ARC-HD研究中每日高剂量与低剂量二苯那嗪治疗亨廷顿病舞蹈病的安全性和有效性

IF 7.4 2区 医学 Q1 CLINICAL NEUROLOGY
CNS drugs Pub Date : 2025-02-01 Epub Date: 2025-01-18 DOI:10.1007/s40263-024-01139-3
Samuel Frank, Claudia M Testa, Jody Goldstein, Elise Kayson, Blair R Leavitt, David Oakes, Christine O'Neill, Jacquelyn Whaley, Nicholas Gross, Nayla Chaijale, Steve Barash, Mark Forrest Gordon
{"title":"ARC-HD研究中每日高剂量与低剂量二苯那嗪治疗亨廷顿病舞蹈病的安全性和有效性","authors":"Samuel Frank, Claudia M Testa, Jody Goldstein, Elise Kayson, Blair R Leavitt, David Oakes, Christine O'Neill, Jacquelyn Whaley, Nicholas Gross, Nayla Chaijale, Steve Barash, Mark Forrest Gordon","doi":"10.1007/s40263-024-01139-3","DOIUrl":null,"url":null,"abstract":"<p><strong>Background: </strong>Huntington disease (HD) is a progressive neurodegenerative disease that causes psychiatric and neurological symptoms, including involuntary and irregular muscle movements (chorea). Chorea can disrupt activities of daily living, pose safety issues, and may lead to social withdrawal. The vesicular monoamine transporter 2 inhibitors tetrabenazine, deutetrabenazine, and valbenazine are approved treatments that can reduce chorea.</p><p><strong>Objective: </strong>This post hoc analysis was conducted to evaluate safety and efficacy among participants who received high-dosage deutetrabenazine treatment (> 48 mg/d) in ARC-HD, an open-label study that assessed long-term safety and efficacy of deutetrabenazine for the treatment of chorea in HD in adults.</p><p><strong>Methods: </strong>ARC-HD was a single-arm, two-cohort, open-label study. Participants either successfully completed the First-HD study or switched overnight from tetrabenazine to deutetrabenazine. Participants were dosed with deutetrabenazine in a response-driven manner (maximum 72 mg/d allowed). For the current analysis, exposure-adjusted incidence rates (EAIRs) for adverse events of interest were analyzed according to daily dosage (≤ 48 mg/d versus > 48 mg/d), and total maximal chorea (TMC) scores were analyzed by cohort during the stable-dose period.</p><p><strong>Results: </strong>In total, 116 of the 119 participants enrolled in ARC-HD entered the stable-dose period, where no apparent differences were seen in EAIRs when receiving deutetrabenazine dosages ≤ 48 mg/d (exposure = 177.7 person-years) compared with > 48 mg/d (exposure = 74.1 person-years). Similar results were found among the subset of participants who received deutetrabenazine dosages > 48 mg/d at least once during the study (n = 49, 42%) when their dosage was ≤ 48 mg/d (exposure = 37.9 person-years) versus > 48 mg/d (74.1 person-years). Efficacy analyses were conducted for participants who had TMC scores available (rollover cohort, n = 77; switch cohort, n = 35). For most participants, the lowest deutetrabenazine dosage needed to achieve a TMC response (≥ 30% improvement from baseline) was between 24 and 48 mg/d in both the rollover (n = 57, 74.0%) and switch (n = 16, 46.0%) cohorts. Whereas the dosage needed for a TMC response was independent of baseline TMC score in the rollover cohort, participants with higher baseline TMC scores in the switch cohort required higher dosages to achieve a TMC response during the trial.</p><p><strong>Conclusions: </strong>In this open-label, long-term study, some participants received deutetrabenazine dosing > 48 mg/d to achieve adequate chorea control. There was no new safety concern or incremental change in the safety profile between dosages of ≤ 48 mg/d and > 48 mg/d. These results include dosages that have not been approved for clinical use, however, they increase our understanding of safety and tolerability of deutetrabenazine doses.</p><p><strong>Clinical trials registration: </strong>ARC-HD (ClinicalTrials.gov identifier: NCT01897896); First-HD (ClinicalTrials.gov identifier: NCT01795859).</p>","PeriodicalId":10508,"journal":{"name":"CNS drugs","volume":" ","pages":"185-195"},"PeriodicalIF":7.4000,"publicationDate":"2025-02-01","publicationTypes":"Journal Article","fieldsOfStudy":null,"isOpenAccess":false,"openAccessPdf":"https://www.ncbi.nlm.nih.gov/pmc/articles/PMC11769868/pdf/","citationCount":"0","resultStr":"{\"title\":\"Safety and Efficacy of Deutetrabenazine at High versus Lower Daily Dosages in the ARC-HD Study to Treat Chorea in Huntington Disease.\",\"authors\":\"Samuel Frank, Claudia M Testa, Jody Goldstein, Elise Kayson, Blair R Leavitt, David Oakes, Christine O'Neill, Jacquelyn Whaley, Nicholas Gross, Nayla Chaijale, Steve Barash, Mark Forrest Gordon\",\"doi\":\"10.1007/s40263-024-01139-3\",\"DOIUrl\":null,\"url\":null,\"abstract\":\"<p><strong>Background: </strong>Huntington disease (HD) is a progressive neurodegenerative disease that causes psychiatric and neurological symptoms, including involuntary and irregular muscle movements (chorea). Chorea can disrupt activities of daily living, pose safety issues, and may lead to social withdrawal. The vesicular monoamine transporter 2 inhibitors tetrabenazine, deutetrabenazine, and valbenazine are approved treatments that can reduce chorea.</p><p><strong>Objective: </strong>This post hoc analysis was conducted to evaluate safety and efficacy among participants who received high-dosage deutetrabenazine treatment (> 48 mg/d) in ARC-HD, an open-label study that assessed long-term safety and efficacy of deutetrabenazine for the treatment of chorea in HD in adults.</p><p><strong>Methods: </strong>ARC-HD was a single-arm, two-cohort, open-label study. Participants either successfully completed the First-HD study or switched overnight from tetrabenazine to deutetrabenazine. Participants were dosed with deutetrabenazine in a response-driven manner (maximum 72 mg/d allowed). For the current analysis, exposure-adjusted incidence rates (EAIRs) for adverse events of interest were analyzed according to daily dosage (≤ 48 mg/d versus > 48 mg/d), and total maximal chorea (TMC) scores were analyzed by cohort during the stable-dose period.</p><p><strong>Results: </strong>In total, 116 of the 119 participants enrolled in ARC-HD entered the stable-dose period, where no apparent differences were seen in EAIRs when receiving deutetrabenazine dosages ≤ 48 mg/d (exposure = 177.7 person-years) compared with > 48 mg/d (exposure = 74.1 person-years). Similar results were found among the subset of participants who received deutetrabenazine dosages > 48 mg/d at least once during the study (n = 49, 42%) when their dosage was ≤ 48 mg/d (exposure = 37.9 person-years) versus > 48 mg/d (74.1 person-years). Efficacy analyses were conducted for participants who had TMC scores available (rollover cohort, n = 77; switch cohort, n = 35). For most participants, the lowest deutetrabenazine dosage needed to achieve a TMC response (≥ 30% improvement from baseline) was between 24 and 48 mg/d in both the rollover (n = 57, 74.0%) and switch (n = 16, 46.0%) cohorts. Whereas the dosage needed for a TMC response was independent of baseline TMC score in the rollover cohort, participants with higher baseline TMC scores in the switch cohort required higher dosages to achieve a TMC response during the trial.</p><p><strong>Conclusions: </strong>In this open-label, long-term study, some participants received deutetrabenazine dosing > 48 mg/d to achieve adequate chorea control. There was no new safety concern or incremental change in the safety profile between dosages of ≤ 48 mg/d and > 48 mg/d. These results include dosages that have not been approved for clinical use, however, they increase our understanding of safety and tolerability of deutetrabenazine doses.</p><p><strong>Clinical trials registration: </strong>ARC-HD (ClinicalTrials.gov identifier: NCT01897896); First-HD (ClinicalTrials.gov identifier: NCT01795859).</p>\",\"PeriodicalId\":10508,\"journal\":{\"name\":\"CNS drugs\",\"volume\":\" \",\"pages\":\"185-195\"},\"PeriodicalIF\":7.4000,\"publicationDate\":\"2025-02-01\",\"publicationTypes\":\"Journal Article\",\"fieldsOfStudy\":null,\"isOpenAccess\":false,\"openAccessPdf\":\"https://www.ncbi.nlm.nih.gov/pmc/articles/PMC11769868/pdf/\",\"citationCount\":\"0\",\"resultStr\":null,\"platform\":\"Semanticscholar\",\"paperid\":null,\"PeriodicalName\":\"CNS drugs\",\"FirstCategoryId\":\"3\",\"ListUrlMain\":\"https://doi.org/10.1007/s40263-024-01139-3\",\"RegionNum\":2,\"RegionCategory\":\"医学\",\"ArticlePicture\":[],\"TitleCN\":null,\"AbstractTextCN\":null,\"PMCID\":null,\"EPubDate\":\"2025/1/18 0:00:00\",\"PubModel\":\"Epub\",\"JCR\":\"Q1\",\"JCRName\":\"CLINICAL NEUROLOGY\",\"Score\":null,\"Total\":0}","platform":"Semanticscholar","paperid":null,"PeriodicalName":"CNS drugs","FirstCategoryId":"3","ListUrlMain":"https://doi.org/10.1007/s40263-024-01139-3","RegionNum":2,"RegionCategory":"医学","ArticlePicture":[],"TitleCN":null,"AbstractTextCN":null,"PMCID":null,"EPubDate":"2025/1/18 0:00:00","PubModel":"Epub","JCR":"Q1","JCRName":"CLINICAL NEUROLOGY","Score":null,"Total":0}
引用次数: 0

摘要

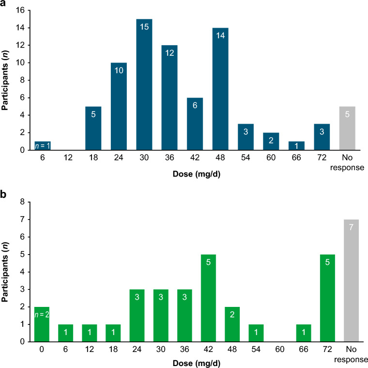
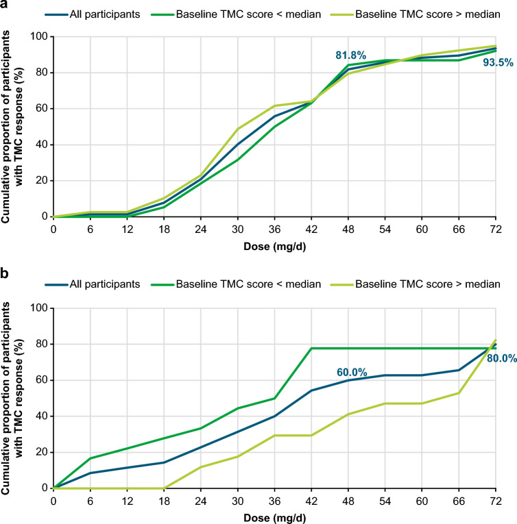
背景:亨廷顿病(HD)是一种进行性神经退行性疾病,可引起精神和神经系统症状,包括不自主和不规则肌肉运动(舞蹈病)。舞蹈病会扰乱日常生活活动,造成安全问题,并可能导致社交退缩。水疱单胺转运蛋白2抑制剂tetrabenazine, deutetrabenazine和valbenazine是被批准的可以减少舞蹈病的治疗方法。目的:本事后分析是为了评估ARC-HD中接受高剂量deutetrabenazine治疗(> 48 mg/d)的参与者的安全性和有效性,ARC-HD是一项开放标签研究,评估deutetrabenazine治疗成人HD舞蹈病的长期安全性和有效性。方法:ARC-HD是一项单臂、双队列、开放标签的研究。参与者要么成功地完成了First-HD研究,要么在一夜之间从四苯那嗪切换到二苯那嗪。参与者以反应驱动的方式给药二苯四嗪(最大允许72mg /d)。在当前的分析中,根据每日剂量(≤48 mg/d vs . 0 48 mg/d)分析了感兴趣的不良事件的暴露调整发生率(EAIRs),并在稳定剂量期间通过队列分析了总最大chorea (TMC)评分。结果:在ARC-HD的119名参与者中,总共有116人进入稳定剂量期,在此期间,接受deutetrabenazine剂量≤48 mg/d(暴露= 177.7人年)与接受deutetrabenazine剂量≤48 mg/d(暴露= 74.1人年)的EAIRs没有明显差异。在剂量≤48 mg/d(暴露量= 37.9人-年)与> 48 mg/d(74.1人-年)相比,在研究期间接受deutetrabenazine剂量> 48 mg/d至少一次的参与者亚组(n = 49.42%)中也发现了类似的结果。对可获得TMC分数的参与者进行疗效分析(翻转队列,n = 77;切换队列,n = 35)。对于大多数参与者来说,在翻转组(n = 57, 74.0%)和切换组(n = 16, 46.0%)中,达到TMC反应(比基线改善≥30%)所需的最低deutetrabenazine剂量在24 - 48 mg/d之间。然而,在翻转队列中,TMC反应所需的剂量与基线TMC评分无关,而在切换队列中,基线TMC评分较高的参与者在试验期间需要更高的剂量才能达到TMC反应。结论:在这项开放标签的长期研究中,一些参与者接受了deutetrabenazine剂量bbb48mg /d,以达到足够的舞蹈病控制。在剂量≤48mg /d和> 48mg /d之间,没有新的安全性问题或安全性特征的增量变化。这些结果包括尚未批准临床使用的剂量,然而,它们增加了我们对二氘苯那嗪剂量的安全性和耐受性的理解。临床试验注册:ARC-HD (ClinicalTrials.gov标识符:NCT01897896);First-HD (ClinicalTrials.gov标识符:NCT01795859)。
本文章由计算机程序翻译,如有差异,请以英文原文为准。

Safety and Efficacy of Deutetrabenazine at High versus Lower Daily Dosages in the ARC-HD Study to Treat Chorea in Huntington Disease.

Safety and Efficacy of Deutetrabenazine at High versus Lower Daily Dosages in the ARC-HD Study to Treat Chorea in Huntington Disease.

Safety and Efficacy of Deutetrabenazine at High versus Lower Daily Dosages in the ARC-HD Study to Treat Chorea in Huntington Disease.

Safety and Efficacy of Deutetrabenazine at High versus Lower Daily Dosages in the ARC-HD Study to Treat Chorea in Huntington Disease.

Background: Huntington disease (HD) is a progressive neurodegenerative disease that causes psychiatric and neurological symptoms, including involuntary and irregular muscle movements (chorea). Chorea can disrupt activities of daily living, pose safety issues, and may lead to social withdrawal. The vesicular monoamine transporter 2 inhibitors tetrabenazine, deutetrabenazine, and valbenazine are approved treatments that can reduce chorea.

Objective: This post hoc analysis was conducted to evaluate safety and efficacy among participants who received high-dosage deutetrabenazine treatment (> 48 mg/d) in ARC-HD, an open-label study that assessed long-term safety and efficacy of deutetrabenazine for the treatment of chorea in HD in adults.

Methods: ARC-HD was a single-arm, two-cohort, open-label study. Participants either successfully completed the First-HD study or switched overnight from tetrabenazine to deutetrabenazine. Participants were dosed with deutetrabenazine in a response-driven manner (maximum 72 mg/d allowed). For the current analysis, exposure-adjusted incidence rates (EAIRs) for adverse events of interest were analyzed according to daily dosage (≤ 48 mg/d versus > 48 mg/d), and total maximal chorea (TMC) scores were analyzed by cohort during the stable-dose period.

Results: In total, 116 of the 119 participants enrolled in ARC-HD entered the stable-dose period, where no apparent differences were seen in EAIRs when receiving deutetrabenazine dosages ≤ 48 mg/d (exposure = 177.7 person-years) compared with > 48 mg/d (exposure = 74.1 person-years). Similar results were found among the subset of participants who received deutetrabenazine dosages > 48 mg/d at least once during the study (n = 49, 42%) when their dosage was ≤ 48 mg/d (exposure = 37.9 person-years) versus > 48 mg/d (74.1 person-years). Efficacy analyses were conducted for participants who had TMC scores available (rollover cohort, n = 77; switch cohort, n = 35). For most participants, the lowest deutetrabenazine dosage needed to achieve a TMC response (≥ 30% improvement from baseline) was between 24 and 48 mg/d in both the rollover (n = 57, 74.0%) and switch (n = 16, 46.0%) cohorts. Whereas the dosage needed for a TMC response was independent of baseline TMC score in the rollover cohort, participants with higher baseline TMC scores in the switch cohort required higher dosages to achieve a TMC response during the trial.

Conclusions: In this open-label, long-term study, some participants received deutetrabenazine dosing > 48 mg/d to achieve adequate chorea control. There was no new safety concern or incremental change in the safety profile between dosages of ≤ 48 mg/d and > 48 mg/d. These results include dosages that have not been approved for clinical use, however, they increase our understanding of safety and tolerability of deutetrabenazine doses.

Clinical trials registration: ARC-HD (ClinicalTrials.gov identifier: NCT01897896); First-HD (ClinicalTrials.gov identifier: NCT01795859).

求助全文
通过发布文献求助,成功后即可免费获取论文全文。 去求助
来源期刊
CNS drugs
CNS drugs 医学-精神病学
CiteScore
12.00
自引率
3.30%
发文量
82
审稿时长
6-12 weeks
期刊介绍: CNS Drugs promotes rational pharmacotherapy within the disciplines of clinical psychiatry and neurology. The Journal includes: - Overviews of contentious or emerging issues. - Comprehensive narrative reviews that provide an authoritative source of information on pharmacological approaches to managing neurological and psychiatric illnesses. - Systematic reviews that collate empirical evidence to answer a specific research question, using explicit, systematic methods as outlined by the PRISMA statement. - Adis Drug Reviews of the properties and place in therapy of both newer and established drugs in neurology and psychiatry. - Original research articles reporting the results of well-designed studies with a strong link to clinical practice, such as clinical pharmacodynamic and pharmacokinetic studies, clinical trials, meta-analyses, outcomes research, and pharmacoeconomic and pharmacoepidemiological studies. Additional digital features (including animated abstracts, video abstracts, slide decks, audio slides, instructional videos, infographics, podcasts and animations) can be published with articles; these are designed to increase the visibility, readership and educational value of the journal’s content. In addition, articles published in CNS Drugs may be accompanied by plain language summaries to assist readers who have some knowledge of, but not in-depth expertise in, the area to understand important medical advances.
×
引用
GB/T 7714-2015
复制
MLA
复制
APA
复制
导出至
BibTeX EndNote RefMan NoteFirst NoteExpress
×
提示
您的信息不完整,为了账户安全,请先补充。
现在去补充
×
提示
您因"违规操作"
具体请查看互助需知
我知道了
×
提示
确定
请完成安全验证×
copy
已复制链接
快去分享给好友吧!
我知道了
右上角分享
点击右上角分享
0
联系我们:info@booksci.cn Book学术提供免费学术资源搜索服务,方便国内外学者检索中英文文献。致力于提供最便捷和优质的服务体验。 Copyright © 2023 布克学术 All rights reserved.
京ICP备2023020795号-1
ghs 京公网安备 11010802042870号
Book学术文献互助
Book学术文献互助群
群 号:604180095
Book学术官方微信