不同节段离焦光学(DSDO)和离焦合并多节段(DIMS)眼镜镜片对中国儿童近视治疗效果的实际结果:一项为期12个月的初步前瞻性临床研究。

IF 1.8 Q2 OPHTHALMOLOGY
Yuzhuo Fan , Huihui Chu , Zisu Peng , Jingwei Zhou , Jiahui Ma , Yuchang Lu , Chenxu Zhao , Yanyan Wang , Qiulin Deng , Jifeng Yu , Yan Li , Kai Wang , Mingwei Zhao
{"title":"不同节段离焦光学(DSDO)和离焦合并多节段(DIMS)眼镜镜片对中国儿童近视治疗效果的实际结果:一项为期12个月的初步前瞻性临床研究。","authors":"Yuzhuo Fan ,&nbsp;Huihui Chu ,&nbsp;Zisu Peng ,&nbsp;Jingwei Zhou ,&nbsp;Jiahui Ma ,&nbsp;Yuchang Lu ,&nbsp;Chenxu Zhao ,&nbsp;Yanyan Wang ,&nbsp;Qiulin Deng ,&nbsp;Jifeng Yu ,&nbsp;Yan Li ,&nbsp;Kai Wang ,&nbsp;Mingwei Zhao","doi":"10.1016/j.optom.2024.100533","DOIUrl":null,"url":null,"abstract":"<div><h3>Purposes</h3><div>To investigate the 12–month effectiveness of Diverse Segmented Defocus Optics (DSDO) and Defocus Incorporated Multiple Segments (DIMS) spectacle lenses in a real–world clinical population in myopic and pre–myopic Chinese children.</div></div><div><h3>Methods</h3><div>About 364 subjects prescribed DSDO or DIMS were enrolled. Axial length (AL) and cycloplegic spherical equivalent refraction (SER) changes over 12 months were measured. The subjects were further divided into age sub–group (6–9; 10–14) and SER sub–group (+0.75D≤SER&lt;–0.50D; –0.50D≤SER&lt;–2.00D; –2.00D≤SER&lt;–4.00D; SER≤–4.0D). Contrast sensitivity and visual experience were also reported. The rate of myopia progression was compared with historical single–vision spectacles (SVS) lenses data to evaluate the effectiveness of the regime.</div></div><div><h3>Results</h3><div>317 subjects were analyzed. At 12–month, AL changes in the DSDO and DIMS group were 0.16±0.16 mm and 0.21±0.22 mm, respectively (<em>P</em> = 0.0202). DSDO spectacle lenses had better control effect in +0.75D≤SER&lt;–0.50D and SER≤–2.0D sub–groups. The proportion of participants had no greater than 0.20 mm AL elongation was 65.00% and 55.41% of in DSDO and DIMS group separately. Myopia control effect in DSDO group was 47%–69% and 33%–62% in DIMS group compared to historical SVS lenses.</div></div><div><h3>Conclusions</h3><div>Both DSDO and DIMS spectacle lenses retarded AL elongation. DSDO showed more stable myopia control effect comparing to DIMS, especially in groups of SER≤–2.0D sub–groups and older patients. DSDO showed initial potential myopia prevention effect in pre–myopic children compared with historical SVS lenses data. However, the small sample and no control group in pre–myopes of this study are key limitations. Further research is needed to confirm and understand DSDO's role for pre–myopic children.</div></div>","PeriodicalId":46407,"journal":{"name":"Journal of Optometry","volume":"18 1","pages":"Article 100533"},"PeriodicalIF":1.8000,"publicationDate":"2025-01-01","publicationTypes":"Journal Article","fieldsOfStudy":null,"isOpenAccess":false,"openAccessPdf":"https://www.ncbi.nlm.nih.gov/pmc/articles/PMC11773219/pdf/","citationCount":"0","resultStr":"{\"title\":\"Real–world outcomes on myopia management efficacy of diverse segmented defocus optics (DSDO) and defocus incorporated multiple segments (DIMS) spectacle lenses in Chinese children: An initial 12–month prospective clinical study\",\"authors\":\"Yuzhuo Fan ,&nbsp;Huihui Chu ,&nbsp;Zisu Peng ,&nbsp;Jingwei Zhou ,&nbsp;Jiahui Ma ,&nbsp;Yuchang Lu ,&nbsp;Chenxu Zhao ,&nbsp;Yanyan Wang ,&nbsp;Qiulin Deng ,&nbsp;Jifeng Yu ,&nbsp;Yan Li ,&nbsp;Kai Wang ,&nbsp;Mingwei Zhao\",\"doi\":\"10.1016/j.optom.2024.100533\",\"DOIUrl\":null,\"url\":null,\"abstract\":\"<div><h3>Purposes</h3><div>To investigate the 12–month effectiveness of Diverse Segmented Defocus Optics (DSDO) and Defocus Incorporated Multiple Segments (DIMS) spectacle lenses in a real–world clinical population in myopic and pre–myopic Chinese children.</div></div><div><h3>Methods</h3><div>About 364 subjects prescribed DSDO or DIMS were enrolled. Axial length (AL) and cycloplegic spherical equivalent refraction (SER) changes over 12 months were measured. The subjects were further divided into age sub–group (6–9; 10–14) and SER sub–group (+0.75D≤SER&lt;–0.50D; –0.50D≤SER&lt;–2.00D; –2.00D≤SER&lt;–4.00D; SER≤–4.0D). Contrast sensitivity and visual experience were also reported. The rate of myopia progression was compared with historical single–vision spectacles (SVS) lenses data to evaluate the effectiveness of the regime.</div></div><div><h3>Results</h3><div>317 subjects were analyzed. At 12–month, AL changes in the DSDO and DIMS group were 0.16±0.16 mm and 0.21±0.22 mm, respectively (<em>P</em> = 0.0202). DSDO spectacle lenses had better control effect in +0.75D≤SER&lt;–0.50D and SER≤–2.0D sub–groups. The proportion of participants had no greater than 0.20 mm AL elongation was 65.00% and 55.41% of in DSDO and DIMS group separately. Myopia control effect in DSDO group was 47%–69% and 33%–62% in DIMS group compared to historical SVS lenses.</div></div><div><h3>Conclusions</h3><div>Both DSDO and DIMS spectacle lenses retarded AL elongation. DSDO showed more stable myopia control effect comparing to DIMS, especially in groups of SER≤–2.0D sub–groups and older patients. DSDO showed initial potential myopia prevention effect in pre–myopic children compared with historical SVS lenses data. However, the small sample and no control group in pre–myopes of this study are key limitations. Further research is needed to confirm and understand DSDO's role for pre–myopic children.</div></div>\",\"PeriodicalId\":46407,\"journal\":{\"name\":\"Journal of Optometry\",\"volume\":\"18 1\",\"pages\":\"Article 100533\"},\"PeriodicalIF\":1.8000,\"publicationDate\":\"2025-01-01\",\"publicationTypes\":\"Journal Article\",\"fieldsOfStudy\":null,\"isOpenAccess\":false,\"openAccessPdf\":\"https://www.ncbi.nlm.nih.gov/pmc/articles/PMC11773219/pdf/\",\"citationCount\":\"0\",\"resultStr\":null,\"platform\":\"Semanticscholar\",\"paperid\":null,\"PeriodicalName\":\"Journal of Optometry\",\"FirstCategoryId\":\"1085\",\"ListUrlMain\":\"https://www.sciencedirect.com/science/article/pii/S1888429624000219\",\"RegionNum\":0,\"RegionCategory\":null,\"ArticlePicture\":[],\"TitleCN\":null,\"AbstractTextCN\":null,\"PMCID\":null,\"EPubDate\":\"\",\"PubModel\":\"\",\"JCR\":\"Q2\",\"JCRName\":\"OPHTHALMOLOGY\",\"Score\":null,\"Total\":0}","platform":"Semanticscholar","paperid":null,"PeriodicalName":"Journal of Optometry","FirstCategoryId":"1085","ListUrlMain":"https://www.sciencedirect.com/science/article/pii/S1888429624000219","RegionNum":0,"RegionCategory":null,"ArticlePicture":[],"TitleCN":null,"AbstractTextCN":null,"PMCID":null,"EPubDate":"","PubModel":"","JCR":"Q2","JCRName":"OPHTHALMOLOGY","Score":null,"Total":0}
引用次数: 0

摘要

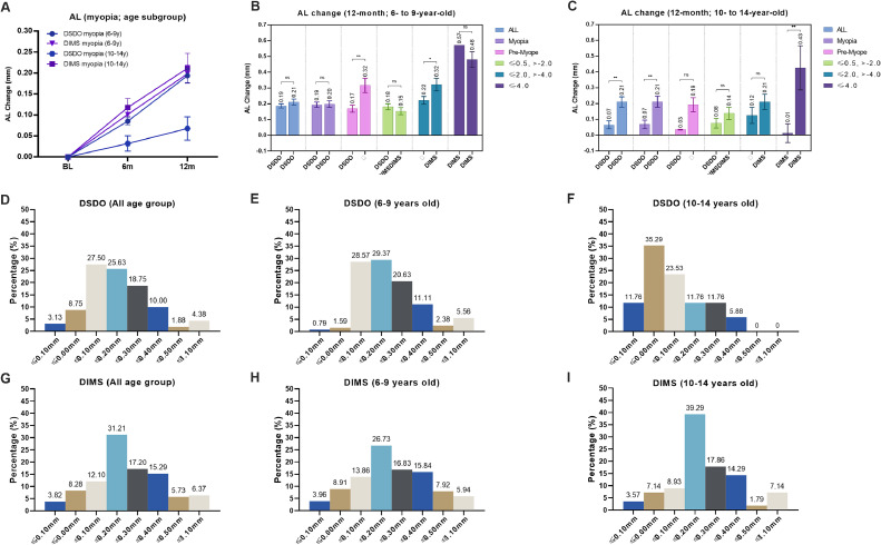
目的在中国近视和近视前期儿童的实际临床人群中,研究多元分段离焦光学镜片(DSDO)和离焦多分段整合光学镜片(DIMS)12个月的有效性:招募了约 364 名配戴 DSDO 或 DIMS 镜片的受试者。测量12个月内轴向长度(AL)和球面等效屈光度(SER)的变化。受试者被进一步分为年龄亚组(6-9 岁;10-14 岁)和 SER 亚组(+0.75D≤SERResults):对 317 名受试者进行了分析。12个月时,DSDO组和DIMS组的AL变化分别为0.16±0.16毫米和0.21±0.22毫米(P = 0.0202)。DSDO眼镜片对+0.75D≤SER结论的控制效果更好:DSDO和DIMS眼镜片都能延缓AL伸长。与 DIMS 相比,DSDO 显示出更稳定的近视控制效果,尤其是在 SER≤-2.0D 亚组和年龄较大的患者中。与 SVS 镜片的历史数据相比,DSDO 在近视前儿童中显示出初步的潜在近视预防效果。然而,这项研究的主要局限是样本较少,而且没有近视前的对照组。要确认和了解 DSDO 对近视前儿童的作用,还需要进一步的研究。
本文章由计算机程序翻译,如有差异,请以英文原文为准。

Real–world outcomes on myopia management efficacy of diverse segmented defocus optics (DSDO) and defocus incorporated multiple segments (DIMS) spectacle lenses in Chinese children: An initial 12–month prospective clinical study

Real–world outcomes on myopia management efficacy of diverse segmented defocus optics (DSDO) and defocus incorporated multiple segments (DIMS) spectacle lenses in Chinese children: An initial 12–month prospective clinical study

Real–world outcomes on myopia management efficacy of diverse segmented defocus optics (DSDO) and defocus incorporated multiple segments (DIMS) spectacle lenses in Chinese children: An initial 12–month prospective clinical study

Real–world outcomes on myopia management efficacy of diverse segmented defocus optics (DSDO) and defocus incorporated multiple segments (DIMS) spectacle lenses in Chinese children: An initial 12–month prospective clinical study

Purposes

To investigate the 12–month effectiveness of Diverse Segmented Defocus Optics (DSDO) and Defocus Incorporated Multiple Segments (DIMS) spectacle lenses in a real–world clinical population in myopic and pre–myopic Chinese children.

Methods

About 364 subjects prescribed DSDO or DIMS were enrolled. Axial length (AL) and cycloplegic spherical equivalent refraction (SER) changes over 12 months were measured. The subjects were further divided into age sub–group (6–9; 10–14) and SER sub–group (+0.75D≤SER<–0.50D; –0.50D≤SER<–2.00D; –2.00D≤SER<–4.00D; SER≤–4.0D). Contrast sensitivity and visual experience were also reported. The rate of myopia progression was compared with historical single–vision spectacles (SVS) lenses data to evaluate the effectiveness of the regime.

Results

317 subjects were analyzed. At 12–month, AL changes in the DSDO and DIMS group were 0.16±0.16 mm and 0.21±0.22 mm, respectively (P = 0.0202). DSDO spectacle lenses had better control effect in +0.75D≤SER<–0.50D and SER≤–2.0D sub–groups. The proportion of participants had no greater than 0.20 mm AL elongation was 65.00% and 55.41% of in DSDO and DIMS group separately. Myopia control effect in DSDO group was 47%–69% and 33%–62% in DIMS group compared to historical SVS lenses.

Conclusions

Both DSDO and DIMS spectacle lenses retarded AL elongation. DSDO showed more stable myopia control effect comparing to DIMS, especially in groups of SER≤–2.0D sub–groups and older patients. DSDO showed initial potential myopia prevention effect in pre–myopic children compared with historical SVS lenses data. However, the small sample and no control group in pre–myopes of this study are key limitations. Further research is needed to confirm and understand DSDO's role for pre–myopic children.
求助全文
通过发布文献求助,成功后即可免费获取论文全文。 去求助
来源期刊
Journal of Optometry
Journal of Optometry OPHTHALMOLOGY-
CiteScore
5.20
自引率
0.00%
发文量
60
审稿时长
66 days
×
引用
GB/T 7714-2015
复制
MLA
复制
APA
复制
导出至
BibTeX EndNote RefMan NoteFirst NoteExpress
×
提示
您的信息不完整,为了账户安全,请先补充。
现在去补充
×
提示
您因"违规操作"
具体请查看互助需知
我知道了
×
提示
确定
请完成安全验证×
copy
已复制链接
快去分享给好友吧!
我知道了
右上角分享
点击右上角分享
0
联系我们:info@booksci.cn Book学术提供免费学术资源搜索服务,方便国内外学者检索中英文文献。致力于提供最便捷和优质的服务体验。 Copyright © 2023 布克学术 All rights reserved.
京ICP备2023020795号-1
ghs 京公网安备 11010802042870号
Book学术文献互助
Book学术文献互助群
群 号:604180095
Book学术官方微信