,n = 52)、D型(23.9%,n = 44)、C型(16.3%,n = 30)。在ROC分析中,AMH和睾酮(除表型D外)是PCOS的良好诊断参数。AMH截止值从4.4到5.6 ng/mL不等,敏感性和特异性在所有PCOS表型中分别为86%至97%和85%至100%。在整个PCOS队列中,最佳临界值为5.28 ng/mL的AMH诊断PCOS的敏感性和特异性分别为87%和97%。A、B和C表型的最佳睾酮临界值分别为29.3、25.1和23.1 ng/dL,具有合理的敏感性和特异性,但在d表型中则没有。黄体生成素(LH)、促卵泡激素(FSH)、LH/FSH比值、雄烯二酮和DHEAS在所有表型中都具有中低敏感性。结论:AMH是一种有用的激素诊断指标,适用于所有表型的PCOS。
本文章由计算机程序翻译,如有差异,请以英文原文为准。

Diagnostic Utility of Various Hormones across Different Polycystic Ovary Syndrome Phenotypes: A Cross-sectional Study.

Diagnostic Utility of Various Hormones across Different Polycystic Ovary Syndrome Phenotypes: A Cross-sectional Study.

Background: Polycystic ovary syndrome (PCOS) presents a complex diagnostic challenge due to its heterogeneous nature.

Aim: This study aimed to examine the diagnostic utility of various hormones across different PCOS phenotypes.

Settings and design: This cross-sectional study was carried out in 187 newly diagnosed PCOS women (18-40 years) attending the outdoor clinics of the department of endocrinology and obstetrics and gynaecology of a tertiary care centre in India.

Materials and methods: One hundred and eighty-seven PCOS women based on revised Rotterdam 2003 criteria were recruited. Ninety-four age-matched healthy females were taken as controls. All PCOS women were categorised into four phenotypes (A, B, C and D) based on the National Institute of Health (2012) criteria. Detailed clinical examination and hormonal investigations including testosterone, androstenedione, dehydroepiandrosterone sulphate (DHEAS) and anti-Müllerian hormone (AMH) were performed.

Statistical analysis used: The receiver operating characteristic curve (ROC) was generated to find the diagnostic utility of various hormones by using SPSS version 26.0 software.

Results: The largest PCOS group was phenotype A (33.15%, n = 61) followed by phenotype B (28.6%, n = 52), phenotype D (23.9%, n = 44) and phenotype C (16.3%, n = 30). In ROC analysis, AMH and testosterone (except phenotype D) were good diagnostic parameters for PCOS. AMH cutoffs varied from 4.4 to 5.6 ng/mL with sensitivities and specificities ranging from 86% to 97% and 85% to 100%, respectively, across all PCOS phenotypes. In the entire PCOS cohort, AMH at an optimal cutoff of 5.28 ng/mL had sensitivity and specificity of 87% and 97%, respectively, for the diagnosis of PCOS. Optimal testosterone cutoffs were 29.3, 25.1 and 23.1 ng/dL for phenotypes A, B and C, respectively, with reasonable sensitivities and specificities but not in phenotype D. Luteinising hormone (LH), follicle-stimulating hormone (FSH), LH/FSH ratio, androstenedione and DHEAS had low-to-moderate sensitivity across all phenotypes.

Conclusion: AMH is a useful hormonal diagnostic marker for PCOS across all phenotypes.

求助全文
通过发布文献求助,成功后即可免费获取论文全文。 去求助
来源期刊
Journal of Human Reproductive Sciences
Journal of Human Reproductive Sciences Medicine-Reproductive Medicine
CiteScore
2.60
自引率
0.00%
发文量
50
审稿时长
23 weeks
期刊介绍: The Journal of Human Reproductive Sciences (JHRS) (ISSN:0974-1208) a Quarterly peer-reviewed international journal is being launched in January 2008 under the auspices of Indian Society of Assisted Reproduction. The journal will cover all aspects human reproduction including Andrology, Assisted conception, Endocrinology, Physiology and Pathology, Implantation, Preimplantation Diagnosis, Preimplantation Genetic Diagnosis, Embryology as well as Ethical, Legal and Social issues. The journal will publish peer-reviewed original research papers, case reports, systematic reviews, meta-analysis, and debates.
×
引用
GB/T 7714-2015
复制
MLA
复制
APA
复制
导出至
BibTeX EndNote RefMan NoteFirst NoteExpress
×
提示
您的信息不完整,为了账户安全,请先补充。
现在去补充
×
提示
您因"违规操作"
具体请查看互助需知
我知道了
×
提示
确定
请完成安全验证×
copy
已复制链接
快去分享给好友吧!
我知道了
右上角分享
点击右上角分享
0
联系我们:info@booksci.cn Book学术提供免费学术资源搜索服务,方便国内外学者检索中英文文献。致力于提供最便捷和优质的服务体验。 Copyright © 2023 布克学术 All rights reserved.
京ICP备2023020795号-1
ghs 京公网安备 11010802042870号
Book学术文献互助
Book学术文献互助群
群 号:604180095
Book学术官方微信