情绪失调和冲动是成人注意力缺陷/多动障碍和边缘型人格障碍的重叠症状:严重程度概况及其与儿童创伤和人格功能的关系

IF 3.6 3区 医学 Q1 PSYCHIATRY
Eszter Kenézlői, Lívia Balogh, Szilvia Somogyi, Evelyn E Lévay, Zsuzsa Halmai, Zsófia Nemoda, Zsolt S Unoka, János M Réthelyi
{"title":"情绪失调和冲动是成人注意力缺陷/多动障碍和边缘型人格障碍的重叠症状:严重程度概况及其与儿童创伤和人格功能的关系","authors":"Eszter Kenézlői, Lívia Balogh, Szilvia Somogyi, Evelyn E Lévay, Zsuzsa Halmai, Zsófia Nemoda, Zsolt S Unoka, János M Réthelyi","doi":"10.1186/s12991-024-00540-y","DOIUrl":null,"url":null,"abstract":"<p><strong>Background: </strong>Increased levels of emotion dysregulation and impulsive behavior are overlapping symptoms in adult Attention-Deficit/Hyperactivity Disorder (aADHD) and Borderline Personality Disorder (BPD), both symptom domains reflecting on inhibitory control, although from different angles. Our aims were to describe their differences in the above conditions, investigate their associations with childhood traumatization, and to explore the potential mediation of emotion dysregulation and impulsivity between childhood traumas and personality functioning.</p><p><strong>Methods: </strong>Young adults between 18 and 36 years diagnosed with aADHD (n = 100) and BPD (n = 63) were investigated with structured clinical interviews, while age-matched healthy controls (n = 100) were screened for psychiatric disorders. Patients with aADHD-BPD comorbidity were excluded from further analyses. The Difficulties in Emotion Regulation Scale, the Barratt Impulsiveness Scale, the Level of Personality Functioning Scale, and the Childhood Trauma Questionnaire-Short Form were administered to investigate trait measures and childhood traumatization, respectively. Behavioral impulsivity and delay aversion were assessed using selected tests of the Cambridge Neuropsychological Test Automated Battery, and a computerized decision-making paradigm based on the Rogers decision-making task, respectively.</p><p><strong>Results: </strong>Significantly higher levels of emotion dysregulation and impulsivity were present both in the aADHD and BPD groups, however with different profiles. Waiting and stopping impulsivity was selectively higher among aADHD patients compared to healthy controls. The BPD group reported higher levels of emotion dysregulation in all domains, and demonstrated increased delay aversion among uncertain conditions in decision-making. Higher levels of childhood trauma were associated with emotion dysregulation, trait impulsivity, and delay aversion across groups. Emotion regulatory capacity played a significant mediating role between childhood traumatization and the level of personality functioning.</p><p><strong>Conclusions: </strong>Inhibitory control profiles of the aADHD and BPD groups were divergent. Childhood traumatization was associated with lower levels of personality functioning in adulthood, independently of diagnosis, an effect mediated more by emotion dysregulation, rather than impulsivity. These findings have various clinical implications for the treatment of aADHD and BPD, including psychoeducation, pharmacological interventions, and psychotherapy targeting specific symptom domains.</p>","PeriodicalId":7942,"journal":{"name":"Annals of General Psychiatry","volume":"24 1","pages":"3"},"PeriodicalIF":3.6000,"publicationDate":"2025-01-13","publicationTypes":"Journal Article","fieldsOfStudy":null,"isOpenAccess":false,"openAccessPdf":"https://www.ncbi.nlm.nih.gov/pmc/articles/PMC11730133/pdf/","citationCount":"0","resultStr":"{\"title\":\"Emotion dysregulation and impulsivity as overlapping symptoms in adult Attention-Deficit/Hyperactivity Disorder and Borderline Personality Disorder: severity profiles and associations with childhood traumatization and personality functioning.\",\"authors\":\"Eszter Kenézlői, Lívia Balogh, Szilvia Somogyi, Evelyn E Lévay, Zsuzsa Halmai, Zsófia Nemoda, Zsolt S Unoka, János M Réthelyi\",\"doi\":\"10.1186/s12991-024-00540-y\",\"DOIUrl\":null,\"url\":null,\"abstract\":\"<p><strong>Background: </strong>Increased levels of emotion dysregulation and impulsive behavior are overlapping symptoms in adult Attention-Deficit/Hyperactivity Disorder (aADHD) and Borderline Personality Disorder (BPD), both symptom domains reflecting on inhibitory control, although from different angles. Our aims were to describe their differences in the above conditions, investigate their associations with childhood traumatization, and to explore the potential mediation of emotion dysregulation and impulsivity between childhood traumas and personality functioning.</p><p><strong>Methods: </strong>Young adults between 18 and 36 years diagnosed with aADHD (n = 100) and BPD (n = 63) were investigated with structured clinical interviews, while age-matched healthy controls (n = 100) were screened for psychiatric disorders. Patients with aADHD-BPD comorbidity were excluded from further analyses. The Difficulties in Emotion Regulation Scale, the Barratt Impulsiveness Scale, the Level of Personality Functioning Scale, and the Childhood Trauma Questionnaire-Short Form were administered to investigate trait measures and childhood traumatization, respectively. Behavioral impulsivity and delay aversion were assessed using selected tests of the Cambridge Neuropsychological Test Automated Battery, and a computerized decision-making paradigm based on the Rogers decision-making task, respectively.</p><p><strong>Results: </strong>Significantly higher levels of emotion dysregulation and impulsivity were present both in the aADHD and BPD groups, however with different profiles. Waiting and stopping impulsivity was selectively higher among aADHD patients compared to healthy controls. The BPD group reported higher levels of emotion dysregulation in all domains, and demonstrated increased delay aversion among uncertain conditions in decision-making. Higher levels of childhood trauma were associated with emotion dysregulation, trait impulsivity, and delay aversion across groups. Emotion regulatory capacity played a significant mediating role between childhood traumatization and the level of personality functioning.</p><p><strong>Conclusions: </strong>Inhibitory control profiles of the aADHD and BPD groups were divergent. Childhood traumatization was associated with lower levels of personality functioning in adulthood, independently of diagnosis, an effect mediated more by emotion dysregulation, rather than impulsivity. These findings have various clinical implications for the treatment of aADHD and BPD, including psychoeducation, pharmacological interventions, and psychotherapy targeting specific symptom domains.</p>\",\"PeriodicalId\":7942,\"journal\":{\"name\":\"Annals of General Psychiatry\",\"volume\":\"24 1\",\"pages\":\"3\"},\"PeriodicalIF\":3.6000,\"publicationDate\":\"2025-01-13\",\"publicationTypes\":\"Journal Article\",\"fieldsOfStudy\":null,\"isOpenAccess\":false,\"openAccessPdf\":\"https://www.ncbi.nlm.nih.gov/pmc/articles/PMC11730133/pdf/\",\"citationCount\":\"0\",\"resultStr\":null,\"platform\":\"Semanticscholar\",\"paperid\":null,\"PeriodicalName\":\"Annals of General Psychiatry\",\"FirstCategoryId\":\"3\",\"ListUrlMain\":\"https://doi.org/10.1186/s12991-024-00540-y\",\"RegionNum\":3,\"RegionCategory\":\"医学\",\"ArticlePicture\":[],\"TitleCN\":null,\"AbstractTextCN\":null,\"PMCID\":null,\"EPubDate\":\"\",\"PubModel\":\"\",\"JCR\":\"Q1\",\"JCRName\":\"PSYCHIATRY\",\"Score\":null,\"Total\":0}","platform":"Semanticscholar","paperid":null,"PeriodicalName":"Annals of General Psychiatry","FirstCategoryId":"3","ListUrlMain":"https://doi.org/10.1186/s12991-024-00540-y","RegionNum":3,"RegionCategory":"医学","ArticlePicture":[],"TitleCN":null,"AbstractTextCN":null,"PMCID":null,"EPubDate":"","PubModel":"","JCR":"Q1","JCRName":"PSYCHIATRY","Score":null,"Total":0}
引用次数: 0

摘要

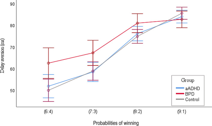
背景:成人注意力缺陷/多动障碍(aADHD)和边缘型人格障碍(BPD)的情绪失调和冲动行为水平升高是重叠的症状,这两个症状域都反映了抑制性控制,尽管从不同的角度。我们的目的是描述他们在上述条件下的差异,研究他们与童年创伤的联系,并探讨童年创伤与人格功能之间情绪失调和冲动性的潜在中介作用。方法:采用结构化临床访谈法对诊断为aADHD (n = 100)和BPD (n = 63)的18 - 36岁年轻人进行调查,同时对年龄匹配的健康对照(n = 100)进行精神障碍筛查。患有adhd - bpd合并症的患者被排除在进一步的分析之外。分别采用情绪调节困难量表、Barratt冲动性量表、人格功能水平量表和童年创伤问卷-简表来考察特质测量和童年创伤。行为冲动和延迟厌恶分别采用剑桥神经心理测试自动化测试和基于罗杰斯决策任务的计算机决策范式进行评估。结果:aADHD组和BPD组均存在较高水平的情绪失调和冲动,但具有不同的特征。与健康对照组相比,aADHD患者的等待和停止冲动的选择性更高。BPD组在所有领域的情绪失调水平都较高,并且在决策的不确定条件下表现出更多的延迟厌恶。高水平的童年创伤与情绪失调、特质性冲动和延迟厌恶有关。情绪调节能力在童年创伤与人格功能水平之间起着显著的中介作用。结论:aADHD组与BPD组抑制控制谱存在差异。童年创伤与成年后较低水平的人格功能有关,独立于诊断,这种影响更多地由情绪失调介导,而不是冲动。这些发现对adhd和BPD的治疗具有多种临床意义,包括心理教育、药物干预和针对特定症状域的心理治疗。
本文章由计算机程序翻译,如有差异,请以英文原文为准。

Emotion dysregulation and impulsivity as overlapping symptoms in adult Attention-Deficit/Hyperactivity Disorder and Borderline Personality Disorder: severity profiles and associations with childhood traumatization and personality functioning.

Emotion dysregulation and impulsivity as overlapping symptoms in adult Attention-Deficit/Hyperactivity Disorder and Borderline Personality Disorder: severity profiles and associations with childhood traumatization and personality functioning.

Emotion dysregulation and impulsivity as overlapping symptoms in adult Attention-Deficit/Hyperactivity Disorder and Borderline Personality Disorder: severity profiles and associations with childhood traumatization and personality functioning.

Emotion dysregulation and impulsivity as overlapping symptoms in adult Attention-Deficit/Hyperactivity Disorder and Borderline Personality Disorder: severity profiles and associations with childhood traumatization and personality functioning.

Background: Increased levels of emotion dysregulation and impulsive behavior are overlapping symptoms in adult Attention-Deficit/Hyperactivity Disorder (aADHD) and Borderline Personality Disorder (BPD), both symptom domains reflecting on inhibitory control, although from different angles. Our aims were to describe their differences in the above conditions, investigate their associations with childhood traumatization, and to explore the potential mediation of emotion dysregulation and impulsivity between childhood traumas and personality functioning.

Methods: Young adults between 18 and 36 years diagnosed with aADHD (n = 100) and BPD (n = 63) were investigated with structured clinical interviews, while age-matched healthy controls (n = 100) were screened for psychiatric disorders. Patients with aADHD-BPD comorbidity were excluded from further analyses. The Difficulties in Emotion Regulation Scale, the Barratt Impulsiveness Scale, the Level of Personality Functioning Scale, and the Childhood Trauma Questionnaire-Short Form were administered to investigate trait measures and childhood traumatization, respectively. Behavioral impulsivity and delay aversion were assessed using selected tests of the Cambridge Neuropsychological Test Automated Battery, and a computerized decision-making paradigm based on the Rogers decision-making task, respectively.

Results: Significantly higher levels of emotion dysregulation and impulsivity were present both in the aADHD and BPD groups, however with different profiles. Waiting and stopping impulsivity was selectively higher among aADHD patients compared to healthy controls. The BPD group reported higher levels of emotion dysregulation in all domains, and demonstrated increased delay aversion among uncertain conditions in decision-making. Higher levels of childhood trauma were associated with emotion dysregulation, trait impulsivity, and delay aversion across groups. Emotion regulatory capacity played a significant mediating role between childhood traumatization and the level of personality functioning.

Conclusions: Inhibitory control profiles of the aADHD and BPD groups were divergent. Childhood traumatization was associated with lower levels of personality functioning in adulthood, independently of diagnosis, an effect mediated more by emotion dysregulation, rather than impulsivity. These findings have various clinical implications for the treatment of aADHD and BPD, including psychoeducation, pharmacological interventions, and psychotherapy targeting specific symptom domains.

求助全文
通过发布文献求助,成功后即可免费获取论文全文。 去求助
来源期刊
CiteScore
6.60
自引率
2.70%
发文量
43
审稿时长
>12 weeks
期刊介绍: Annals of General Psychiatry considers manuscripts on all aspects of psychiatry, including neuroscience and psychological medicine. Both basic and clinical neuroscience contributions are encouraged. Annals of General Psychiatry emphasizes a biopsychosocial approach to illness and health and strongly supports and follows the principles of evidence-based medicine. As an open access journal, Annals of General Psychiatry facilitates the worldwide distribution of high quality psychiatry and mental health research. The journal considers submissions on a wide range of topics including, but not limited to, psychopharmacology, forensic psychiatry, psychotic disorders, psychiatric genetics, and mood and anxiety disorders.
×
引用
GB/T 7714-2015
复制
MLA
复制
APA
复制
导出至
BibTeX EndNote RefMan NoteFirst NoteExpress
×
提示
您的信息不完整,为了账户安全,请先补充。
现在去补充
×
提示
您因"违规操作"
具体请查看互助需知
我知道了
×
提示
确定
请完成安全验证×
copy
已复制链接
快去分享给好友吧!
我知道了
右上角分享
点击右上角分享
0
联系我们:info@booksci.cn Book学术提供免费学术资源搜索服务,方便国内外学者检索中英文文献。致力于提供最便捷和优质的服务体验。 Copyright © 2023 布克学术 All rights reserved.
京ICP备2023020795号-1
ghs 京公网安备 11010802042870号
Book学术文献互助
Book学术文献互助群
群 号:604180095
Book学术官方微信