AChR-Ab阳性极晚发型重症肌无力患者的短期和长期预后

IF 4.1 2区 医学 Q1 CLINICAL NEUROLOGY
Therapeutic Advances in Neurological Disorders Pub Date : 2025-01-08 eCollection Date: 2025-01-01 DOI:10.1177/17562864241309793
Nairong Xie, Qing Liu, Qi Wen, Yaye Wang, Haoran Liu, Yuting Jiang, Yan Lu, Li Di, Min Wang, Wenjia Zhu, Xinmei Wen, Xuxiang Zhang, Xin-Ming Shen, Yuwei Da
{"title":"AChR-Ab阳性极晚发型重症肌无力患者的短期和长期预后","authors":"Nairong Xie, Qing Liu, Qi Wen, Yaye Wang, Haoran Liu, Yuting Jiang, Yan Lu, Li Di, Min Wang, Wenjia Zhu, Xinmei Wen, Xuxiang Zhang, Xin-Ming Shen, Yuwei Da","doi":"10.1177/17562864241309793","DOIUrl":null,"url":null,"abstract":"<p><strong>Background: </strong>Very-late-onset myasthenia gravis (VLOMG) refers to myasthenia gravis (MG) with onset at age 65 or older. Current research on VLOMG prognosis remains limited, especially regarding factors influencing outcomes.</p><p><strong>Objectives: </strong>To identify the clinical factors that affect the short- and long-term prognosis of MG patients with an onset age ⩾65 years.</p><p><strong>Design: </strong>This was a single-center, retrospective cohort study of AChR-ab positive VLOMG patients, classified into two subgroups based on age of onset: sub-very-late-onset MG (S-VLOMG, onset age ⩾65 and <75 years), and super-late-onset MG (SLOMG, onset age ⩾75 years).</p><p><strong>Methods: </strong>A total of 93 patients were included, including 75 in the S-VLOMG group and 18 in the SLOMG group. Clinical, therapeutic, and prognosis data were reviewed, and the Cox regression model was used to identify factors influencing short- and long-term prognosis.</p><p><strong>Results: </strong>Patient characteristics were well balanced between the groups. Overall, 49.5% of patients achieved minimal symptom expression (MSE) within 6 months and 86% within 24 months. There was no significant difference between the groups in the proportion achieving MSE at 6 months (<i>p</i> = 0.635) or 24 months (<i>p</i> = 0.714). The median time to achieve MSE was also comparable between the S-VLOMG and SLOMG groups (199.0 days vs 280.5 days, <i>p</i> = 0.463). Low baseline MG-ADL score and steroid therapy were associated with better short-term prognosis (<i>p</i> = 0.007 and <i>p</i> = 0.002, respectively). For long-term prognosis, baseline bulbar and limb involvement, time to treatment initiation, and use of immunosuppressants were significant factors (<i>p</i> = 0.025, <i>p</i> = 0.004, <i>p</i> = 0.025, and <i>p</i> < 0.0001, respectively). There were no significant differences in side effects or drug withdrawal rates between two groups.</p><p><strong>Conclusion: </strong>This study demonstrated that AChR-ab positive VLOMG patients have a favorable prognosis and responded well to medication, with age and comorbidities showing no significant impact.</p>","PeriodicalId":22980,"journal":{"name":"Therapeutic Advances in Neurological Disorders","volume":"18 ","pages":"17562864241309793"},"PeriodicalIF":4.1000,"publicationDate":"2025-01-08","publicationTypes":"Journal Article","fieldsOfStudy":null,"isOpenAccess":false,"openAccessPdf":"https://www.ncbi.nlm.nih.gov/pmc/articles/PMC11713957/pdf/","citationCount":"0","resultStr":"{\"title\":\"Short-term and long-term prognoses in AChR-Ab positive very-late-onset myasthenia gravis patients.\",\"authors\":\"Nairong Xie, Qing Liu, Qi Wen, Yaye Wang, Haoran Liu, Yuting Jiang, Yan Lu, Li Di, Min Wang, Wenjia Zhu, Xinmei Wen, Xuxiang Zhang, Xin-Ming Shen, Yuwei Da\",\"doi\":\"10.1177/17562864241309793\",\"DOIUrl\":null,\"url\":null,\"abstract\":\"<p><strong>Background: </strong>Very-late-onset myasthenia gravis (VLOMG) refers to myasthenia gravis (MG) with onset at age 65 or older. Current research on VLOMG prognosis remains limited, especially regarding factors influencing outcomes.</p><p><strong>Objectives: </strong>To identify the clinical factors that affect the short- and long-term prognosis of MG patients with an onset age ⩾65 years.</p><p><strong>Design: </strong>This was a single-center, retrospective cohort study of AChR-ab positive VLOMG patients, classified into two subgroups based on age of onset: sub-very-late-onset MG (S-VLOMG, onset age ⩾65 and <75 years), and super-late-onset MG (SLOMG, onset age ⩾75 years).</p><p><strong>Methods: </strong>A total of 93 patients were included, including 75 in the S-VLOMG group and 18 in the SLOMG group. Clinical, therapeutic, and prognosis data were reviewed, and the Cox regression model was used to identify factors influencing short- and long-term prognosis.</p><p><strong>Results: </strong>Patient characteristics were well balanced between the groups. Overall, 49.5% of patients achieved minimal symptom expression (MSE) within 6 months and 86% within 24 months. There was no significant difference between the groups in the proportion achieving MSE at 6 months (<i>p</i> = 0.635) or 24 months (<i>p</i> = 0.714). The median time to achieve MSE was also comparable between the S-VLOMG and SLOMG groups (199.0 days vs 280.5 days, <i>p</i> = 0.463). Low baseline MG-ADL score and steroid therapy were associated with better short-term prognosis (<i>p</i> = 0.007 and <i>p</i> = 0.002, respectively). For long-term prognosis, baseline bulbar and limb involvement, time to treatment initiation, and use of immunosuppressants were significant factors (<i>p</i> = 0.025, <i>p</i> = 0.004, <i>p</i> = 0.025, and <i>p</i> < 0.0001, respectively). There were no significant differences in side effects or drug withdrawal rates between two groups.</p><p><strong>Conclusion: </strong>This study demonstrated that AChR-ab positive VLOMG patients have a favorable prognosis and responded well to medication, with age and comorbidities showing no significant impact.</p>\",\"PeriodicalId\":22980,\"journal\":{\"name\":\"Therapeutic Advances in Neurological Disorders\",\"volume\":\"18 \",\"pages\":\"17562864241309793\"},\"PeriodicalIF\":4.1000,\"publicationDate\":\"2025-01-08\",\"publicationTypes\":\"Journal Article\",\"fieldsOfStudy\":null,\"isOpenAccess\":false,\"openAccessPdf\":\"https://www.ncbi.nlm.nih.gov/pmc/articles/PMC11713957/pdf/\",\"citationCount\":\"0\",\"resultStr\":null,\"platform\":\"Semanticscholar\",\"paperid\":null,\"PeriodicalName\":\"Therapeutic Advances in Neurological Disorders\",\"FirstCategoryId\":\"3\",\"ListUrlMain\":\"https://doi.org/10.1177/17562864241309793\",\"RegionNum\":2,\"RegionCategory\":\"医学\",\"ArticlePicture\":[],\"TitleCN\":null,\"AbstractTextCN\":null,\"PMCID\":null,\"EPubDate\":\"2025/1/1 0:00:00\",\"PubModel\":\"eCollection\",\"JCR\":\"Q1\",\"JCRName\":\"CLINICAL NEUROLOGY\",\"Score\":null,\"Total\":0}","platform":"Semanticscholar","paperid":null,"PeriodicalName":"Therapeutic Advances in Neurological Disorders","FirstCategoryId":"3","ListUrlMain":"https://doi.org/10.1177/17562864241309793","RegionNum":2,"RegionCategory":"医学","ArticlePicture":[],"TitleCN":null,"AbstractTextCN":null,"PMCID":null,"EPubDate":"2025/1/1 0:00:00","PubModel":"eCollection","JCR":"Q1","JCRName":"CLINICAL NEUROLOGY","Score":null,"Total":0}
引用次数: 0

摘要

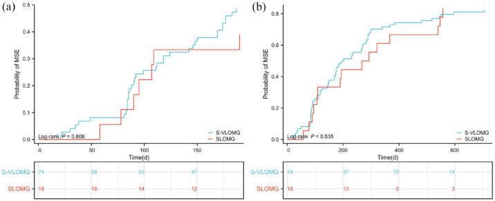
背景:极晚发性重症肌无力(vomg)是指65岁及以上发病的重症肌无力(MG)。目前对VLOMG预后的研究仍然有限,特别是对影响预后的因素的研究。目的:确定影响发病年龄大于或等于65岁的MG患者短期和长期预后的临床因素。设计:这是AChR-ab阳性vomg患者的单中心,回顾性队列研究,根据发病年龄分为两个亚组:亚极晚发病MG (s - vomg,发病年龄大于或大于65岁)和方法:总共包括93名患者,包括75名在s - vomg组和18名在SLOMG组。回顾临床、治疗和预后数据,并使用Cox回归模型确定影响短期和长期预后的因素。结果:两组患者的特征基本平衡。总体而言,49.5%的患者在6个月内达到最小症状表达(MSE), 86%在24个月内达到最小症状表达。在6个月(p = 0.635)和24个月(p = 0.714)时,两组间达到MSE的比例无显著差异。S-VLOMG组和SLOMG组达到MSE的中位时间也具有可比性(199.0天vs 280.5天,p = 0.463)。低基线MG-ADL评分和类固醇治疗与较好的短期预后相关(分别为p = 0.007和p = 0.002)。对于长期预后,基线球和肢体受损伤、开始治疗时间、使用免疫抑制剂是显著因素(p = 0.025, p = 0.004, p = 0.025, p)。结论:本研究表明,AChR-ab阳性vomg患者预后良好,对药物反应良好,年龄和合共病无显著影响。
本文章由计算机程序翻译,如有差异,请以英文原文为准。

Short-term and long-term prognoses in AChR-Ab positive very-late-onset myasthenia gravis patients.

Short-term and long-term prognoses in AChR-Ab positive very-late-onset myasthenia gravis patients.

Short-term and long-term prognoses in AChR-Ab positive very-late-onset myasthenia gravis patients.

Short-term and long-term prognoses in AChR-Ab positive very-late-onset myasthenia gravis patients.

Background: Very-late-onset myasthenia gravis (VLOMG) refers to myasthenia gravis (MG) with onset at age 65 or older. Current research on VLOMG prognosis remains limited, especially regarding factors influencing outcomes.

Objectives: To identify the clinical factors that affect the short- and long-term prognosis of MG patients with an onset age ⩾65 years.

Design: This was a single-center, retrospective cohort study of AChR-ab positive VLOMG patients, classified into two subgroups based on age of onset: sub-very-late-onset MG (S-VLOMG, onset age ⩾65 and <75 years), and super-late-onset MG (SLOMG, onset age ⩾75 years).

Methods: A total of 93 patients were included, including 75 in the S-VLOMG group and 18 in the SLOMG group. Clinical, therapeutic, and prognosis data were reviewed, and the Cox regression model was used to identify factors influencing short- and long-term prognosis.

Results: Patient characteristics were well balanced between the groups. Overall, 49.5% of patients achieved minimal symptom expression (MSE) within 6 months and 86% within 24 months. There was no significant difference between the groups in the proportion achieving MSE at 6 months (p = 0.635) or 24 months (p = 0.714). The median time to achieve MSE was also comparable between the S-VLOMG and SLOMG groups (199.0 days vs 280.5 days, p = 0.463). Low baseline MG-ADL score and steroid therapy were associated with better short-term prognosis (p = 0.007 and p = 0.002, respectively). For long-term prognosis, baseline bulbar and limb involvement, time to treatment initiation, and use of immunosuppressants were significant factors (p = 0.025, p = 0.004, p = 0.025, and p < 0.0001, respectively). There were no significant differences in side effects or drug withdrawal rates between two groups.

Conclusion: This study demonstrated that AChR-ab positive VLOMG patients have a favorable prognosis and responded well to medication, with age and comorbidities showing no significant impact.

求助全文
通过发布文献求助,成功后即可免费获取论文全文。 去求助
来源期刊
CiteScore
8.30
自引率
1.70%
发文量
62
审稿时长
15 weeks
期刊介绍: Therapeutic Advances in Neurological Disorders is a peer-reviewed, open access journal delivering the highest quality articles, reviews, and scholarly comment on pioneering efforts and innovative studies across all areas of neurology. The journal has a strong clinical and pharmacological focus and is aimed at clinicians and researchers in neurology, providing a forum in print and online for publishing the highest quality articles in this area.
×
引用
GB/T 7714-2015
复制
MLA
复制
APA
复制
导出至
BibTeX EndNote RefMan NoteFirst NoteExpress
×
提示
您的信息不完整,为了账户安全,请先补充。
现在去补充
×
提示
您因"违规操作"
具体请查看互助需知
我知道了
×
提示
确定
请完成安全验证×
copy
已复制链接
快去分享给好友吧!
我知道了
右上角分享
点击右上角分享
0
联系我们:info@booksci.cn Book学术提供免费学术资源搜索服务,方便国内外学者检索中英文文献。致力于提供最便捷和优质的服务体验。 Copyright © 2023 布克学术 All rights reserved.
京ICP备2023020795号-1
ghs 京公网安备 11010802042870号
Book学术文献互助
Book学术文献互助群
群 号:604180095
Book学术官方微信